Next Article in Journal
Discretization of the Urban and Non-Urban Shape: Unsupervised Machine Learning Techniques for Territorial Planning
Previous Article in Journal
Edge Intelligence Service Orchestration with Process Mining
 
 
Font Type:
Arial Georgia Verdana
Font Size:
Aa Aa Aa
Line Spacing:
Column Width:
Background:
Article

Methodology for the Prediction of Water Gushing in Tunnels in Igneous Fracture Tectonic Zones: A Case Study of a Tunnel in Guangdong Province, China

1
College of Water Conservancy and Civil Engineering, South China Agricultural University, Guangzhou 510642, China
2
College of Water Resources Science and Engineering, University of Zhengzhou, Zhengzhou 450001, China
3
Guangdong Communication Planning & Design Institute Group Co., Ltd., Guangzhou 510507, China
*
Author to whom correspondence should be addressed.
Appl. Sci. 2022, 12(20), 10438; https://doi.org/10.3390/app122010438
Submission received: 11 August 2022 / Revised: 29 September 2022 / Accepted: 14 October 2022 / Published: 16 October 2022
(This article belongs to the Topic Pipeline and Underground Space Technology)

Abstract

The disaster of water gushing is very liable to occur when tunnels are built in the water-rich fracture structures in igneous rock areas. Different sources of water gushing result in different sizes of disaster. The safety of human life and property are in danger. For the prediction of water gushing in tunnels, the fuzzy clustering method was used to determine the source of the water gushing in this paper. The problem of subjectivity in traditional identification methods was solved by this method. On the basis of the fuzzy clustering method, dynamically changing parameters of the effective radius of the water gushing were introduced and regressed with the dynamic monitoring data and the hydrogeological survey results in an improved method for predicting water gushing. Then, an improved method for predicting water gushing, considering the source, was proposed. A deep underground, extra-long tunnel under construction in the igneous region of southern China was used to verify the soundness of this improved method. Research results showed that the water gushing into the tunnel had a low correlation with surface water with a similarity index of λ m i n = 0.3967 in the results of the second test. The water came mainly from within the rock mass. The effective radius were jointly determined by the average thickness of the rock aquifer and water gushing time, together with a positive correlation. The period of water gushing was divided into three stages. The predictions had a good accuracy rate with an error of 10% or less. These results could provide a reference and theoretical support for site construction.

1. Introduction

Mountain tunnels often have to cross fracture zones and karst areas, where undesirable geological bodies are hidden and construction conditions in mountainous areas are far more complex than those in urban areas [1]. During construction, the site is frequently exposed to hazards, such as water gushing [2,3]. In particular, when deeply buried tunnels cross water-rich fracture zones, large amounts of high-pressure groundwater will rush into the tunnel through the fracture zones in a short period of time. The lives and property of workers will be at risk [4], and the local ecology will be negatively affected [5,6,7].
Aiming at the problem of water gushing caused by water-rich fracture tectonic zones, scholars have carried out various types of approaches to model predictions for tunnels [1,8,9,10]. Zhang et al. [11] believed that the dynamic characteristics of groundwater can be replicated by in-situ monitoring and numerical simulation to predict tunnel gushing. Sun et al. [12] analysed the formation and evolution of water gushing channels on deeply buried faults using Comsol software, which has positive implications for the prediction of water gushing on faults. Li et al. [13] applied numerical simulations to show the characteristics of water gushing in the excavation phase based on electromagnetic geophysical prospecting. Based on the Darcy–Brinkman flow equation, Wu et al. [14] explores the behaviour of groundwater flow in faults to obtain the evolution of pore pressure and flow velocity at different locations, which provides a reference for the prediction of water gushing in fractured tectonic zones. In addition, it is important to determine the source of water in the process of predicting the amount of water gushing [15,16]. This supports engineers in predicting the size of the water gushing. The fuzzy clustering method and the hydro-geochemistry method could also be used to identify the source of water gushing, even though they were more commonly employed for groundwater quality monitoring, such as the work performed in reference [17]. Wang et al. [18], Chen et al. [19], and others analysed the data from the above method and identified the source of water gushing in subterranean space. Kang et al. [20] applied a fuzzy clustering method and the hydro-geochemistry method to identify the source of water gushing and provide data support for the prediction of water gushing.
In general, various new methods for the prediction of water gushing have progressed considerably in terms of depth of research, but not enough attention has been paid to the identification of sources of water gushing. In practice, the fuzzy clustering method and the hydro-geochemistry method are rarely used in combination to identify the source of water gushing. The results derived from the hydro-geochemistry method rely more on the experience of the engineers to analyse and judge, and do not apply the fuzzy clustering method scientifically. Meanwhile, less research has been carried out on areas of fractured tectonic zones with developing groundwater in igneous rocks, which are hard and stable [21,22] and, as such, are often considered ideal areas for underground construction. At this stage, the applicability of the new methods is limited by the limitations and complexity of geological investigation techniques [23,24]. Indeed, there are fewer theoretical studies on bedrock fracture water flow in deep alpine layers, fewer hydrogeological tests conducted in the field [25], and the high cost of trials is an obstacle to their application. In addition, engineers prefer to apply traditional methods of prediction, in which the effective radius of the water gushing is regarded as a fixed value by traditional methods and the flow field in the tunnel site area is also simplified in general terms. Admittedly, they are intuitive and simple, but large deviations are often found. Similarly, the identification of the source of water gushing is mainly dependent on the analysis of geological survey data by experienced engineering personnel in the traditional approach. The process is highly subjective and poorly suited to complex processes [26]. Survey data from construction sites should be analysed using more scientific and effective methods.
Hence, the method used in this study improves on them for the prediction of water gushing in the tunnel to make up for their shortcomings. Ultimately, there is a more accurate set of methods for water gushing in deep underground, extra-long tunnels in igneous areas. In this study, the improved method could meet the needs of the project. The analysis of the sources had been given more emphasis, as well as the complex aquifer structure, which could be simplified to some extent. A deep underground, extra-long tunnel under construction in an igneous region of southern China was used as the research object. With the help of the hydrogeological survey results of the water-rich fracture zone in the pre-construction period and the monitoring data of water gushing in the excavation period, the fuzzy clustering method was used to determine the source of water gushing. The water gushing caused a strong drop in groundwater level in the tunnel site area. By analysing the characteristics of water gushing within a rainfall cycle, the pattern of change in the effective radius of the groundwater fall funnel could be investigated. Based on curve-fitting means, a predictive model can be constructed for the amount of water that can be predicted in a tunnel project across a fracture zone. Some of the references are provided by the above model for subsequent works of the same type.

