Methodology for the Prediction of Water Gushing in Tunnels in Igneous Fracture Tectonic Zones: A Case Study of a Tunnel in Guangdong Province, China
Abstract
1. Introduction
2. Fuzzy Clustering Method
3. Prediction of Water Gushing in Tunnels
- There is no change in the specific yield of rock above the tunnel, and groundwater is continuously replenished into the rock along the fracture structure;
- There is no change in the hydraulic connection between the rock aquifers in the tunnel site area for a certain period of time. It is only related to the inherent geological structure, but the tectonic fissures can still change in the case of prolonged groundwater flow;
- There is no abrupt change in the groundwater head in the tunnel site area within a certain period of time, and it is in a basically stable state;
- The tunnel is not directly affected by the water system and bedrock fissure water below the elevation where the tunnel is located;
- Due to the presence of tectonic fissures, the hydraulic connection between neighbouring rock masses is kept stable and, at the same time, they interact with each other. The Rn between adjacent rock sections is slowly changing in a gradient.
4. Case Study
4.1. Background
4.2. Fuzzy Clustering Method for Identification of the Source of Water Gushing
4.3. Prediction of Water Gushing Based on the Effective Radius of the Dynamic
4.3.1. Defining Parameters
4.3.2. Effective Radius of the Dynamic
4.4. Discussion
4.5. Subsequent On-Site Validation
5. Conclusions
