A Joint Dispatch Operation Method of Hydropower and Photovoltaic: Based on the Two-Stage Hedging Model
Abstract
1. Introduction
2. Methods
2.1. Application of Hedging in Energy Utilization
2.2. Analysis of Hedging Relationship in Hydropower and Photovoltaic Combined Operation
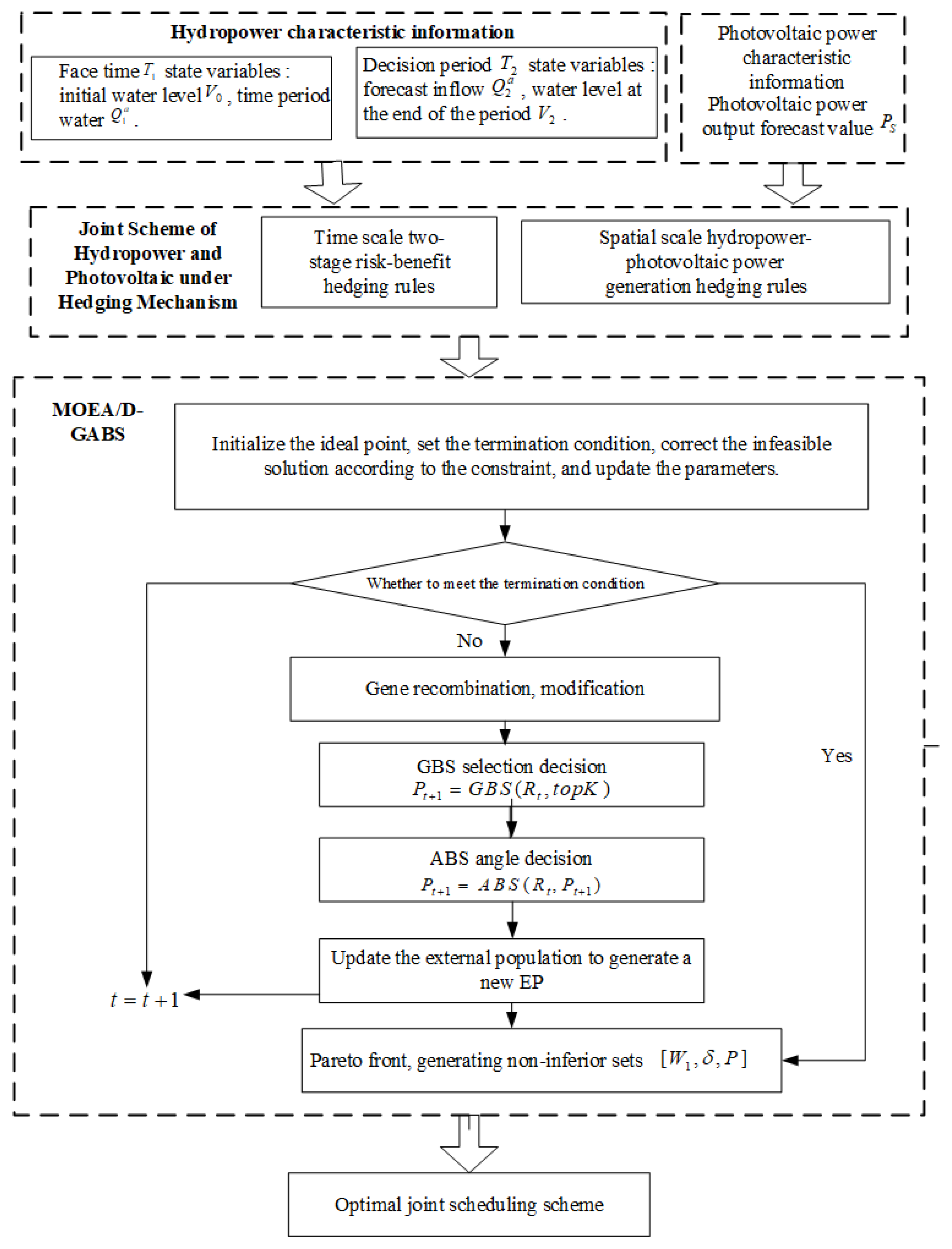
2.3. Dynamic Decision-Making Process of Hydropower and Photovoltaic Joint Operation Based on Hedge Theory
2.4. Two-Stage Risk–Benefit Hedging Calculation Considering Forecast Uncertainty
2.5. Combination Forecasting Model Based on VMD-ARMA-DBN Hedging Mechanism Design for Hydropower and Photovoltaic Joint Dispatch
2.5.1. Initial Determination of VMD Mode Calculation of Profit and Benefit of Reservoir Pre-Storage Operation
2.5.2. Calculation of Downstream Flood Risk Rate Considering Forecast Information
2.6. Model Construction
- (1)
- Objective function
- (2)
- Constraints
3. Optimization Methods
3.1. Improved Decomposition Optimization Algorithm
| Algorithm 1 MOEA/D-GABS algorithm framework |
| Input: MOP, population size N; Output: pareto non-dominated solution; step 1: initialize. Weight vector , set of domains , initial population , ideal point , ream ; Step 2: update; 2.1: , , while , do; 2.2: ;//Crossover, variation generate individual; 2.3: ; 2.4: ; 2.5: ; 2.6: ; Step 3: judging termination conditions; if the termination condition is satisfied, output EP, otherwise continue to execute Step 2. |
3.2. Solving the Process of Combined Hydropower–Photovoltaic Operation Based on an Improved Optimization Algorithm
4. Results and Analysis
5. Conclusions
Author Contributions
Funding
Institutional Review Board Statement
Informed Consent Statement
Data Availability Statement
Conflicts of Interest
References
- Sun, C.; Wang, Y.; Li, X. study on combined operation of hydro and wind power generation system. Acta Energ. Sol. Sin. 2009, 30, 232–236. [Google Scholar]
- Angarita, J.M.; Usaola, J.G. Combining hydro-generation and wind energy: Biddings and operation on electricity spot markets. Eletr. Power Syst. Res. 2007, 77, 393–400. [Google Scholar] [CrossRef]
- Yu, Z.; Wan, S.; Ming, Z.; Zhang, Y.; Deng, M. Optimal Operation of Complementary Microgrid with Hybrid Wind-Solar-Hydro Power. Electr. Equip. 2014, 35, 50–55. [Google Scholar]
- Migoni, G.; Rullo, P.; Bergero, F.; Kofman, E. Efficient simulation of Hybrid Renewable Energy Systems. Int. J. Hydrogen Energy 2016, 41, 13934–13949. [Google Scholar] [CrossRef]
- Bekele, G.; Tadesse, G. Feasibility study of small Hydro/PV/Wind hybrid system for off-grid rural electrification in Ethiopia. Appl. Energy 2012, 97, 5–15. [Google Scholar] [CrossRef]
- Beluco, A.; Souza, P.K.D.; Krenzinger, A. A method to evaluate the effect of complementarity in time between hydro and solar energy on the performance of hybrid hydro PV generating plants. Renew. Energy 2012, 45, 24–30. [Google Scholar] [CrossRef]
- Zuo, T.; Yang, J.; Shao, B. Multi-objective Optimal Design of Hybrid Wind-Hydro-Solar Power Generation System. J. Agric. Mech. Res. 2009, 31, 25–28. [Google Scholar]
