Entropy Optimization in MHD Nanofluid Flow over an Exponential Stretching Sheet
Abstract
1. Introduction
2. Problem Formulation
3. Entropy Generation Analysis
4. Method of Solution
4.1. Multi-Domain Bivariate Spectral Quasi-Linearization Method (MD-BSQLM)
4.2. Linearization
4.3. Collocation
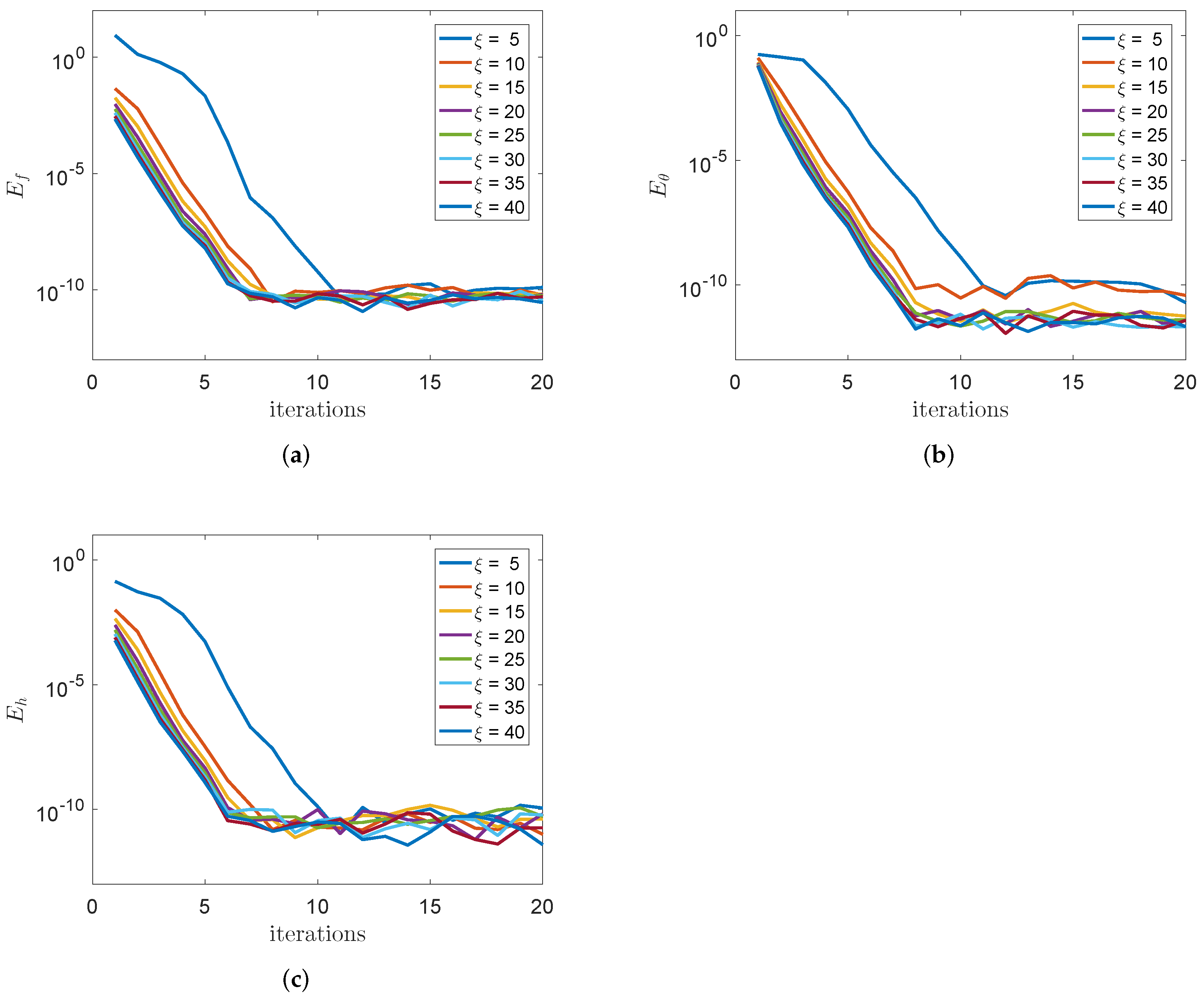
5. Convergence Analysis
6. Results and Discussion
7. Conclusions
- The MD-BSQLM converges rapidly with a high degree of accuracy. The accuracy may be enhanced by increasing the number of collocation points.