- The introduction of fuzzy clustering method ensured that the water gushing source in the igneous rock area could be effectively identified. The similarity index of λmin = 0.3967 indicated that the water gushing out of the tunnel had a low correlation with the surface water. They came mainly from within the rock mass. The collection of water samples should accompany the whole process of tunnel excavation. This is important for the dynamic prediction of tunnel excavation water gushing.
- A new and more accurate method has been proposed and restructured to dynamically predict the water gushing in deep underground, extra-long tunnels in igneous areas. The overall error in prediction results was less than 10%, which was more accurate compared to the method of rainfall infiltration and the method of the runoff module number of the groundwater. Moreover, the supplementation of bedrock fracture water by precipitation should not be neglected.
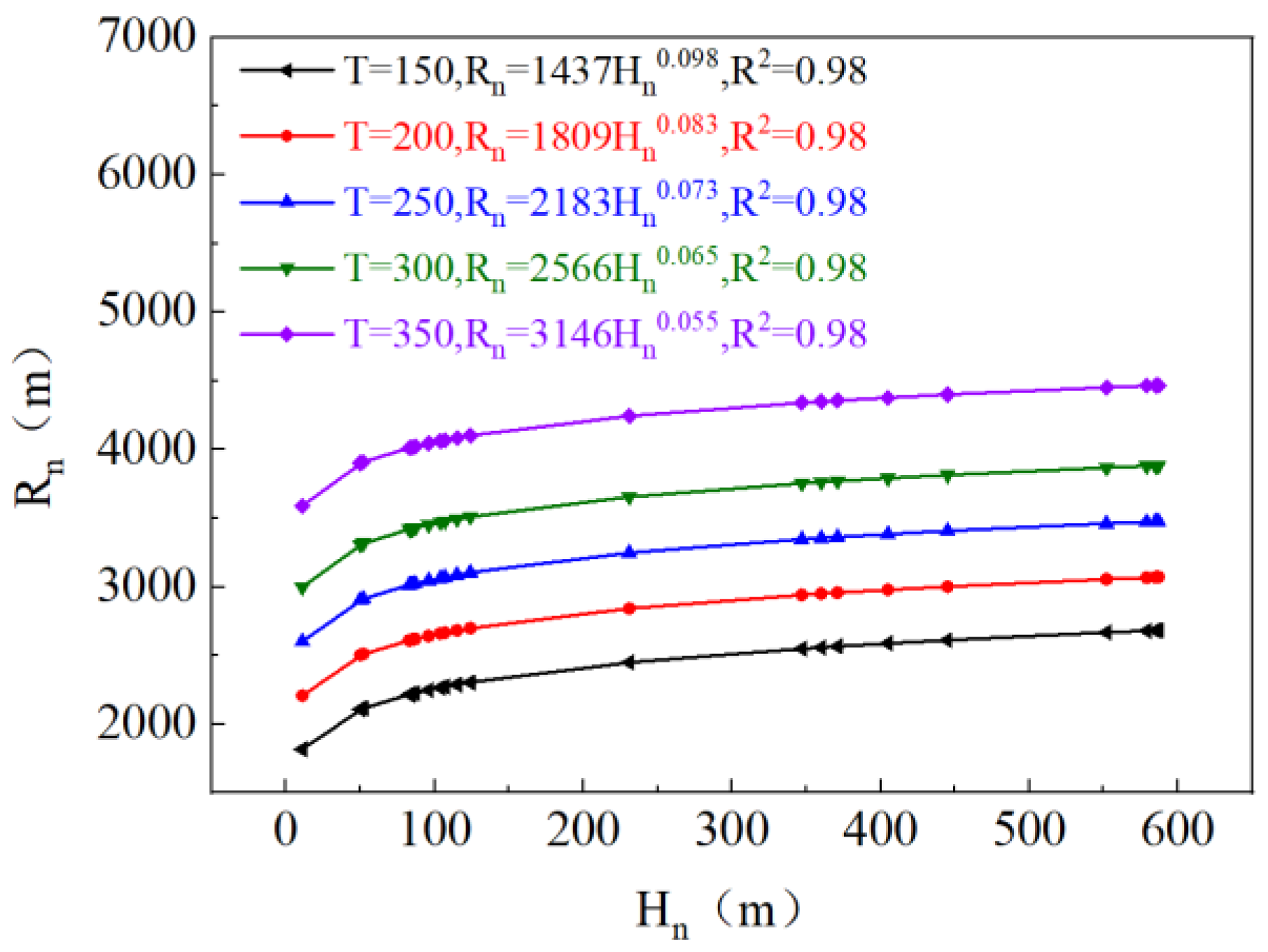
- By means of the results of the dynamic data, the effective radius of water gushing during a rainfall cycle was positively correlated with the average thickness of the aquifer in the rock formation. When a tunnel was built in a fracture zone, it should be considered to cross a mountain with a small average thickness of aquifer or to reduce the depth of burial as much as possible. As a result, the risk of water gushing was reduced.
- The period of water gushing was divided into three stages in this study. According to the improved method for prediction of water gushing, the impact of the water from the bedrock fracture on the water gushing would become smaller with the increase in the duration of the water gushing, and the impact of the infiltration of water from the surface would become greater.
