Effects of Spray Application of Lactic Acid Solution and Aromatic Vinegar on the Microbial Loads of Wild Boar Carcasses Obtained under Optimal Harvest Conditions
Abstract
Featured Application
Abstract
1. Introduction
2. Materials and Methods
2.1. Sampling of the Carcasses
2.2. Microbiological Determination
- Aerobic colony count (ACC) [23] on plate count agar (PCA-Bio-RAD Laboratories, Marnes-la-Coquette, France) aerobically incubated at 30 °C for 48 h;
- Psychotropic colony count (PCC) [24] on PCA (Bio-RAD Laboratories) aerobically incubated at 7 °C for 10 days;
- Enterobacteriaceae count (EC) [25] on Vilet Red Bile Glucose Agar (VRBGA-Bio-RAD Laboratories) aerobically incubated at 37 °C for 24 h;
- Staphylococcus spp. count (SC) on Mannitol Salt Agar (MSA-Biolife Italiana s.r.l., Milan, Italy) incubated at 37 °C for 48 h;
- Lactobacillus spp. count (LABC) on De Man Rogosa Sharp Agar (MRSA-Oxoid) anaerobically incubated at 30 °C for 48 h;
2.3. Same–Different Test Analysis
2.4. Statistical Analyses
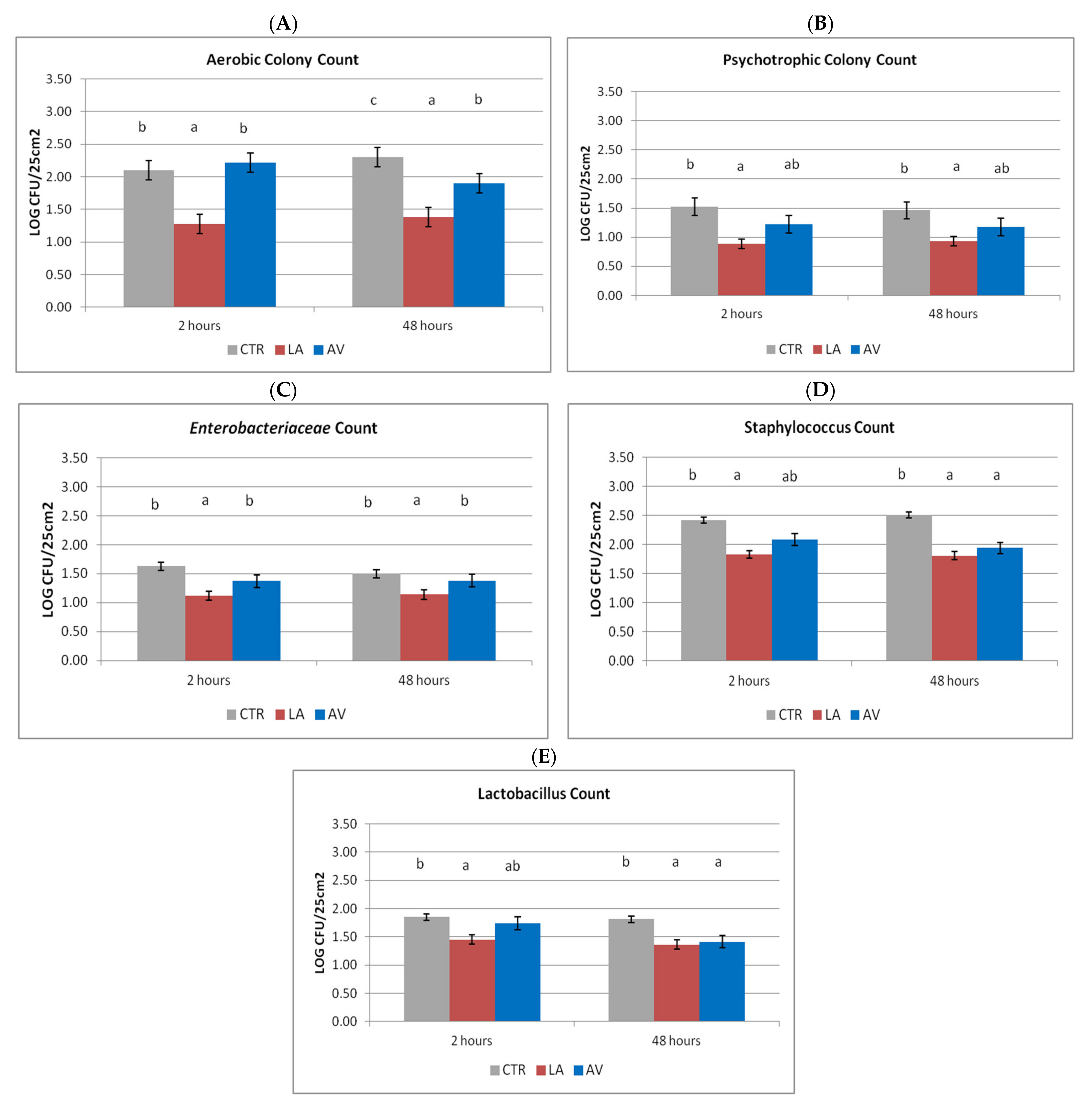
3. Results
4. Discussion
5. Conclusions
Supplementary Materials
Author Contributions
Funding
Institutional Review Board Statement
Informed Consent Statement
Data Availability Statement
Acknowledgments
Conflicts of Interest
References
- Regulation (EC) No 853/2004 of the European Parliament and of the Council of 29 April 2004 Laying Down Specific Hygiene Rules for Food of Animal Origin. Available online: https://eur-lex.europa.eu/legal-content/en/ALL/?uri=CELEX%3A32004R0853 (accessed on 1 September 2022).