2. Fuzzy Clustering Method

A fuzzy matrix is constructed by the fuzzy clustering method based on the structure and changing characteristics of the data, and they are classified and divided according to the transfer closure method. A finite theoretical domain U with n samples and a fuzzy assessment set V with m assessment values are assumed. Here, U and V can be expressed by Equations (1) and (2) [27,28], as follows:
U = { u 1 , u 2 , , u n } ,
V = { v 1 , v 2 , , v m } .
The original data matrix Z is built up according to U and V. Here, Z is defined as follows:
Z = ( z 11 z 1 m z n 1 z n m ) ,
where z n m is the value of the m-th assessment indicator for the n-th sample. Based on the raw data obtained, the three steps of the fuzzy clustering method are executed as follows:
Step 1. Standardisation of the original data matrix Z. The original data matrix Z was standardised by the following Equation (4):
z i k = z i k 1 n i = 1 n z i k 1 n i = 1 n ( z i k 1 n i = 1 n z i k ) 2 ,
and the following Equation (5) [29,30]:
z i k = z i k m i n   z i k m a x   z i k m i n   z i k .
The standardisation matrix Z was obtained, which could be expressed as follows:
Z = ( z 11 z 1 n z m 1 z m n ) ;   ( i = 1 , 2 , , n ; k = 1 , 2 , , m ) .
Step 2. Construction of fuzzy similarity matrix. The fuzzy similarity matrix C = [ c i j ] n m was obtained from the above Z using the following Equation (7):
{ c i j = 1 k = 1 m | z i k   z j k | c i j = c j i c ii = 1 .
According to the squared self-synthesis method, the matrix C was squared by the following:
{ C σ C σ = C 2 σ ( σ = 1 , 2 , ) c 2 i j = k = 1 m ( c i k c j k ) .
to obtain the fuzzy equivalence matrix C * = [ c i j * ] n m , where k = 1 m represented the selection of the item with the largest value among the m numbers; ∧ represented the selection of the one with the smallest value among the m numbers; σ was a natural number. When C 2 k = C 2 ( k + 1 ) , C 2 k was already transmissible, at which point C * = t ( C ) = C 2 k was satisfied. Then, the fuzzy equivalence matrix C was identified.
Step 3. Cluster analysis. There existed a similarity index λ as a threshold for sample similarity classification, by which the samples could be classified into several classes.
The classification criteria in this paper were simplified based on the criteria proposed by Yang et al. [31]. When λ [ 0 , 1 ] , the value of λ would directly affect the accuracy of the classification. If λ > 0.6 , the samples were considered correlated. Furthermore, if 0.3 λ 0.6 , they were considered to be weakly correlated with each other. Then, if λ < 0.3 , they were considered uncorrelated.

3. Prediction of Water Gushing in Tunnels

When tunnels are built through the water-rich fracture structures in igneous rock areas, the amount of water gushing in tunnels will occur in each day of excavation. If the effects of the unexcavated section of the tunnel far from the tunnel face are always taken into account in the calculations, that will cause large calculation errors in the prediction of water gushing. At this point, the combined effect of the areas of water-rich fault fracture zones and construction factors should be considered. The constructed tunnel sections and those, where the aquifer is disturbed, are segmented for the prediction of water gushing [7]. The tunnel is divided into N sections, and the daily excavation gushing can be set as Q. The calculation formula is given in Equation (9), as follows:
Q = n = 1 N Q n .
The water gushing in the tunnel is generally derived into two major parts. One is from water released from bedrock fracture water, and the other is from the infiltration of rainfall. They are expressed with reference to Equation (10), as follows:
Q = W n ( 1 ) + W n ( 2 ) ,
where Q n is the total water gushing in the n-th section of the tunnel, m3/d; N is the total number of sections of tunnel that have been constructed in a given period and in which the aquifer has been disturbed; W n ( 1 ) is the amount of water released from bedrock fractures, m3/d; W n ( 2 ) is the amount of rainfall infiltration, m3/d. An example of a tunnel section division is shown in Figure 1.
When all the water is released from the bedrock fractures, W n ( 2 ) = 0 . Conversely, when the water is infiltrated by rainfall, W n ( 1 ) = 0 . If both of these are deemed to exist, W n ( 1 ) and W n ( 2 ) continue to be determined in the following manner.
With a well-developed fracture network and good permeability, the aquifer in the tunnel site area is large in scale, and the storage capacity of water from bedrock fracture is huge. The water released from bedrock fracture can be calculated by the groundwater drainage method. It can be expressed as W n ( 1 ) , which is calculated by the following Equation (11) [32,33]:
W n ( 1 ) = μ L n H n R n T ,
where μ is the specific yield of rock; Ln is the length of the n-th segment, m; Hn is the average thickness of the aquifer above the n-th tunnel section, m; Rn is the n-th section of effective radius of water gushing, m; T is the duration of the water gushing, d.
Additionally, the replenishment of groundwater in the tunnel site area by rainfall should not be overlooked. Water on the surface will infiltrate into the bedrock along weathered rock layers and fault fracture zones [34,35]. With regard to the infiltration of rainfall, the effect of rainfall on water gushing can be represented by the following equations:
W n ( 2 ) = 0.00274 α h S ,
S = 2 L n R n ,
where α is the coefficient of infiltration; h is the average annual rainfall, m; S is the catchment area, m2.
In the previous method of rainfall infiltration, a fixed catchment area is used to calculate the amount of water gushing in the tunnel, which was expressed as the effective radius of water gushing and the length of the tunnel construction. With a fixed total tunnel length, the accuracy of Rn will directly affect the accuracy of Q. However, complex changes will arise in the groundwater seepage field during the long-term construction process. As a result, Rn is constantly changing. The parameter μ is a characteristic parameter of the rock mass and Ln is a characteristic parameter of the tunnel. Both of them are relatively stable. The two parameters Hn and T are, therefore, used to reflect the evolution of Rn, as follows:
R n = R ( T , H n ) .
For the purpose of this study, the principles of the water equilibrium method are followed. The study area is assumed to be as follows:
  • There is no change in the specific yield of rock above the tunnel, and groundwater is continuously replenished into the rock along the fracture structure;
  • There is no change in the hydraulic connection between the rock aquifers in the tunnel site area for a certain period of time. It is only related to the inherent geological structure, but the tectonic fissures can still change in the case of prolonged groundwater flow;
  • There is no abrupt change in the groundwater head in the tunnel site area within a certain period of time, and it is in a basically stable state;
  • The tunnel is not directly affected by the water system and bedrock fissure water below the elevation where the tunnel is located;
  • Due to the presence of tectonic fissures, the hydraulic connection between neighbouring rock masses is kept stable and, at the same time, they interact with each other. The Rn between adjacent rock sections is slowly changing in a gradient.