- Kang, C.; Yao, L. Key Scientific Issues and Theoretical Research Framework for Power Systems with High Proportion of Renewable Energy. Autom. Electr. Power Syst. 2017, 41, 2–11. [Google Scholar]
- Zhang, Z.; Du, Y.; Cui, H.; Wang, Y.; He, Z.; Lai, X. Intelligent mid-long electricity load forecast method considering associated factors. Power Syst. Prot. Control 2019, 47, 24–30. [Google Scholar]
- Li, J.; Wang, C.; Lin, S.; Du, P. Load forecasting of point load in the near and medium term and the analysis of industry load growth characteristics based on big data platform. Power Syst. Big Data 2020, 23, 17–25. [Google Scholar]
- Liu, P.-h.; Yuan, T.-j.; Mei, S.-w.; Tuerxun, Y.; Zhao, L. Short-term Power Prediction of PV Based on Combined BP GA Neural Network. Water Resour. Power 2016, 34, 211–214. [Google Scholar]
- Cui, Y.; Chen, Z.; Xu, P. Short-Term Power Prediction for Wind Farm and Solar Plant Clusters Based on Machine Learning Method. Electr. Power 2020, 53, 1–7. [Google Scholar]
- Ren, L.; Fu, Y.; Wang, B.; Song, T.; Zhao, F. Optimal Power Prediction of Wind Power Storage Combined Power Generation System Considering Economic Benefits. J. Northeast Dianli Univ. 2020, 40, 16–25. [Google Scholar]
- Li, L.L.; Wen, S.Y.; Tseng, M.L.; Wang, C.S. Renewable energy prediction: A novel short-term prediction model of photovoltaic output power. J. Clean. Prod. 2019, 359–375. [Google Scholar] [CrossRef]
- Martin, L.; Zarzalejo, L.F.; Polo, J.; Navarro, A.; Marchante, R.; Cony, M. Prediction of global solar irradiance based on time series analysis: Application to solar thermal power plants energy production planning. Sol. Energy. 2010, 84, 1772–1781. [Google Scholar] [CrossRef]
- Guo, F. Probabilistic Prediction Analysis and Research of Wind Power Based on Bayesian Method. Master’s Thesis, North China Electric Power University, Beijing, China, 2019. [Google Scholar]
- Li, R.-r.; Dai, Y. Short-Term Wind Speed Prediction Based on Short and LongTime Memory Network and Time Series Analysis Method. Comput. Simul. 2020, 37, 393–398. [Google Scholar]
- Massé, P. Les Reserves et la Regulation de l’Avenir Dans la vie Economique; Avenir Determine, Hermann and Cie: Paris, France, 1946; Volume 1. (In French) [Google Scholar]
- Srinivasan, K.; Philipose, M.C. Evaluation and selection of hedging policies using reservoir simulation. Water Resour. Manag. 1996, 10, 163–188. [Google Scholar] [CrossRef]
- You, J.; Cai, X. Hedging rule for reservoir operations: 2. A numerical model. Water Resour. Res. 2008, 44, W1416. [Google Scholar] [CrossRef]
- You, J.; Cai, X. Hedging rule for reservoir operations: 1. A theoretical analysis. Water Resour. Res. 2008, 44, W1415. [Google Scholar] [CrossRef]
- Zhao, T.; Zhao, J.; Lund, J.R.; Yang, D. Optimal Hedging Rules for Reservoir Flood Operation from Forecast Uncertainties. J. Water Resour. Plan. Manag. 2014, 140, 4014041. [Google Scholar] [CrossRef]
- Ahmadianfar, I.; Adib, A. Optimization of Fuzzified Hedging Rules for Multipurpose and Multireservoir Systems. Hydrol. Eng. 2016, 21, 55–69. [Google Scholar] [CrossRef]
