Experimental Study on the Permeability of Rare Earths with Different Particle Composition for a Novel Heap Leaching Technology
Abstract
1. Introduction
2. Model Test of Heap Leaching under Lateral Liquid Injection
2.1. Test Device
2.2. Preparation of Rare Earth Samples
2.3. Test Method
3. Permeability of the Rare Earth Pile under Lateral Liquid Injection
3.1. Variation of the Permeability Coefficient with Hydraulic Head
3.2. Variation of the Leachate with Hydraulic Head
4. Particle Gradation Change after Leaching
5. Conclusions
- (1)
- Under lateral liquid injection conditions, the permeability of the ion-adsorbed rare earth pile is governed by the migration of fine mineral particles. As the hydraulic head of leaching liquid increases, the motion of the fine particles is divided into four stages, stabilization, migration initiation, deposition, and remigration. Accordingly, the permeability coefficient exhibits a varying process of stabilization, gradual increase, re-stabilization, and re-increase.
- (2)
- The permeability of the rare earth pile under the lateral liquid injection conditions is non-uniform in space. The permeability coefficients near the liquid injection end and the liquid outlet end are significantly larger than those at the middle positions of the pile. This non-uniformity is caused by the fine particle migration without replenishment near the liquid injection end and the fine particle exudation from the liquid outlet end.
- (3)
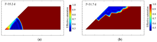
- The particle composition of the rare earth has an important effect on the permeability of the rare earth pile under the lateral liquid injection conditions. For the coarse-fine particle soil, the fine particles easily migrate, and they cannot easily block the pore channels. In this case, preferential flow paths are likely to develop in the lower part of the rare earth pile, resulting in a blind zone of leaching at the top of the pile. For the fine-medium particle soil, the fine particles cannot easily within the pore channels and thereby, the permeability coefficient is relatively stable. This particle composition is conducive to the heap leaching of the rare earth under lateral liquid injection conditions.
Author Contributions
Funding
Institutional Review Board Statement
Informed Consent Statement
Data Availability Statement
Conflicts of Interest
References
- Dutta, T.; Kim, K.H.; Uchimiya, M.; Kwon, E.E.; Jeon, B.H.; Deep, A.; Yun, S.T. Global demand for rare earth resources and strategies for green mining. Environ. Res. 2016, 150, 182–190. [Google Scholar] [CrossRef] [PubMed]
- Huang, X.W.; Long, Z.Q.; Wang, L.S.; Feng, Z.Y. Technology development for rare earth cleaner hydrometallurgy in China. Rare Met. 2015, 34, 215–222. [Google Scholar] [CrossRef]
- Ilankoon, I.M.S.K.; Tang, Y.; Ghorbani, Y.; Northey, S.; Yellishetty, M.; Deng, X.; McBride, D. The current state and future directions of percolation leaching in the Chinese mining industry: Challenges and opportunities. Miner. Eng. 2018, 125, 206–222. [Google Scholar] [CrossRef]
- Guo, Z.; Jin, J.; Zhao, K.; Wang, X.; Chen, G. Status of leaching technology and theory of ion adsorption type rare earth ores. Chin. Rare Earths 2018, 39, 132–141. [Google Scholar]
- Nie, W.; Zhang, R.; He, Z.; Zhou, J.; Wu, M.; Xu, Z.; Chi, R.; Yang, H. Research progress on leaching technology and theory of weathered crust elution-deposited rare earth ore. Hydrometallurgy 2020, 193, 105295. [Google Scholar] [CrossRef]