4. Case Study

4.1. Background

The highway tunnel under construction studied in this paper is located in Guangdong Province in southern China. It is over 6300 m long and has a maximum depth of 740 m. The tunnel site area is located in a tectonic uplift erosion and denudation low mountain landscape. The stratigraphic lithology of the tunnel site area is mainly Jurassic felsic tuff, Jurassic andesite, and Yanshanian granite. The stratigraphy ranges from new to old, as follows: the Quaternary Pleistocene alluvium (Q4al+pl), the Quaternary deluvial soils and eluvial soils (Qdl+el), and the Upper Jurassic Gaojiiping group (J2+3gjb), etc. The site area is influenced by the Lotus Mountain deep rift zone. The tunnel crossed a zone of fracture tectonic development with secondary fractures and joints. The rock in the tunnel site area is fractured, which is shown in Figure 2 [36].
The local water resources are abundant, with an average annual rainfall of 1865.6 mm. The results of the hydrogeological survey show that the groundwater in the tunnel site area is mainly supplemented by rainfall. The groundwater types are divided into loose rock pore water and bedrock fracture water. During the construction, a large amount of high-pressure water gushing poured into the tunnel and threatened construction safety, as shown in Figure 3.

4.2. Fuzzy Clustering Method for Identification of the Source of Water Gushing

Due to the high pressure and high flow of water gushing in the excavation phase of the tunnel, the source of water gushing in the tunnel needs to be understood urgently. It is important that the source of water gushing is accurately identified for predicting the amount of water gushing. Data from water samples can be analysed and processed efficiently by fuzzy clustering methods. Samples with a high degree of similarity between them will be classified into one category. These samples from around and inside the tunnel will be differentiated as to whether they originate from the same source. The igneous rocks are relatively rich in minerals. The physicochemical properties of the samples can be derived from tests. The relationship between the samples inside and around the tunnel can be determined with the use of fuzzy clustering analysis [37]. During construction, 14 water samples were taken for testing indoors and analysis, including 10 samples of water gushing in the tunnel for the first time, as well as 4 samples of surface water in the tunnel site area for the second time. The specific implementation steps of this study are as follows:
Step 1. Ten samples of water gushing were analysed by the hydro-geochemistry method. Testing indicators included redox potential, pH, TDS content, conductivity, and water temperature (sample water temperature was measured during field sampling). There were also quantitative elemental characteristics, such as Cl, SO42−, HCO3, Ca2+, K+, Mg2+, and Na+. Some test results for the 10 samples from the tunnel are shown in Table 1.
Step 2. The test results were classified using the fuzzy clustering method. The data in Table 1 was initially processed by Equations (1) and (5) to obtain Z 1 , as expressed in the following Equation (15):
Z 1 = [ 0.659 0.611 0.433 0.430 0.263 0.993 0.035 0.933 0.959 0.474 1.000 0.000 0.967 0.974 0.526 0.764 0.399 1.000 1.000 0.368 0.855 0.257 0.933 0.933 0.474 0.798 0.340 0.600 0.605 0.000 0.400 0.670 0.700 0.735 0.368 0.168 0.833 0.000 0.000 0.421 0.000 1.000 0.767 0.753 0.368 0.349 0.677 0.800 0.809 1.000 ] .
Step 3. According to Equation (7) to Equation (8), Z 1 was processed for the first time to give the original matrix C 1 , which was shown in the following Equation (16):
C 1 = [ 1.0000 0.5880 0.5641 0.6551 0.6556 0.8083 0.7974 0.6616 0.6322 0.6081 0.5880 1.0000 0.9701 0.8164 0.8928 0.6859 0.6190 0.2800 0.4228 0.5634 0.5641 0.9701 1.0000 0.7993 0.9100 0.7252 0.7324 0.5692 0.5503 0.6761 0.6551 0.8164 0.7993 1.0000 0.9100 0.7243 0.7530 0.3486 0.5796 0.6524 0.6556 0.8928 0.9100 0.9100 1.0000 0.7252 0.7164 0.3483 0.5248 0.6482 0.8083 0.6859 0.7252 0.7243 0.7252 1.0000 0.7324 0.4930 0.5424 0.5176 0.7974 0.6190 0.7324 0.7530 0.7164 0.7324 1.0000 0.5692 0.7865 0.7364 0.6616 0.2800 0.5692 0.3486 0.3483 0.4930 0.5692 1.0000 0.5503 0.4698 0.6322 0.4228 0.5503 0.5796 0.5248 0.5424 0.7865 0.5503 1.0000 0.6761 0.6081 0.5634 0.6761 0.6524 0.6482 0.5176 0.7364 0.4698 0.6761 1.0000 ] .
The transitive closure t ( C 1 ) = C 1 4 = C 1 8 could be found for the 4-th time. Then, t ( C 1 ) was given in Equation (17), as follows:
t ( C 1 ) = C 1 4 = C 1 8 = [ 1.0000 0.7530 0.7530 0.7530 0.7530 0.8083 0.7974 0.6616 0.7865 0.7364 0.7530 1.0000 0.9701 0.9100 0.9100 0.7530 0.7530 0.6616 0.7530 0.7364 0.7530 0.9701 1.0000 0.9100 0.9100 0.7530 0.7530 0.6616 0.7530 0.7364 0.7530 0.9100 0.9100 1.0000 0.9100 0.7530 0.7530 0.6616 0.7530 0.7364 0.7530 0.9100 0.9100 0.9100 1.0000 0.7530 0.7530 0.6616 0.7530 0.7364 0.8083 0.7530 0.7530 0.7530 0.7530 1.0000 0.7974 0.6616 0.7865 0.7364 0.7974 0.7530 0.7530 0.7530 0.7530 0.7974 1.0000 0.6616 0.7865 0.7364 0.6616 0.6616 0.6616 0.6616 0.6616 0.6616 0.6616 1.0000 0.6616 0.6616 0.7865 0.7530 0.7530 0.7530 0.7530 0.7865 0.7865 0.6616 1.0000 0.7364 0.7364 0.7364 0.7364 0.7364 0.7364 0.7364 0.7364 0.6616 0.7364 1.0000 ]
Yang et al. [38] set λ = 0.6173 for the classification of hydraulic fissures. Referring to Section 2 for the definition of λ , it was more reasonable to set the optimal classification threshold of λ = 0.6616 in this paper. The classification results were shown in Figure 4.
From Figure 4, the following can be seen: λ m i n > 0.6 , the ten samples in the tunnel were relevant, according to Section 2. When λ = 0.6616 , the 10 water samples from the gushing in the tunnel could be classified into the same category. This result indicated that the 10 water samples in the tunnel were similar and that they originated from the same source.
For comparison with four samples from around the tunnel, samples S1 and S10 were selected to further analyse whether the water gushing in the tunnel originated from the surface water system. For the second time, four samples of surface water in the tunnel site area were taken for analysis and compared with samples S1 and S10. Repeating the above three steps, the samples were characterised for their elemental content of Cl, SO42−, HCO3, Ca2+, K+, Mg2+, and Na+. The test results are shown in Appendix A. Similarly, Z 2 was obtained by preliminary processing of the data in Appendix A through Equation (1) to Equation (5). It was represented as follows:
Z 2 = [ 0.898 0.905 0.908 0.269 1.000 1.000 1.000 1.000 0.919 0.536 1.000 1.000 1.000 0.077 0.505 1.000 0.917 0.178 1.000 1.000 0.583 0.054 0.042 0.000 0.001 0.035 0.008 0.000 0.000 0.243 0.417 0.239 0.185 0.385 0.271 0.255 0.223 0.368 0.475 0.160 0.000 0.000 0.000 1.000 0.030 0.000 0.000 0.196 0.071 0.000 0.032 0.016 0.013 0.462 0.000 0.005 0.001 0.258 0.061 0.062 ] .
Furthermore, the raw matrix C2 was represented as follows:
C 2 = [ 1.0000 0.6515 0.1944 0.3967 0.1295 0.1707 0.6515 1.0000 0.2510 0.3846 0.1178 0.1706 0.1944 0.2510 1.0000 0.7234 0.6194 0.7506 0.3967 0.3846 0.7234 1.0000 0.6783 0.7527 0.1295 0.1178 0.6194 0.6783 1.0000 0.8268 0.1707 0.1706 0.7506 0.7527 0.8268 1.0000 ] .
The transitive closure t ( C 2 ) = C 2 4 = C 2 8 was found for the 4-th time, which was shown as follows:
t ( C 2 ) = C 2 4 = C 2 8 = [ 1.0000 0.6515 0.3967 0.3967 0.3967 0.3967 0.6515 1.0000 0.3967 0.3967 0.3967 0.3967 0.3967 0.3967 1.0000 0.7506 0.7506 0.7506 0.3967 0.3967 0.7506 1.0000 0.7527 0.7527 0.3967 0.3967 0.7506 0.7527 1.0000 0.8268 0.3967 0.3967 0.7506 0.7527 0.8268 1.0000 ]
The optimal classification threshold λ was set at 0.6515 and the classification results were shown in Figure 5.
From Figure 5, it could be seen that 0.3 < λ m i n < 0.6 , so there was a weak correlation between the samples inside (S1 and S10) and outside (S11~S14) the tunnel, according to Section 2. As already mentioned in the previous section, samples S1 and S10 had been classified as one. When λ = 0.6515 , the samples could be classified into two categories. The new samples S11, S12, S13, and S14 were grouped together as a new category, and the S1 and S10 were grouped in the other category. According to the fuzzy clustering method, the results of analysis showed that there was a certain difference in the physicochemical composition between the samples from the tunnel and the water system outside. In the early stages of tunnel construction excavation, the water gushing into the tunnel was mainly derived from water in the bedrock fracture, partly from surface infiltration of precipitation.