Author Contributions
Funding
Institutional Review Board Statement
Informed Consent Statement
Data Availability Statement
Conflicts of Interest
Appendix A. Characteristics of the Macronutrient Ion Content of the Six Water Samples
| Samples | Sampling Locations | PH | Conductivity | TDS | Cl− | SO42− | HCO3− |
| (μs/cm) | (mg/L) | (mg/L) | (mg/L) | (mg/L) | |||
| S1 | Walls at K91 + 210 | 8.51 | 174.7 | 112 | 4.74 | 10.59 | 128.14 |
| S10 | Walls at ZK94 + 198 | 8.7 | 192.2 | 123 | 4.69 | 7.27 | 128.14 |
| S11 | River 2.1 km left of tunnel ZK92 + 800 | 7.92 | 18 | 9 | 4.67 | 3.89 | 22.51 |
| S12 | River 300 m left of tunnel K90 + 220 | 7.61 | 52 | 26 | 4.77 | 5.7 | 46.61 |
| S13 | The reservoir above the tunnel | 6.83 | 8 | 4 | 4.93 | 4.08 | 18.72 |
| S14 | River at tunnel K92 + 500 | 6.89 | 11 | 5.5 | 4.79 | 3.88 | 19.31 |
References
- Li, X.; Zhang, P.; He, Z.; Huang, Z.; Cheng, M.; Guo, L. Identification of geological structure which induced heavy water and mud inrush in tunnel excavation: A case study on Lingjiao tunnel. Tunn. Undergr. Sp. Tech. 2017, 69, 203–208. [Google Scholar] [CrossRef]
- Nikvar Hassani, A.; Katibeh, H.; Farhadian, H. Numerical analysis of steady-state groundwater inflow into Tabriz line 2 metro tunnel, northwestern Iran, with special consideration of model dimensions. B Eng. Geol. Environ. 2016, 75, 1617–1627. [Google Scholar] [CrossRef]
- Liu, J.; Chen, W.; Yuan, J.; Li, C.; Zhang, Q.; Li, X. Groundwater control and curtain grouting for tunnel construction in completely weathered granite. B Eng. Geol. Environ. 2018, 77, 515–531. [Google Scholar] [CrossRef]
- Shi, S.; Xie, X.; Wen, Z.; Zhou, Z.; Li, L.; Song, S.; Wu, Z. Intelligent Evaluation System of Water Inrush in Roadway (Tunnel) and Its Application. Water 2018, 10, 997. [Google Scholar] [CrossRef]
- Golian, M.; Katibeh, H.; Singh, V.P.; Ostad-Ali-Askari, K.; Rostami, H.T. Prediction of tunnelling impact on flow rates of adjacent extraction water wells. Q. J. Eng. Geol. Hydrogeol. 2019, 53, 236–251. [Google Scholar] [CrossRef]
- Li, X.; Li, Y.; Chang, C.; Tan, B.; Chen, Z.; Sege, J.; Wang, C.; Rubin, Y. Stochastic, goal-oriented rapid impact modeling of uncertainty and environmental impacts in poorly-sampled sites using ex-situ priors. Adv. Water Resour. 2018, 111, 174–191. [Google Scholar] [CrossRef]
- Gokdemir, C.; Li, Y.; Rubin, Y.; Li, X. Stochastic modeling of groundwater drawdown response induced by tunnel drainage. Eng. Geol. 2022, 297, 106529. [Google Scholar] [CrossRef]
- El Tani, M. Helmholtz evolution of a semi-infinite aquifer drained by a circular tunnel. Tunn. Undergr. Sp. Tech. 2010, 25, 54–62. [Google Scholar] [CrossRef]
- Niu, F.; Cai, Y.; Liao, H.; Li, J.; Tang, K.; Wang, Q.; Wang, Z.; Liu, D.; Liu, T.; Liu, C.; et al. Unfavorable Geology and Mitigation Measures for Water Inrush Hazard during Subsea Tunnel Construction: A Global Review. Water 2022, 14, 1592. [Google Scholar] [CrossRef]
- Liu, J.; Li, Z.; Zhang, X.; Weng, X. Analysis of Water and Mud Inrush in Tunnel Fault Fracture Zone—A Case Study of Yonglian Tunnel. Sustainability 2021, 13, 9585. [Google Scholar] [CrossRef]