- Increases in thermophoresis and thermal radiation parameters lead to increases in both the skin friction and mass transfer coefficients.
- An increase in thermophoresis, Brownian motion, or thermal radiation parameters leads to a decrease in the rate of heat transfer.
- The entropy generation rate can be minimized through the temperature difference parameter and temperature Grashof number.
Author Contributions
Funding
Institutional Review Board Statement
Informed Consent Statement
Data Availability Statement
Conflicts of Interest
References
- VeeraKrishna, M.; Reddy, M.G. MHD free convective rotating flow of visco-elastic fluid past an infinite vertical oscillating porous plate with chemical reaction. IOP Conf. Ser. Mater. Sci. Eng. 2016, 149, 012217. [Google Scholar]
- Kataria, H.R.; Patel, H.R. Soret and heat generation effects on MHD Casson fluid flow past an oscillating vertical plate embedded through porous medium. Alex. Eng. J. 2016, 55, 2125–2137. [Google Scholar] [CrossRef]
- Nadeem, S.; Lee, C. Boundary layer flow of nanofluid over an exponentially stretching surface. Nanoscale Res. Lett. 2012, 7, 1–6. [Google Scholar] [CrossRef] [PubMed]
- Haq, R.U.; Nadeem, S.; Khan, Z.H.; Okedayo, T.G. Convective heat transfer and MHD effects on Casson nanofluid flow over a shrinking sheet. Cent. Eur. J. Phys. 2014, 12, 862–871. [Google Scholar] [CrossRef]
- Rehman, F.U.; Nadeem, S.; Rehman, H.U.; Haq, R.U. Thermophysical analysis for three-dimensional MHD stagnation-point flow of nano-material influenced by an exponential stretching surface. Results Phys. 2018, 8, 316–323. [Google Scholar] [CrossRef]
- Makinde, O.D.; Aziz, A. Boundary layer flow of a nanofluid past a stretching sheet with a convective boundary condition. Int. J. Therm. Sci. 2011, 50, 1326–1332. [Google Scholar] [CrossRef]
- Barletta, A.; Celli, M.; Rees, D.A. The onset of convection in a porous layer induced by viscous dissipation: A linear stability analysis. Int. J. Heat Mass Transf. 2009, 52, 337–344. [Google Scholar] [CrossRef]
- Ramesh, G. Influence of shape factor on hybrid nanomaterial in a cross flow direction with viscous dissipation. Phys. Scr. 2019, 94, 105224. [Google Scholar] [CrossRef]
- Rehman, K.U.; Shatanawi, W.; Ashraf, S.; Kousar, N. Numerical Analysis of Newtonian Heating Convective Flow by Way of Two Different Surfaces. Appl. Sci. 2022, 12, 2383. [Google Scholar] [CrossRef]
- Rehman, K.U.; Shatanawi, W.; Abodayeh, K.; Shatnawi, T.A. A Group Theoretic Analysis of Mutual Interactions of Heat and Mass Transfer in a Thermally Slip Semi-Infinite Domain. Appl. Sci. 2022, 12, 2000. [Google Scholar] [CrossRef]
- Rashidi, M.; Ganesh, N.V.; Hakeem, A.A.; Ganga, B.; Lorenzini, G. Influences of an effective Prandtl number model on nano boundary layer flow of γ Al2O3–H2O and γ Al2O3–C2H6O2 over a vertical stretching sheet. Int. J. Heat Mass Transf. 2016, 98, 616–623. [Google Scholar] [CrossRef]
- Almakki, M.; Mondal, H.; Kameswaran, P.K.; Sibanda, P. Entropy generation in Casson nanofluid flow over a surface with nonlinear thermal radiation and binary chemical reaction. Heat Transf. 2021, 50, 4855–4870. [Google Scholar] [CrossRef]
- Almakki, M.; Mondal, H.; Sibanda, P. Entropy generation in MHD flow of viscoelastic nanofluids with homogeneous-heterogeneous reaction, partial slip and nonlinear thermal radiation. J. Therm. Eng. 2020, 6, 327–345. [Google Scholar] [CrossRef]