4.3. Prediction of Water Gushing Based on the Effective Radius of the Dynamic

According to Section 3, water gushing in the tunnel under construction is mainly from the water inside the bedrock fracture. Due to the time span of the construction process, the infiltration of rainfall will have a non-negligible effect on groundwater replenishment. Therefore, in this section the monitoring data for the amount of water gushing will be substituted into Equation (9) to Equation (14) for regression analysis. The expression for Rn is obtained, and then the tunnel gushing calculation equation can be derived.

4.3.1. Defining Parameters

The tunnel was divided into several calculation sections based on the characteristics of the water-bearing medium, the nature of the surrounding rock, the grade of the surrounding rock, the crossing of the fracture zone, the width and inclination of the fracture zone, as well as the construction schedule of the different surrounding rocks in the tunnel. The excavated and rock-disturbed part of the right tunnel were divided along the line into N sections, each with a length Ln of 10 m to 110 m. As the tunnel was excavated, N would continue to increase. Eventually the total length of the N segments would be equal to the actual length of the tunnel excavation. The amount of water gushing was recorded daily at the inlet of the right tunnel. The time was calculated from the first water gushing in the tunnel. The five study nodes were set as follows: ①T = 150 d, N = 23; ②T = 200 d, N = 24; ③T = 250 d, N = 25; ④T = 300 d, N = 26; ⑤T = 350 d, N = 27.
According to the data from the engineering geological survey, the specific selection parameters for each section were shown in Figure 6. The selection of parameters for each segment was described as follows.
The average thickness of the aquifers in each segment ranged from 11 m to 587 m. The specific yields of rock in each study section were from 0.001 to 0.025. The rainfall infiltration coefficients for weathered rock layers on the mountain surface were from 0.2 to 0.3. The average annual rainfall in the tunnel site area was 1865.6 mm.