- Tan, Q.-f.; Wang, X. Derivation of optimal joint operating rules for multi-purpose multi-reservoir water-supply system. J. Hydrol. 2017, 551, 253–264. [Google Scholar] [CrossRef]
- Huang, C.; Zhao, J. Optimal Hedging Rules for Two-Objective Reservoir Operation: Balancing Water Supply and Environmental Flow. Water Resour. Plan. Manag. 2016, 142, 16053. [Google Scholar] [CrossRef]
- Dosi, C.; CapacityMoretto, M. Inter-BasinTransfers Under Uncertainty: Storageand Optimal Guaranteed Deliveries. Environ. Resour. Econ. 1994, 4, 331–352. [Google Scholar] [CrossRef]
- Hashimoto, T.; Stedinger, J.R.; Loucks, D.P. Reliability, Resiliency, and Vulnerability Criteria for Water Resource System Performance Evaluation. Water Resour. Res. 1982, 18, 14–20. [Google Scholar] [CrossRef]
- Shiau, J. Optimization of Reservoir Hedging Rules Using Multiobjective Genetic Algorithm. J. Water Resour. Plan. Manag. 2009, 135, 355–363. [Google Scholar] [CrossRef]
- Shiau, J.T.; Lee, H.C. Derivation of Optimal Hedging Rules for a Water-supply Reservoir through Compromise Programming. Water Resour. Manag. 2005, 19, 111–132. [Google Scholar] [CrossRef]
- Tu, M.Y.; Hsu, N.S.; Yeh, W.W.G. Optimization of Reservoir Management and Operation with Hedging Rules. J. Water Resour. Plan. Manag. 2003, 129, 86–97. [Google Scholar] [CrossRef]
- Tu, M.Y.; Hsu, N.S.; Tsai, F.T.C.; Yeh, W.W.G. Optimization of Hedging Rules for Reservoir Operations. J. Water Resour. Plan. Manang. 2008, 134, 3–13. [Google Scholar] [CrossRef]
- Tian, S.; Zhao, Z.; Du, S. Energy-saving optimal scheduling based on improved multiobjective differential evolution algorithm. Eng. J. Wuhan Univ. 2019, 52, 1091–1096+1105. [Google Scholar]
- Das, I.; Dennis, J.E. Normal-Boundary Intersection: A New Method for Generating the Pareto Surface in Nonlinear Multicriteria Optimization Problems. Siam J. Optim. 1998, 8, 631–657. [Google Scholar] [CrossRef]
- Wang, Y.; Liu, H.; Wei, F.; Zong, T.; Li, X. Cooperative Co-evolution with Formula-based VariableGrouping for Large-Scale Global Optimization. Evol. Comput. 2017, 26, 569–596. [Google Scholar] [CrossRef] [PubMed]
- Zhang, Q. Research on Multi-Objective Evolutionary Algorithm Based on Decomposition Thought. Master’s Thesis, Hunan University, Changsha, China, 2018. [Google Scholar]
- Gong, D.-W.; Liu, Y.-P.; Sun, X.-Y.; Han, Y.-Y. Parallel Many-objective Evolutionary Optimization Using Objectives Decomposition. IEEE CAA J. Autom. Sin. 2015, 41, 1438–1451. [Google Scholar]
- Li, K.; Deb, K.; Zhang, Q.; Kwong, S. An Evolutionary Many-Objective Optimization Algorithm Based on Dominance and Decomposition. IEEE Trans. Evol. Comput. 2015, 19, 694–716. [Google Scholar] [CrossRef]















| Stage k | Stage 1: Decision Stage | Stage 2: Remaining Stage |
|---|---|---|
| Forecast water inflow Q | ||
| Regulatory decisions D, N | Reservoir discharge D1 PV power generation N1 | Reservoir discharge D2, PV power generation N2 |