- Hosseinzadeh, K.; Asadi, A.; Mogharrebi, A.; Khalesi, J.; Mousavisani, S.; Ganji, D. Entropy generation analysis of (CH2OH) 2 containing CNTs nanofluid flow under effect of MHD and thermal radiation. Case Stud. Therm. Eng. 2019, 14, 100482. [Google Scholar] [CrossRef]
- Aziz, A.; Jamshed, W.; Aziz, T.; Bahaidarah, H.M.; Rehman, K.U. Entropy analysis of Powell–Eyring hybrid nanofluid including effect of linear thermal radiation and viscous dissipation. J. Therm. Anal. Calorim. 2021, 143, 1331–1343. [Google Scholar] [CrossRef]
- Pal, D.; Mondal, S.; Mondal, H. Entropy generation on MHD Jeffrey nanofluid over a stretching sheet with nonlinear thermal radiation using spectral quasilinearisation method. Int. J. Ambient. Energy 2021, 42, 1712–1726. [Google Scholar] [CrossRef]
- Maleki, H.; Safaei, M.R.; Togun, H.; Dahari, M. Heat transfer and fluid flow of pseudo-plastic nanofluid over a moving permeable plate with viscous dissipation and heat absorption/generation. J. Therm. Anal. Calorim. 2019, 135, 1643–1654. [Google Scholar] [CrossRef]
- Sharma, K.; Gupta, S. Viscous dissipation and thermal radiation effects in MHD flow of Jeffrey nanofluid through impermeable surface with heat generation/absorption. Nonlinear Eng. 2017, 6, 153–166. [Google Scholar] [CrossRef]
- Chamkha, A.J.; Mujtaba, M.; Quadri, A.; Issa, C. Thermal radiation effects on MHD forced convection flow adjacent to a non-isothermal wedge in the presence of a heat source or sink. Heat Mass Transf. 2003, 39, 305–312. [Google Scholar] [CrossRef]
- Pal, D.; Mondal, H. Influence of temperature-dependent viscosity and thermal radiation on MHD forced convection over a non-isothermal wedge. Appl. Math. Comput. 2009, 212, 194–208. [Google Scholar] [CrossRef]
- Almakki, M.; Mondal, H.; Sibanda, P. Onset of unsteady MHD micropolar nanofluid flow with entropy generation. Int. J. Ambient. Energy 2021, 1–14. [Google Scholar] [CrossRef]
- Bejan, A. Entropy generation minimization: The new thermodynamics of finite-size devices and finite-time processes. J. Appl. Phys. 1996, 79, 1191–1218. [Google Scholar] [CrossRef]
- Rashidi, M.; Mohammadi, F.; Abbasbandy, S.; Alhuthali, M. Entropy Generation Analysis for Stagnation Point Flow in a Porous Medium over a Permeable Stretching Surface. J. Appl. Fluid Mech. 2015, 8. [Google Scholar] [CrossRef]
- Motsa, S.; Dlamini, P.; Khumalo, M. A new multistage spectral relaxation method for solving chaotic initial value systems. Nonlinear Dyn. 2013, 72, 265–283. [Google Scholar] [CrossRef]
- Oyelakin, I.; Mondal, S.; Sibanda, P. A multi-domain spectral method for non-Darcian mixed convection flow in a power-law fluid with viscous dissipation. Phys. Chem. Liq. 2018, 56, 771–789. [Google Scholar] [CrossRef]
- Mondal, S.; Sibanda, P.; Oyelakin, I.S. A multi-domain bivariate approach for mixed convection in a Casson nanofluid with heat generation. Walailak J. Sci. Technol. (WJST) 2018, 16, 681–699. [Google Scholar]
- Bellman, R.E.; Kalaba, R.E. Quasilinearization and Nonlinear Boundary-Value Problems; Rand Corporation: Santa Monica, CA, USA, 1965. [Google Scholar]
- Motsa, S.S.; Dlamini, P.G.; Khumalo, M. Spectral relaxation method and spectral quasilinearization method for solving unsteady boundary layer flow problems. Adv. Math. Phys. 2014, 2014, 341964. [Google Scholar] [CrossRef]