4.3.2. Effective Radius of the Dynamic

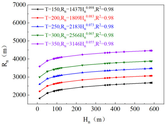
Substituting the recorded data into Equation (9) to Equation (13), the variation pattern of the Rn corresponding to each segment was obtained, as shown in Figure 7.
As can be seen from Figure 7, Rn increased as T and Hn increased. The rate of increase of Rn was decreasing with an overall non-linear increase. In order to reflect the mathematical relationship better between the above three factors, a power function model was chosen for the regression analysis of Rn and Hn, with the condition of a defined duration of water gushing T. Here, Rn could be set as follows:
R n = a ( H n ) b .
The regression results of Equation (21) were shown in Figure 8. In order to present the relationship better between Rn, T, and Hn through mathematical expressions, power function representations and quadratic equations were used to represent the parameters a and b. At this point, they could be set as follows:
R n = R ( T , H n ) = a 1 T b 1 H n a 2 T 2 + b 2 T + c 2 .
Based on the data in Figure 8, Equation (23) was derived by regression, as follows:
{ a 1 = 12.16 b 1 = 0.94 , R 2 = 0.99 { a 2 = 4.63 × 10 7 b 2 = 4.32 × 10 4 c 2 = 0.15 , R 2 = 0.99 .
Additionally, Equation (22) could be set as follows:
R n = R ( T , H n ) = 12.16 T 0.9 H n 4.63 × 10 7 T 2 4.32 × 10 4 T + 0.15 , ( T 350 ) .
The relationship between Rn, T, and Hn was reflected by Equation (24). As the storage of water from bedrock fractures was limited, Rn did not increase indefinitely. Additionally, Equation (24) was used to calculate Rn only for one rainfall cycle after the occurrence of the water gushing. Equation (24) was substituted into Equation (9) to (13) and simplified to obtain Equation (25), as follows:
Q = n = 1 N ( W n ( 1 ) + W n ( 2 ) ) = n = 1 N ( 12.16 μ H n T 0.1 + 0.06576 α h T 0.9 ) L n × H n 4.63 × 10 7 T 2 4.32 × 10 4 T + 0.15 .
The results of calculation, derived from Equation (25), were shown in Figure 9 as a comparison with dynamic monitoring data.
From Figure 9, it can be seen that the front end of the curve had a plummeting trend, with a relatively flat middle and a slight rise at the end. According to the amount of water gushing, the period of water gushing could be divided into three stages. The first stage was a time period of 1 to 6 days, and the stage had a negative growth rate of greater than 10% for a single day. The second stage was 7 to 170 days into a period of larger water gushing, with a negative growth rate of less than 10% in single day of water gushing. The third stage was 170 days after. This stage of water gushing increased very slowly, with a positive single day growth rate of greater than 0.01%.

4.4. Discussion

The results based on the source of the water showed that the water gushing was released primarily from bedrock fractures, but was still weakly influenced by the surface water system. From Figure 9, it was seen that the curve was abrupt and starts with a large value in the first stage. This was the stage where the bedrock fracture water continued to gush into the tunnel in large quantities in a short period of time. The site conditions were consistent with those expressed at this stage.
The second stage curve was smooth. It showed that the bedrock fracture water above the tunnel site area was reduced at this time. Bedrock fracture water and infiltrated rainfall from the adjacent areas of the tunnel site were continuously replenished into the rock above the tunnel site along the fracture structure. The site conditions were also consistent with those expressed at this stage.
In the third stage, the curve was slowly increasing, which reflected the fact that the water gushing in the tunnel at this stage were influenced by factors, such as rainfall and changes in tectonic fissures. Comparing the left and right halves of Equation (23), the following was obtained:
W n ( 1 ) W n ( 2 ) = 12.16 μ H n 0.06576 α h T .
Although it was assumed in this paper that the variation in H was negligible to represent the strong water transport capacity of the bedrock, H should in practice be decreasing as T increases. Hence, Equation (24) should be constantly converging to zero with the rest of parameters remaining constant.
Overall, the impact of water from the bedrock fracture on the water gushing would become smaller with the increase in the duration of the water gushing, and the impact of the infiltration of water from the surface would become greater. The error between the calculated results and the actual monitoring values was within 10%, except for the 1–6 days, when the error in the calculated results ranged from 10% to 20%. In the study of the erosion and seepage process of the surrounding rock and the characteristics of the water intake of the fault fracture zone, other scholars also adopted a three- or four-stage model to use in the study [39,40]. Therefore, it was reasonable to divide the period of water gushing into three stages in this study.
Meanwhile, the method of rainfall infiltration and method of the runoff module number of the groundwater were applied for comparison with the methodology of this article. As their approach to prediction differed from the method in this study, some of the results with an average duration of 150 d, 200 d, 250 d, 300 d, and 350 d for predicted water gushing from the hydrogeological investigation phase of this project were selected for comparison, which were shown in Table 2.
From Table 2, it could be seen that the results from the methodology of this article were closer to the dynamic monitoring data, while the other methods had very different results. It was worth noting that method of rainfall infiltration and method of the runoff module number of the groundwater were not sufficiently concerned with the static water from the bedrock fracture in the prediction of water gushing, and they focused more on rainfall and surface water recharge to groundwater. That was the main cause of the error. On the other hand, the catchment area was not expressed by a fixed value when predicting water gushing. It was related to the changes in the average thickness of the aquifer and the duration of the water gushing. This was another cause of error. In contrast, the approach in this paper was more concerned with the water from the bedrock fracture. The fuzzy clustering method was used to monitor the release of water from the bedrock fracture and the infiltration of rainfall for replenishment. The dynamic effective radius of water gushing was applied to reflect the changes in catchment area, which was why it had fewer errors.

4.5. Subsequent On-Site Validation

As a further test of the accuracy of Equation (25), the subsequent construction section K91 + 700 to K91 + 950 of the tunnel was selected. The total length of this tunnel section was 250 m, with a total of 42 days of construction excavation. It was influenced by the tensor fault F2-6, which was given in Figure 10.
The average thickness of the aquifer Hn in the water-rich fault fracture zone was approximately 587 m. The surface of the mountain was a weathered layer of andesite with a precipitation infiltration coefficient of 0.25 to 0.3. The 250 m long section was divided into six successive sections from A to F with a difference gradient of 0.0005 based on the difference in rock feed. During construction, the timing of water gushing was recorded for each section. The effects of the amount of water seepage from adjacent tunnel sections were ignored. The specific parameters were detailed in Figure 11.
The parameters in Figure 11 were substituted into Equation (24) for the calculation. The value of the variation of Rn with T for this construction section was obtained. The calculations of Rn at each time point were substituted into Equation (25), and the calculated value of water gushing from the section K91 + 700 to K91 + 950 was obtained. The calculated results were compared with the dynamic monitoring values, which were shown in Figure 12.
As can be seen in Figure 12, the trend between the calculated value curve and the dynamic monitoring data curve was generally consistent. Both of them decreased when the time increased. The calculated value of water gushing within one to six days was slightly greater than the actual monitored value, with an average error of 7%. Some fluctuations in the results of dynamic monitoring occurred between days 7 and 42. Overall the calculated values were relatively close to the recorded values. The maximum error was less than 5%.