- Zhang, Z.; Xu, P.; Zhang, H.; Zhang, K. Dynamic Change Characteristics of Groundwater Affected by Super-Long Tunnel Construction in the Western Mountainous Area of China. Sustainability 2019, 11, 2329. [Google Scholar] [CrossRef]
- Sun, W.; Xue, Y.; Li, T.; Liu, W. Multi-field Coupling of Water Inrush Channel Formation in a Deep Mine with a Buried Fault. Mine Water Environ. 2019, 38, 528–535. [Google Scholar] [CrossRef]
- Li, G.; Ma, W.; Tian, S.; Hongbo, Z.; Huabin, F.; Zou, W. Groundwater Inrush Control and Parameters Optimization of Curtain Grouting Reinforcement for the Jingzhai Tunnel. Geofluids 2021, 2021, 6634513. [Google Scholar] [CrossRef]
- Wu, J.; Wang, X.; Wu, L.; Lu, Y.; Han, Y. Parametric Study of Water Inrush in a Tunnel Crossing a Fault Based on the “Three Zones” Fault Structure. KSCE J. Civ. Eng. 2022, 26, 3600–3619. [Google Scholar] [CrossRef]
- Gu, H.; Ma, F.; Guo, J.; Li, K.; Lu, R. Hydrochemistry, multidimensional statistics, and rock mechanics investigations for Sanshandao Gold Mine, China. Arab. J. Geosci. 2017, 10, 62. [Google Scholar] [CrossRef]
- Yin, H.; Zhao, H.; Xie, D.; Sang, S.; Shi, Y.; Tian, M. Mechanism of mine water inrush from overlying porous aquifer in Quaternary: A case study in Xinhe Coal Mine of Shandong Province, China. Arab. J. Geosci. 2019, 12, 163. [Google Scholar] [CrossRef]
- Saberinasr, A.; Morsali, M.; Hashemnejad, A.; Hassanpour, J. Determining the origin of groundwater elements using hydrochemical data (case study: Kerman water conveyance tunnel). Environ. Earth Sci. 2019, 78, 198. [Google Scholar] [CrossRef]
- Wang, Y.; Zhou, M.-r.; Yan, P.-c.; He, C.-y.; Liu, D. Identification of Coalmine Water Inrush Source with PCA-BP Model Based on Laser-Induced Fluorescence Technology. Spectrosc. Spect. Anal. 2017, 37, 978–983. [Google Scholar]
- Chen, Y.; Zhu, S.; Xiao, S. Discussion on controlling factors of hydrogeochemistry and hydraulic connections of groundwater in different mining districts. Nat. Hazards 2019, 99, 689–704. [Google Scholar] [CrossRef]
- Kang, X.; Luo, S.; Xu, M.; Zhang, Q.; Yang, Y. Dynamic estimating the karst tunnel water inflow based on monitoring data during excavation. Acta Carsologica. 2019, 48, 117–127. [Google Scholar] [CrossRef]
- He, W.; Hayatdavoudi, A.; Shi, H.; Sawant, K.; Huang, P. A Preliminary Fractal Interpretation of Effects of Grain Size and Grain Shape on Rock Strength. Rock Mech. Rock Eng. 2019, 52, 1745–1765. [Google Scholar] [CrossRef]
- Aligholi, S.; Lashkaripour, G.R.; Ghafoori, M.; Azali, S.T. Evaluating the Relationships Between NTNU/SINTEF Drillability Indices with Index Properties and Petrographic Data of Hard Igneous Rocks. Rock Mech. Rock Eng. 2017, 50, 2929–2953. [Google Scholar] [CrossRef]
- Huang, C.; Zhang, S.; Wu, S.; Gao, Y. Research and application of a comprehensive forecasting system for tunnels in water-bearing fault fracture zones: A case study. Arab. J. Geosci. 2022, 15, 171. [Google Scholar] [CrossRef]
- Akara, M.M.; Reeves, D.M.; Parashar, R. Impact of horizontal spatial clustering in two-dimensional fracture networks on solute transport. J. Hydrol. 2021, 603, 127055. [Google Scholar] [CrossRef]