- Xu, L.G.; Xu, M.J. Research on the negative externalities evaluation for the development of weathered crust elution-deposited rare earth ores. Adv. Mater. Sci. Eng. 2020, 2020, 8130196. [Google Scholar]
- Ju, W.; Yang, J.; Wang, Z.; Yao, C.; Zhang, X. Formation mechanism of preferential flow paths and seepage characteristics of a novel growable pile for heap leaching of rare earth. Adv. Mater. Sci. Eng. 2021, 2021, 3010859. [Google Scholar] [CrossRef]
- Lee, J.C.K.; Wen, Z. Pathways for greening the supply of rare earth elements in China. Nat. Sustain. 2018, 1, 598–605. [Google Scholar] [CrossRef]
- Chai, S.; Zhang, Z.; Ge, J. Evolution of environmental policy for China’s rare earths: Comparing central and local government policies. Resour. Policy 2020, 68, 101786. [Google Scholar] [CrossRef]
- Hou, X.; Xu, Q.H.; Sun, Y.Y.; Wang, Y.; Li, J.; Zhou, X.M.; Li, Y.X. Distribution of residual rare earth and ammonium in the tailing of ion adsorption rare earth deposit after in-situ leaching and the significance. Chin. Rare Earths 2016, 37, 1–9. [Google Scholar]
- Cui, C.; Li, K.; Yang, Y.; Huang, Y.; Cao, Q. Identification and quantitative description of large pore path in unconsolidated sandstone reservoir during the ultra-high water-cut stage. J. Petrol. Sci. Eng. 2014, 122, 10–17. [Google Scholar]
- Yang, J.; Yin, Z.Y.; Laouafa, F.; Hicher, P.Y. Modeling coupled erosion and filtration of fine particles in granular media. Acta Geotech. 2019, 14, 1615–1627. [Google Scholar] [CrossRef]
- McBride, D.; Ilankoon, I.M.S.K.; Neethling, S.J.; Gebhardt, J.E.; Cross, M. Preferential flow behaviour in unsaturated packed beds and heaps: Incorporating into a CFD model. Hydrometallurgy 2017, 171, 402–411. [Google Scholar] [CrossRef]
- Kukemilks, K.; Wagner, J.F.; Saks, T.; Brunner, P. Conceptualization of preferential flow for hillslope stability assessment. Hydrogeol. J. 2018, 26, 439–450. [Google Scholar] [CrossRef]
- Zhang, J.; Luo, Y.; Zhou, Z.; Chong, L.; Victor, C.; Zhang, Y. Effects of preferential flow induced by desiccation cracks on slope stability. Eng. Geol. 2021, 288, 106164. [Google Scholar] [CrossRef]
- Wang, X.; Wang, H.; Sui, C.; Zhou, L.; Feng, X.; Huang, C.; Zhao, K.; Zhong, W.; Hu, K. Permeability and adsorption-desorption behavior of rare earth in laboratory leaching tests. Minerals 2020, 10, 889. [Google Scholar] [CrossRef]
- Xie, F.; Yin, S.; Yuan, C.; Qi, Y.; Liang, J.; Zhu, Z.; Li, G. Study on the influence mechanism of leaching solution on pore of ionic rare earth ore. Chin. Rare Earths 2018, 39, 48–56. [Google Scholar]
- Liu, D.; Zhang, Z.; Chi, R. Seepage mechanism during in-situ leaching process of weathered crust elution-deposited rare earth ores with magnesium salt. Physicochem. Probl. Miner. Process. 2020, 56, 350–362. [Google Scholar] [CrossRef]
- Wang, X.; Zhuo, Y.; Deng, S.; Li, Y.; Zhong, W.; Zhao, K. Experimental research on the impact of ion exchange and infiltration on the microstructure of rare earth orebody. Adv. Mater. Sci. Eng. 2017, 2017, 1–8. [Google Scholar] [CrossRef]
- He, Z.; Zhang, Z.; Yu, J.; Xu, Z.; Chi, R. Process optimization of rare earth and aluminum leaching from weathered crust elution-deposited rare earth ore with compound ammonium salts. J. Rare Earths 2016, 34, 413–419. [Google Scholar] [CrossRef]
- Chen, Z.; Zhang, Z.; He, Z.; Chi, R. Mass transfer process of leaching weathered crust elution-deposited rare earth ore with magnesium salts. Physicochem. Probl. Miner. Process. 2018, 54, 1004–1013. [Google Scholar]