5. Conclusions

  • The introduction of fuzzy clustering method ensured that the water gushing source in the igneous rock area could be effectively identified. The similarity index of λmin = 0.3967 indicated that the water gushing out of the tunnel had a low correlation with the surface water. They came mainly from within the rock mass. The collection of water samples should accompany the whole process of tunnel excavation. This is important for the dynamic prediction of tunnel excavation water gushing.
  • A new and more accurate method has been proposed and restructured to dynamically predict the water gushing in deep underground, extra-long tunnels in igneous areas. The overall error in prediction results was less than 10%, which was more accurate compared to the method of rainfall infiltration and the method of the runoff module number of the groundwater. Moreover, the supplementation of bedrock fracture water by precipitation should not be neglected.
  • By means of the results of the dynamic data, the effective radius of water gushing during a rainfall cycle was positively correlated with the average thickness of the aquifer in the rock formation. When a tunnel was built in a fracture zone, it should be considered to cross a mountain with a small average thickness of aquifer or to reduce the depth of burial as much as possible. As a result, the risk of water gushing was reduced.
  • The period of water gushing was divided into three stages in this study. According to the improved method for prediction of water gushing, the impact of the water from the bedrock fracture on the water gushing would become smaller with the increase in the duration of the water gushing, and the impact of the infiltration of water from the surface would become greater.

Author Contributions

W.Z. contribution was is data collection and collation, and proposed the research ideas and methodology for the first draft. X.Z. and B.W. completed the first draft under the guidance of W.Z. and W.W. W.W. suggested changes to the thesis and was responsible for all expenses. X.C. was responsible for the monitoring and recording of field data. All authors have read and agreed to the published version of the manuscript.

Funding

This work was supported by Project of Guangdong Water Resources Department: Experimental and Applied Research on the Durability of Concrete under Marine Erosion Environment (2015K23), Water Resources Science and Technology Tackling Project of Guangdong Province: Study on the Suitability of RSM Geotechnical Consolidation Agent for Seawall Reinforcement Project (2015-16), the Regulations Preparation Project of the Ministry of Transport of the People’s Republic of China, “Regulations for Hydrogeological Investigation of Highway Cross-Ridge Tunnels” (CECS G-2019-1-008), Science and Technology Innovation Project ((2021) R&D YF-014, YF-015) of Guangdong Communication Planning & Design Institute Group Co., Ltd., Supported by Guangdong Provincial Student Innovation Project (S202110564060).

Institutional Review Board Statement

Not applicable.

Informed Consent Statement

Not applicable.

Data Availability Statement

Not applicable.

Conflicts of Interest

The authors declare no conflict of interest.

Appendix A. Characteristics of the Macronutrient Ion Content of the Six Water Samples

SamplesSampling LocationsPHConductivityTDSClSO42−HCO3
(μs/cm)(mg/L)(mg/L)(mg/L)(mg/L)
S1Walls at K91 + 2108.51174.71124.7410.59128.14
S10Walls at ZK94 + 1988.7192.21234.697.27128.14
S11River 2.1 km left of tunnel ZK92 + 8007.921894.673.8922.51
S12River 300 m left of tunnel K90 + 2207.6152264.775.746.61
S13The reservoir above the tunnel6.83844.934.0818.72
S14River at tunnel K92 + 5006.89115.54.793.8819.31