- Motsa, S.S.; Awad, F.G.; Makukula, Z.G.; Sibanda, P. The spectral homotopy analysis method extended to systems of partial differential equations. Abstr. Appl. Anal. 2014, 2014, 241594. [Google Scholar] [CrossRef]
- Trefethen, L.N. Spectral Methods in MATLAB; SIAM: Philadelphia, PA, USA, 2000. [Google Scholar]
- Yih, K. MHD forced convection flow adjacent to a non-isothermal wedge. Int. Commun. Heat Mass Transf. 1999, 26, 819–827. [Google Scholar] [CrossRef]
- Mburu, Z.; Nayak, M.; Mondal, S.; Sibanda, P. Impact of irreversibility ratio and entropy generation on three-dimensional Oldroyd-B fluid flow with relaxation–retardation viscous dissipation. Indian J. Phys. 2022, 96, 151–167. [Google Scholar] [CrossRef]
- Mburu, Z.M.; Mondal, S.; Sibanda, P.; Sharma, R.P. The Overlapping Grid Spectral Collocation Method for Solving Entropy Generation in Casson Nanofluid Flow Past a Stretching Plate. J. Nanofluids 2021, 10, 45–57. [Google Scholar] [CrossRef]
- Mburu, Z.M.; Mondal, S.; Sibanda, P. Numerical study on combined thermal radiation and magnetic field effects on entropy generation in unsteady fluid flow past an inclined cylinder. J. Comput. Des. Eng. 2021, 8, 149–169. [Google Scholar] [CrossRef]








| Nt | Nb | Nr | Pr | Cfx | Nux | Shx | |
|---|---|---|---|---|---|---|---|
| 5 | 3.0874257 | −1.5088474 | 0.4653439 | ||||
| 10 | 0.001 | 0.001 | 0.5 | 6.8 | 4.3131008 | −1.9976737 | 0.9329592 |
| 15 | 5.2604334 | −2.3949035 | 1.3198495 | ||||
| 20 | 6.0620646 | −2.7411796 | 1.6592534 | ||||
| 0.001 | 5.187825 | 2.154772 | −0.008580 | ||||
| 10 | 0.3 | 0.001 | 0.5 | 6.8 | 5.488176 | 1.989699 | −3.770309 |
| 0.5 | 5.656798 | 1.881303 | −5.678613 | ||||
| 0.7 | 5.803213 | 1.776072 | −7.140323 | ||||
| 0.001 | 6.003369 | 2.503334 | −0.068861 | ||||
| 15 | 0.001 | 0.1 | 0.5 | 6.8 | 5.992718 | 2.466485 | −0.033776 |
| 0.15 | 5.988566 | 2.520528 | −0.027644 | ||||
| 0.2 | 5.970386 | 3.233199 | −0.013723 | ||||
| 0.001 | 5.198892 | 2.432598 | −0.011509 | ||||
| 10 | 0.001 | 0.001 | 0.1 | 6.8 | 5.196294 | 2.362772 | −0.010779 |
| 0.2 | 5.193907 | 2.301212 | −0.010132 | ||||
| 0.3 | 5.191718 | 2.246864 | −0.009559 |
Publisher’s Note: MDPI stays neutral with regard to jurisdictional claims in published maps and institutional affiliations. |
© 2022 by the authors. Licensee MDPI, Basel, Switzerland. This article is an open access article distributed under the terms and conditions of the Creative Commons Attribution (CC BY) license (https://creativecommons.org/licenses/by/4.0/).
Share and Cite
Sibanda, P.; Almakki, M.; Mburu, Z.; Mondal, H. Entropy Optimization in MHD Nanofluid Flow over an Exponential Stretching Sheet. Appl. Sci. 2022, 12, 10809. https://doi.org/10.3390/app122110809
Sibanda P, Almakki M, Mburu Z, Mondal H. Entropy Optimization in MHD Nanofluid Flow over an Exponential Stretching Sheet. Applied Sciences. 2022; 12(21):10809. https://doi.org/10.3390/app122110809
Chicago/Turabian StyleSibanda, Precious, Mohammed Almakki, Zachariah Mburu, and Hiranmoy Mondal. 2022. "Entropy Optimization in MHD Nanofluid Flow over an Exponential Stretching Sheet" Applied Sciences 12, no. 21: 10809. https://doi.org/10.3390/app122110809
APA StyleSibanda, P., Almakki, M., Mburu, Z., & Mondal, H. (2022). Entropy Optimization in MHD Nanofluid Flow over an Exponential Stretching Sheet. Applied Sciences, 12(21), 10809. https://doi.org/10.3390/app122110809