| Pre-storage capacity W | Initial W0, end W1 | Initial W1, end W2 |
| Storage of reservoir V | Initial V0, end V1 | Initial V1, end V2 |
| Flood control objectives R | ||
| Profitable target B | B | B |
| Combined output target G | G1 | G2 |
| Catchment area (104 km2) | Aggregate storage capacity (108 m3) | Regulating storage (108 m3) | Read storage (108 m3) | Flood storage (108 m3) |
| 2.6 | 5.21 | 2.21 | 2.29 | 1.91 |
| Firm output (MW) | Maximum reference traffic (m3/s) | Installed capacity (MW) | Mean annual energy production (108 kWh) | Annual runoff (108 m3) |
| 7.8 | 1000 | 300 | 14.63 | 86.72 |
| Check flood level (m) | Design flood level (m) | Normal water level (m) | Flood limited water level (m) | Dead water level (m) |
| 708.8 | 703.3 | 704 | 695 | 685 |
| Target | Optimal Water Storage Benefit Decision Scheme | Optimal Flood Risk Decision Scheme | Optimal Volatility Decision Scheme | Under Hedging Mechanism Decision Scheme |
|---|---|---|---|---|
| Water storage benefit difference | 1.24 × 10−3 | 1.16 × 10−2 | 2.57 × 10−3 | 1.92 × 10−3 |
| Flood risk value | 9.07 × 10−3 | 3.04 × 10−3 | 6.47 × 10−3 | 4.11 × 10−3 |
| Joint output fluctuation value | 6.67 × 10−0 | 9.59 × 100 | 2.38 × 100 | 5.64 × 100 |
| Type | Typical Scenes in Sunny Days | Typical Scenes in Cloudy Days | ||
|---|---|---|---|---|
| Traditional Scheme | Hedging Scheme | Traditional Scheme | Hedging Scheme | |
| Photovoltaic output | 57.55 | 49.96 | ||
| Hydropower output | 442.917 | 440.447 | 447.997 | 447.207 |
| joint output | 500.4670 | 497.997 | 497.955 | 497.166 |
| Maximum joint output | 26.341 | 23.462 | 28.998 | 24.513 |
| Minimum joint output | 14.897 | 17.817 | 12.897 | 18.021 |
| Peak valley difference | 11.444 | 5.645 | 16.101 | 6.492 |
Publisher’s Note: MDPI stays neutral with regard to jurisdictional claims in published maps and institutional affiliations. |
© 2022 by the authors. Licensee MDPI, Basel, Switzerland. This article is an open access article distributed under the terms and conditions of the Creative Commons Attribution (CC BY) license (https://creativecommons.org/licenses/by/4.0/).
Share and Cite
Xie, T.; Liu, H.; Zhang, G.; Zhang, K.; Li, P. A Joint Dispatch Operation Method of Hydropower and Photovoltaic: Based on the Two-Stage Hedging Model. Appl. Sci. 2022, 12, 11348. https://doi.org/10.3390/app122211348
Xie T, Liu H, Zhang G, Zhang K, Li P. A Joint Dispatch Operation Method of Hydropower and Photovoltaic: Based on the Two-Stage Hedging Model. Applied Sciences. 2022; 12(22):11348. https://doi.org/10.3390/app122211348
Chicago/Turabian StyleXie, Tuo, Hong Liu, Gang Zhang, Kaoshe Zhang, and Pai Li. 2022. "A Joint Dispatch Operation Method of Hydropower and Photovoltaic: Based on the Two-Stage Hedging Model" Applied Sciences 12, no. 22: 11348. https://doi.org/10.3390/app122211348
APA StyleXie, T., Liu, H., Zhang, G., Zhang, K., & Li, P. (2022). A Joint Dispatch Operation Method of Hydropower and Photovoltaic: Based on the Two-Stage Hedging Model. Applied Sciences, 12(22), 11348. https://doi.org/10.3390/app122211348