References

  1. Li, X.; Zhang, P.; He, Z.; Huang, Z.; Cheng, M.; Guo, L. Identification of geological structure which induced heavy water and mud inrush in tunnel excavation: A case study on Lingjiao tunnel. Tunn. Undergr. Sp. Tech. 2017, 69, 203–208. [Google Scholar] [CrossRef]
  2. Nikvar Hassani, A.; Katibeh, H.; Farhadian, H. Numerical analysis of steady-state groundwater inflow into Tabriz line 2 metro tunnel, northwestern Iran, with special consideration of model dimensions. B Eng. Geol. Environ. 2016, 75, 1617–1627. [Google Scholar] [CrossRef]
  3. Liu, J.; Chen, W.; Yuan, J.; Li, C.; Zhang, Q.; Li, X. Groundwater control and curtain grouting for tunnel construction in completely weathered granite. B Eng. Geol. Environ. 2018, 77, 515–531. [Google Scholar] [CrossRef]
  4. Shi, S.; Xie, X.; Wen, Z.; Zhou, Z.; Li, L.; Song, S.; Wu, Z. Intelligent Evaluation System of Water Inrush in Roadway (Tunnel) and Its Application. Water 2018, 10, 997. [Google Scholar] [CrossRef]
  5. Golian, M.; Katibeh, H.; Singh, V.P.; Ostad-Ali-Askari, K.; Rostami, H.T. Prediction of tunnelling impact on flow rates of adjacent extraction water wells. Q. J. Eng. Geol. Hydrogeol. 2019, 53, 236–251. [Google Scholar] [CrossRef]
  6. Li, X.; Li, Y.; Chang, C.; Tan, B.; Chen, Z.; Sege, J.; Wang, C.; Rubin, Y. Stochastic, goal-oriented rapid impact modeling of uncertainty and environmental impacts in poorly-sampled sites using ex-situ priors. Adv. Water Resour. 2018, 111, 174–191. [Google Scholar] [CrossRef]
  7. Gokdemir, C.; Li, Y.; Rubin, Y.; Li, X. Stochastic modeling of groundwater drawdown response induced by tunnel drainage. Eng. Geol. 2022, 297, 106529. [Google Scholar] [CrossRef]
  8. El Tani, M. Helmholtz evolution of a semi-infinite aquifer drained by a circular tunnel. Tunn. Undergr. Sp. Tech. 2010, 25, 54–62. [Google Scholar] [CrossRef]
  9. Niu, F.; Cai, Y.; Liao, H.; Li, J.; Tang, K.; Wang, Q.; Wang, Z.; Liu, D.; Liu, T.; Liu, C.; et al. Unfavorable Geology and Mitigation Measures for Water Inrush Hazard during Subsea Tunnel Construction: A Global Review. Water 2022, 14, 1592. [Google Scholar] [CrossRef]
  10. Liu, J.; Li, Z.; Zhang, X.; Weng, X. Analysis of Water and Mud Inrush in Tunnel Fault Fracture Zone—A Case Study of Yonglian Tunnel. Sustainability 2021, 13, 9585. [Google Scholar] [CrossRef]
  11. Zhang, Z.; Xu, P.; Zhang, H.; Zhang, K. Dynamic Change Characteristics of Groundwater Affected by Super-Long Tunnel Construction in the Western Mountainous Area of China. Sustainability 2019, 11, 2329. [Google Scholar] [CrossRef]
  12. Sun, W.; Xue, Y.; Li, T.; Liu, W. Multi-field Coupling of Water Inrush Channel Formation in a Deep Mine with a Buried Fault. Mine Water Environ. 2019, 38, 528–535. [Google Scholar] [CrossRef]
  13. Li, G.; Ma, W.; Tian, S.; Hongbo, Z.; Huabin, F.; Zou, W. Groundwater Inrush Control and Parameters Optimization of Curtain Grouting Reinforcement for the Jingzhai Tunnel. Geofluids 2021, 2021, 6634513. [Google Scholar] [CrossRef]
  14. Wu, J.; Wang, X.; Wu, L.; Lu, Y.; Han, Y. Parametric Study of Water Inrush in a Tunnel Crossing a Fault Based on the “Three Zones” Fault Structure. KSCE J. Civ. Eng. 2022, 26, 3600–3619. [Google Scholar] [CrossRef]
  15. Gu, H.; Ma, F.; Guo, J.; Li, K.; Lu, R. Hydrochemistry, multidimensional statistics, and rock mechanics investigations for Sanshandao Gold Mine, China. Arab. J. Geosci. 2017, 10, 62. [Google Scholar] [CrossRef]
  16. Yin, H.; Zhao, H.; Xie, D.; Sang, S.; Shi, Y.; Tian, M. Mechanism of mine water inrush from overlying porous aquifer in Quaternary: A case study in Xinhe Coal Mine of Shandong Province, China. Arab. J. Geosci. 2019, 12, 163. [Google Scholar] [CrossRef]
  17. Saberinasr, A.; Morsali, M.; Hashemnejad, A.; Hassanpour, J. Determining the origin of groundwater elements using hydrochemical data (case study: Kerman water conveyance tunnel). Environ. Earth Sci. 2019, 78, 198. [Google Scholar] [CrossRef]
  18. Wang, Y.; Zhou, M.-r.; Yan, P.-c.; He, C.-y.; Liu, D. Identification of Coalmine Water Inrush Source with PCA-BP Model Based on Laser-Induced Fluorescence Technology. Spectrosc. Spect. Anal. 2017, 37, 978–983. [Google Scholar]
  19. Chen, Y.; Zhu, S.; Xiao, S. Discussion on controlling factors of hydrogeochemistry and hydraulic connections of groundwater in different mining districts. Nat. Hazards 2019, 99, 689–704. [Google Scholar] [CrossRef]
  20. Kang, X.; Luo, S.; Xu, M.; Zhang, Q.; Yang, Y. Dynamic estimating the karst tunnel water inflow based on monitoring data during excavation. Acta Carsologica. 2019, 48, 117–127. [Google Scholar] [CrossRef]
  21. He, W.; Hayatdavoudi, A.; Shi, H.; Sawant, K.; Huang, P. A Preliminary Fractal Interpretation of Effects of Grain Size and Grain Shape on Rock Strength. Rock Mech. Rock Eng. 2019, 52, 1745–1765. [Google Scholar] [CrossRef]
  22. Aligholi, S.; Lashkaripour, G.R.; Ghafoori, M.; Azali, S.T. Evaluating the Relationships Between NTNU/SINTEF Drillability Indices with Index Properties and Petrographic Data of Hard Igneous Rocks. Rock Mech. Rock Eng. 2017, 50, 2929–2953. [Google Scholar] [CrossRef]
  23. Huang, C.; Zhang, S.; Wu, S.; Gao, Y. Research and application of a comprehensive forecasting system for tunnels in water-bearing fault fracture zones: A case study. Arab. J. Geosci. 2022, 15, 171. [Google Scholar] [CrossRef]
  24. Akara, M.M.; Reeves, D.M.; Parashar, R. Impact of horizontal spatial clustering in two-dimensional fracture networks on solute transport. J. Hydrol. 2021, 603, 127055. [Google Scholar] [CrossRef]
  25. de Palézieux, L.; Loew, S. Long-term transient groundwater pressure and deep infiltration in Alpine mountain slopes (Poschiavo Valley, Switzerland). Hydrogeol. J. 2019, 27, 2817–2834. [Google Scholar] [CrossRef]
  26. Chang, Q.; Sun, X.; Zhou, H.; Shi, X. A multivariate matrix model of analysing mine water bursting and its application. Desalin. Water Treat. 2018, 123, 20–26. [Google Scholar] [CrossRef]
  27. Zhou, F.; Zhang, W.; Sun, K.; Shi, B. Optimized Fuzzy Clustering Method for Health Monitoring of Shield Tunnels. Trans. Nanjing Univ. Aeronaut. Astronaut. 2015, 32, 325–333. [Google Scholar]
  28. Liu, Y.; Chen, W.; Chen, W.; Chen, Y.; Ma, L.; Meng, Z. Reconstruction Method of Ocean Front Model Based on Fuzzy Cluster Analysis of Sound Speed Profile. IEEE Access 2021, 9, 112714–112725. [Google Scholar] [CrossRef]
  29. Jiao, Y.; Liu, H.; Zhang, P.; Wang, X.; Wei, H. Unsupervised Performance Evaluation Strategy for Bridge Superstructure Based on Fuzzy Clustering and Field Data. Sci. World J. 2013, 2013, 427072. [Google Scholar] [CrossRef]
  30. Liu, H.; Jiao, Y.; Cheng, Y.; Gong, Y. Reduction of Uncertainties for Damage Identification of Bridge Based on Fuzzy Nearness and Modal Data. J. Appl. Math. 2012, 2012, 812932. [Google Scholar] [CrossRef]
  31. Yang, M.; Wang, C. Clustering Methods Based on Weighted Quasi-Arithmetic Means of T-Transitive Fuzzy Relations. Int. J. Uncertain. Fuzz. 2015, 23, 715–733. [Google Scholar] [CrossRef]
  32. Yongsheng, L.; Yunchao, D.; Danni, Z.; Shengzhang, Z.; Ahmadi, F. Karst hydrogeological characteristics and water-gushing prediction of Dejiang Tunnel in Guizhou Province. Water Resour. Hydropower Eng. 2020, 51, 63–70. [Google Scholar]
  33. Liu Yan, Z.H. Characteristics of inferior variation of water environment and regulating capacity of groundwater reservoir in Jinghui Canal Irrigation District of China. Trans. CSAE 2011, 27, 19–24. [Google Scholar]
  34. Shi, G.; Gu, G.; Zhou, H.; Tao, Z.; Pan, H.; Tang, T.; Yin, Q. Stability Monitoring and Analysis of High and Steep Slope of a Hydropower Station. Geofluids 2020, 2020, 8840269. [Google Scholar] [CrossRef]
  35. Lo Russo, S.; Gnavi, L.; Peila, D.; Suozzi, E. Rough evaluation of the water-inflow discharge in abandoned mining tunnels using a simplified water balance model: The case of the Cogne iron mine (Aosta Valley, NW Italy). Environ. Earth Sci. 2013, 70, 2753–2765. [Google Scholar] [CrossRef]
  36. Zhang, W.; Zhou, X.; Wei, W.; Cheng, X. Risk Assessment of Water Inrush in Tunnels: A Case Study of a Tunnel in Guangdong Province, China. Sustainability 2022, 14, 11443. [Google Scholar] [CrossRef]
  37. Ahmadi, F.; Eilbeigy, M. Evaluation of water source origin around Kerman tunnel, Iran: Water transfer tunnel path using 2H, 3H, 18O, and 34S isotopes. Arab. J. Geosci. 2021, 14, 993. [Google Scholar] [CrossRef]
  38. Yang, G.; Chen, C.; Gao, S.-L.; Feng, B. Study on the height of water flowing fractured zone based on analytic hierarchy process and fuzzy clustering analysis method. J. Min. Saf. Eng. 2015, 32, 206–212. [Google Scholar]
  39. Ma, D.; Duan, H.; Li, X.; Li, Z.; Zhou, Z.; Li, T. Effects of seepage-induced erosion on nonlinear hydraulic properties of broken red sandstones. Tunn. Undergr. Sp. Tech. 2019, 91, 102993. [Google Scholar] [CrossRef]
  40. Zhao, X.; Yang, X. Experimental study on water inflow characteristics of tunnel in the fault fracture zone. Arab. J. Geosci. 2019, 12, 399. [Google Scholar] [CrossRef]
Figure 1. Example diagram of a tunnel section.
Figure 1. Example diagram of a tunnel section.
Applsci 12 10438 g001
Figure 2. Distribution of fracture structures in the tunnel site area (1:10,000).
Figure 2. Distribution of fracture structures in the tunnel site area (1:10,000).
Applsci 12 10438 g002
Figure 3. Water gushing at the tunnel face. (a) Tunnel face; (b) the vicinity of tunnel face.
Figure 3. Water gushing at the tunnel face. (a) Tunnel face; (b) the vicinity of tunnel face.
Applsci 12 10438 g003
Figure 4. Fuzzy clustering analysis results for 10 water gushing samples in the tunnel.
Figure 4. Fuzzy clustering analysis results for 10 water gushing samples in the tunnel.
Applsci 12 10438 g004
Figure 5. Fuzzy clustering analysis results for water gushing samples in the tunnel.
Figure 5. Fuzzy clustering analysis results for water gushing samples in the tunnel.
Applsci 12 10438 g005
Figure 6. Distribution of parameters by segments. (a) Ln and Hn; (b) μ and α.
Figure 6. Distribution of parameters by segments. (a) Ln and Hn; (b) μ and α.
Applsci 12 10438 g006
Figure 7. Variation pattern of radius of influence Rn for each segment.
Figure 7. Variation pattern of radius of influence Rn for each segment.
Applsci 12 10438 g007
Figure 8. Rn regression results.
Figure 8. Rn regression results.
Applsci 12 10438 g008
Figure 9. Comparison of calculated results with dynamic monitoring records.
Figure 9. Comparison of calculated results with dynamic monitoring records.
Applsci 12 10438 g009
Figure 10. The relationship between the fault F2-5 and the tunnel section.
Figure 10. The relationship between the fault F2-5 and the tunnel section.
Applsci 12 10438 g010
Figure 11. Parameters of each segment.
Figure 11. Parameters of each segment.
Applsci 12 10438 g011
Figure 12. Results of comparison of calculated values with dynamic monitoring data from K91 + 700 to K91 + 950.
Figure 12. Results of comparison of calculated values with dynamic monitoring data from K91 + 700 to K91 + 950.
Applsci 12 10438 g012
Table 1. Water quality characteristics of ten water gushing samples.
Table 1. Water quality characteristics of ten water gushing samples.
SampleSampling LocationsRedox Potential
(mV)
pHTDS
(mg/L)
Conductivity (μs/cm)Temperature (°C)
S1Walls at K91 + 210−62.28.51112174.723.5
S2Walls at K91 + 273−166.85127199.123.9
S3Walls at K91 + 300−156.75128199.824
S4Walls at K91 + 310−47.67.912920123.7
S5Walls at K91 + 314−357.49127197.923.9
S6Top of tunnel at ZK94 + 299−437.73117182.823
S7Top of tunnel at ZK94 + 250−988.68120188.823.7
S8Top of tunnel at ZK94 + 245−1309.1599154.923.8
S9Walls at ZK94 + 188−153.39.63122189.623.7
S10Walls at ZK94 + 198−1058.7123192.224.9
Table 2. Comparative analysis of water gushing.
Table 2. Comparative analysis of water gushing.
MethodsThe Average Duration of Water Gushing (d)
150200250300350
Method of rainfall infiltration770110,26812,83615,40317,456
Method of the runoff module number of the groundwater58547805975711,70813,269
Methodology of this article36,51036,02035,27434,80034,085
Dynamic monitoring data38,19836,17435,23134,73633,578
Publisher’s Note: MDPI stays neutral with regard to jurisdictional claims in published maps and institutional affiliations.