- European Food Safety Authority. Scientific Opinion on the Evaluation of the Safety and Efficacy of Lactic Acid for the Removal of Microbial Surface Contamination of Beef Carcasses, Cuts and Trimmings. EFSA J. 2011, 9, 2317. [Google Scholar] [CrossRef]
- European Food Safety Authority. Scientific Opinion on the evaluation of the safety and efficacy of peroxyacetic acid solutions for reduction of pathogens on poultry carcasses and meat. EFSA J. 2014, 12, 3599. [Google Scholar] [CrossRef][Green Version]
- European Food Safety Authority. Scientific Opinion on the evaluation of the safety and efficacy of lactic and acetic acids to reduce microbiological surface contamination on pork carcasses and pork cuts. EFSA J. 2018, 16, 5482. [Google Scholar] [CrossRef]
- European Food Safety Authority. Scientific Opinion on the evaluation of the safety and efficacy of lactic acid to reduce microbiological surface contamination on carcases from kangaroos, wild pigs, goats and sheep. EFSA J. 2022, 20, 7265. [Google Scholar] [CrossRef]
- Commission Regulation (EU) No 101/2013 of 4 February 2013 Concerning the Use of Lactic Acid to Reduce Microbiological Surface Contamination on Bovine Carcases. Available online: https://eur-lex.europa.eu/legal-content/EN/ALL/?uri=CELEX%3A32013R0101 (accessed on 1 September 2022).