- de Palézieux, L.; Loew, S. Long-term transient groundwater pressure and deep infiltration in Alpine mountain slopes (Poschiavo Valley, Switzerland). Hydrogeol. J. 2019, 27, 2817–2834. [Google Scholar] [CrossRef]
- Chang, Q.; Sun, X.; Zhou, H.; Shi, X. A multivariate matrix model of analysing mine water bursting and its application. Desalin. Water Treat. 2018, 123, 20–26. [Google Scholar] [CrossRef]
- Zhou, F.; Zhang, W.; Sun, K.; Shi, B. Optimized Fuzzy Clustering Method for Health Monitoring of Shield Tunnels. Trans. Nanjing Univ. Aeronaut. Astronaut. 2015, 32, 325–333. [Google Scholar]
- Liu, Y.; Chen, W.; Chen, W.; Chen, Y.; Ma, L.; Meng, Z. Reconstruction Method of Ocean Front Model Based on Fuzzy Cluster Analysis of Sound Speed Profile. IEEE Access 2021, 9, 112714–112725. [Google Scholar] [CrossRef]
- Jiao, Y.; Liu, H.; Zhang, P.; Wang, X.; Wei, H. Unsupervised Performance Evaluation Strategy for Bridge Superstructure Based on Fuzzy Clustering and Field Data. Sci. World J. 2013, 2013, 427072. [Google Scholar] [CrossRef]
- Liu, H.; Jiao, Y.; Cheng, Y.; Gong, Y. Reduction of Uncertainties for Damage Identification of Bridge Based on Fuzzy Nearness and Modal Data. J. Appl. Math. 2012, 2012, 812932. [Google Scholar] [CrossRef]
- Yang, M.; Wang, C. Clustering Methods Based on Weighted Quasi-Arithmetic Means of T-Transitive Fuzzy Relations. Int. J. Uncertain. Fuzz. 2015, 23, 715–733. [Google Scholar] [CrossRef]
- Yongsheng, L.; Yunchao, D.; Danni, Z.; Shengzhang, Z.; Ahmadi, F. Karst hydrogeological characteristics and water-gushing prediction of Dejiang Tunnel in Guizhou Province. Water Resour. Hydropower Eng. 2020, 51, 63–70. [Google Scholar]
- Liu Yan, Z.H. Characteristics of inferior variation of water environment and regulating capacity of groundwater reservoir in Jinghui Canal Irrigation District of China. Trans. CSAE 2011, 27, 19–24. [Google Scholar]
- Shi, G.; Gu, G.; Zhou, H.; Tao, Z.; Pan, H.; Tang, T.; Yin, Q. Stability Monitoring and Analysis of High and Steep Slope of a Hydropower Station. Geofluids 2020, 2020, 8840269. [Google Scholar] [CrossRef]
- Lo Russo, S.; Gnavi, L.; Peila, D.; Suozzi, E. Rough evaluation of the water-inflow discharge in abandoned mining tunnels using a simplified water balance model: The case of the Cogne iron mine (Aosta Valley, NW Italy). Environ. Earth Sci. 2013, 70, 2753–2765. [Google Scholar] [CrossRef]
- Zhang, W.; Zhou, X.; Wei, W.; Cheng, X. Risk Assessment of Water Inrush in Tunnels: A Case Study of a Tunnel in Guangdong Province, China. Sustainability 2022, 14, 11443. [Google Scholar] [CrossRef]
- Ahmadi, F.; Eilbeigy, M. Evaluation of water source origin around Kerman tunnel, Iran: Water transfer tunnel path using 2H, 3H, 18O, and 34S isotopes. Arab. J. Geosci. 2021, 14, 993. [Google Scholar] [CrossRef]
- Yang, G.; Chen, C.; Gao, S.-L.; Feng, B. Study on the height of water flowing fractured zone based on analytic hierarchy process and fuzzy clustering analysis method. J. Min. Saf. Eng. 2015, 32, 206–212. [Google Scholar]