Share and Cite

MDPI and ACS Style

Zhang, W.; Zhou, X.; Wang, B.; Cheng, X.; Wei, W. Methodology for the Prediction of Water Gushing in Tunnels in Igneous Fracture Tectonic Zones: A Case Study of a Tunnel in Guangdong Province, China. Appl. Sci. 2022, 12, 10438. https://doi.org/10.3390/app122010438

AMA Style

Zhang W, Zhou X, Wang B, Cheng X, Wei W. Methodology for the Prediction of Water Gushing in Tunnels in Igneous Fracture Tectonic Zones: A Case Study of a Tunnel in Guangdong Province, China. Applied Sciences. 2022; 12(20):10438. https://doi.org/10.3390/app122010438

Chicago/Turabian Style

Zhang, Weifeng, Xuemin Zhou, Baoyong Wang, Xiaoyong Cheng, and Wei Wei. 2022. "Methodology for the Prediction of Water Gushing in Tunnels in Igneous Fracture Tectonic Zones: A Case Study of a Tunnel in Guangdong Province, China" Applied Sciences 12, no. 20: 10438. https://doi.org/10.3390/app122010438

APA Style

Zhang, W., Zhou, X., Wang, B., Cheng, X., & Wei, W. (2022). Methodology for the Prediction of Water Gushing in Tunnels in Igneous Fracture Tectonic Zones: A Case Study of a Tunnel in Guangdong Province, China. Applied Sciences, 12(20), 10438. https://doi.org/10.3390/app122010438

Note that from the first issue of 2016, this journal uses article numbers instead of page numbers. See further details here.

Article Metrics

Back to TopTop