- Zhang, Z.Y.; He, Z.Y.; Zhou, F.; Zhong, C.B.; Sun, N.J.; Chi, R.A. Swelling of clay minerals in ammonium leaching of weathered crust elution-deposited rare earth ores. Rare Met. 2018, 37, 72–78. [Google Scholar] [CrossRef]
- Yin, S.H.; Qi, Y.; Xie, F.F.; Chen, X.; Wang, L.M. Permeability characteristic of weathered crust elution-deposited rare earth ores under different pore structures. Chin. J. Nonferr. Met. 2018, 28, 1043–1049. [Google Scholar]
- Botelho Junior, A.B.; Espinosa, D.C.R.; Tenório, J.A.S. Extraction of scandium from critical elements-bearing mining waste: Silica gel avoiding in leaching reaction of bauxite residue. J. Sustain. Metall. 2021, 7, 1627–1642. [Google Scholar] [CrossRef]
- Botelho Junior, A.B.; Espinosa, D.C.R.; Vaughan, J.; Tenório, J.A.S. Extraction of rare-earth elements from silicate-based ore through hydrometallurgical route. Metals 2022, 12, 1133. [Google Scholar] [CrossRef]
- Wu, A.; Yin, S.; Qin, W.; Liu, J.; Qiu, G. The effect of preferential flow on extraction and surface morphology of copper sulphides during heap leaching. Hydrometallurgy 2009, 95, 76–81. [Google Scholar] [CrossRef]
- Luo, S.; Luo, T.; Wang, G.; Liu, J.; Hu, S.; Zhu, D. Effect of heterogeneity of leaching solution on leaching rate in ionic rare earth ore body. Soils 2018, 50, 421–427. [Google Scholar]
- Zuo, H.; Wang, Y.; Jiang, H.; Chen, X. Seepage properties of leaching solution in ion-absorbed rare earth deposits under effect of electric field. J. Chin. Rare Earth Soc. 2007, 25, 80–84. [Google Scholar]













| Particle Grade | Particle Size (mm) | Mass Percentage (%) | |||
|---|---|---|---|---|---|
| Sample S1 | Sample S2 | Sample S3 | Sample S4 | ||
| Fine particles | <0.15 | 37.70 | 50.54 | 0 | 50.73 |
| 0.15–0.25 | 11.21 | 15.04 | 0 | 15.08 | |
| Medium particles | 0.25–0.60 | 11.13 | 14.92 | 21.79 | 0 |
| 0.60–1.18 | 8.11 | 10.87 | 15.87 | 0 | |
| 1.18–2.35 | 6.44 | 8.63 | 12.61 | 0 | |
| Coarse particles | 2.35–5.00 | 22.72 | 0 | 44.47 | 30.57 |
| >5.00 | 2.69 | 0 | 5.27 | 3.62 | |
Publisher’s Note: MDPI stays neutral with regard to jurisdictional claims in published maps and institutional affiliations. |
© 2022 by the authors. Licensee MDPI, Basel, Switzerland. This article is an open access article distributed under the terms and conditions of the Creative Commons Attribution (CC BY) license (https://creativecommons.org/licenses/by/4.0/).
Share and Cite
Ju, W.; Yang, J.; Yao, C.; Zhang, X.; Ye, Z.; Liu, D. Experimental Study on the Permeability of Rare Earths with Different Particle Composition for a Novel Heap Leaching Technology. Appl. Sci. 2022, 12, 11368. https://doi.org/10.3390/app122211368
Ju W, Yang J, Yao C, Zhang X, Ye Z, Liu D. Experimental Study on the Permeability of Rare Earths with Different Particle Composition for a Novel Heap Leaching Technology. Applied Sciences. 2022; 12(22):11368. https://doi.org/10.3390/app122211368
Chicago/Turabian StyleJu, Wei, Jianhua Yang, Chi Yao, Xiaobo Zhang, Zhiwei Ye, and Da Liu. 2022. "Experimental Study on the Permeability of Rare Earths with Different Particle Composition for a Novel Heap Leaching Technology" Applied Sciences 12, no. 22: 11368. https://doi.org/10.3390/app122211368
APA StyleJu, W., Yang, J., Yao, C., Zhang, X., Ye, Z., & Liu, D. (2022). Experimental Study on the Permeability of Rare Earths with Different Particle Composition for a Novel Heap Leaching Technology. Applied Sciences, 12(22), 11368. https://doi.org/10.3390/app122211368