- Ma, D.; Duan, H.; Li, X.; Li, Z.; Zhou, Z.; Li, T. Effects of seepage-induced erosion on nonlinear hydraulic properties of broken red sandstones. Tunn. Undergr. Sp. Tech. 2019, 91, 102993. [Google Scholar] [CrossRef]
- Zhao, X.; Yang, X. Experimental study on water inflow characteristics of tunnel in the fault fracture zone. Arab. J. Geosci. 2019, 12, 399. [Google Scholar] [CrossRef]












| Sample | Sampling Locations | Redox Potential (mV) | pH | TDS (mg/L) | Conductivity (μs/cm) | Temperature (°C) |
|---|---|---|---|---|---|---|
| S1 | Walls at K91 + 210 | −62.2 | 8.51 | 112 | 174.7 | 23.5 |
| S2 | Walls at K91 + 273 | −16 | 6.85 | 127 | 199.1 | 23.9 |
| S3 | Walls at K91 + 300 | −15 | 6.75 | 128 | 199.8 | 24 |
| S4 | Walls at K91 + 310 | −47.6 | 7.9 | 129 | 201 | 23.7 |
| S5 | Walls at K91 + 314 | −35 | 7.49 | 127 | 197.9 | 23.9 |
| S6 | Top of tunnel at ZK94 + 299 | −43 | 7.73 | 117 | 182.8 | 23 |
| S7 | Top of tunnel at ZK94 + 250 | −98 | 8.68 | 120 | 188.8 | 23.7 |
| S8 | Top of tunnel at ZK94 + 245 | −130 | 9.15 | 99 | 154.9 | 23.8 |
| S9 | Walls at ZK94 + 188 | −153.3 | 9.63 | 122 | 189.6 | 23.7 |
| S10 | Walls at ZK94 + 198 | −105 | 8.7 | 123 | 192.2 | 24.9 |
| Methods | The Average Duration of Water Gushing (d) | ||||
|---|---|---|---|---|---|
| 150 | 200 | 250 | 300 | 350 | |
| Method of rainfall infiltration | 7701 | 10,268 | 12,836 | 15,403 | 17,456 |
| Method of the runoff module number of the groundwater | 5854 | 7805 | 9757 | 11,708 | 13,269 |
| Methodology of this article | 36,510 | 36,020 | 35,274 | 34,800 | 34,085 |
| Dynamic monitoring data | 38,198 | 36,174 | 35,231 | 34,736 | 33,578 |
Publisher’s Note: MDPI stays neutral with regard to jurisdictional claims in published maps and institutional affiliations. |
© 2022 by the authors. Licensee MDPI, Basel, Switzerland. This article is an open access article distributed under the terms and conditions of the Creative Commons Attribution (CC BY) license (https://creativecommons.org/licenses/by/4.0/).
Share and Cite
Zhang, W.; Zhou, X.; Wang, B.; Cheng, X.; Wei, W. Methodology for the Prediction of Water Gushing in Tunnels in Igneous Fracture Tectonic Zones: A Case Study of a Tunnel in Guangdong Province, China. Appl. Sci. 2022, 12, 10438. https://doi.org/10.3390/app122010438
Zhang W, Zhou X, Wang B, Cheng X, Wei W. Methodology for the Prediction of Water Gushing in Tunnels in Igneous Fracture Tectonic Zones: A Case Study of a Tunnel in Guangdong Province, China. Applied Sciences. 2022; 12(20):10438. https://doi.org/10.3390/app122010438
Chicago/Turabian StyleZhang, Weifeng, Xuemin Zhou, Baoyong Wang, Xiaoyong Cheng, and Wei Wei. 2022. "Methodology for the Prediction of Water Gushing in Tunnels in Igneous Fracture Tectonic Zones: A Case Study of a Tunnel in Guangdong Province, China" Applied Sciences 12, no. 20: 10438. https://doi.org/10.3390/app122010438
APA StyleZhang, W., Zhou, X., Wang, B., Cheng, X., & Wei, W. (2022). Methodology for the Prediction of Water Gushing in Tunnels in Igneous Fracture Tectonic Zones: A Case Study of a Tunnel in Guangdong Province, China. Applied Sciences, 12(20), 10438. https://doi.org/10.3390/app122010438