- Marescotti, M.E.; Caputo, V.; Demartini, E.; Gaviglio, A. Discovering market segments for hunted wild game meat. Meat Sci. 2019, 149, 163–176. [Google Scholar] [CrossRef] [PubMed]
- Niewiadomska, K.; Kosicka-Gębska, M.; Gębski, J.; Gutkowska, K.; Jeżewska-Zychowicz, M.; Sułek, M. Game Meat Consumption—Conscious Choice or Just a Game? Foods 2020, 9, 1357. [Google Scholar] [CrossRef] [PubMed]
- Czarniecka-Skubina, E.; Stasiak, D.M.; Latoch, A.; Owczarek, T.; Hamulka, J. Consumers’ Perception and Preference for the Consumption of Wild Game Meat among Adults in Poland. Foods 2022, 11, 830. [Google Scholar] [CrossRef] [PubMed]
- Demartini, E.; Vecchiato, D.; Tempesta, T.; Gaviglio, A.; Viganò, R. Consumer preferences for red deer meat: A discrete choice analysis considering attitudes towards wild game meat and hunting. Meat Sci. 2018, 146, 168–179. [Google Scholar] [CrossRef]
- Hoffman, L.C.; Wiklund, E. Game and venison—Meat for the modern consumer. Meat Sci. 2006, 74, 197–208. [Google Scholar] [CrossRef]
- Soriano, A.; Sánchez-García, C. Nutritional Composition of Game Meat from Wild Species Harvested in Europe. In Meat and Nutrition; Ranabhat, C.L., Ed.; IntechOpen: London, UK, 2021; pp. 77–100. [Google Scholar]
- Branciari, R.; Onofri, A.; Cambiotti, F.; Ranucci, D. Effects of Animal, Climatic, Hunting and Handling Conditions on the Hygienic Characteristics of Hunted Roe Doer (Capreolus capreolus L.). Foods 2020, 9, 1076. [Google Scholar] [CrossRef]
- Orsoni, F.; Romeo, C.; Ferrari, N.; Bardasi, L.; Merialdi, G.; Barbani, R. Factors affecting the microbiological load of Italian hunted wild boar meat (Sus scrofa). Meat Sci. 2020, 160, 107967. [Google Scholar] [CrossRef] [PubMed]
- Roila, R.; Branciari, R.; Primavilla, S.; Miraglia, D.; Vercillo, F.; Ranucci, D. Microbial, physico-chemical and sensory characteristics of salami produced from wild boar (Sus scrofa). Potravin. J. Food Sci. 2021, 15, 475–483. [Google Scholar] [CrossRef]
- Sales, J.; Kotrba, R. Meat from wild boar (Sus scrofa L.): A review. Meat Sci. 2013, 94, 187–201. [Google Scholar] [CrossRef] [PubMed]
- Stella, S.; Tirloni, E.; Castelli, E.; Colombo, F.; Bernardi, C. Microbiological evaluation of carcasses of wild boar hunted in a hill area of northern Italy. J. Food Prot. 2018, 81, 1519–1525. [Google Scholar] [CrossRef]
- Massei, G.; Kindberg, J.; Licoppe, A.; Gačić, D.; Šprem, N.; Kamler, J.; Baubet, E.; Hohmann, U.; Monaco, A.; Ozolinš, J.; et al. Wild boar populations up, numbers of hunters down? A review of trends and implications for Europe. Pest. Manag. Sci. 2015, 71, 492–500. [Google Scholar] [CrossRef]
- Regione Umbria. Caccia al Cinghiale 2021. Available online: https://www.regione.umbria.it/turismo-attivita-sportive/caccia/caccia-al-cinghiale (accessed on 1 September 2022).
- Ranucci, D.; Roila, R.; Onofri, A.; Cambiotti, F.; Primavilla, S.; Miraglia, D.; Andoni, E.; Di Cerbo, A.; Branciari, R. Improving hunted wild boar carcass hygiene: Roles of different factors involved in the harvest phase. Foods 2021, 10, 1548. [Google Scholar] [CrossRef]
- Manzoor, A.; Jaspal, M.H.; Yaqub, T.; Haq, A.U.; Nasir, J.; Avais, M.; Asghar, B.; Badar, I.H.; Ahmad, S.; Yar, M.K. Effect of lactic acid spray on microbial and quality parameters of buffalo meat. Meat Sci 2020, 159, 107923. [Google Scholar] [CrossRef]
- International Organization for Standardization. ISO 17604:2014; Microbiology of the Food Chain—Carcass Sampling for Microbiological Analysis. International Organization for Standardization: Geneva, Switzerland, 2014.
- International Organization for Standardization. ISO 4833-1:2013; Microbiology of the Food Chain—Horizontal Method for the Enumeration of Microorganisms—Part 1: Colony Count at 30 °C by the Pour Plate Technique. International Organization for Standardization: Geneva, Switzerland, 2013.
- International Organization for Standardization. ISO 17410:2001; Microbiology of Food and Animal Feeding Stuffs—Horizontal Method for the Enumeration of Psychrotrophic Microorganisms. International Organization for Standardization: Geneva, Switzerland, 2001.
- International Organization for Standardization. ISO 21528-2:2017; Microbiology of the Food Chain—Horizontal Method for the Detection and Enumeration of Enterobacteriaceae—Part 2: Colony-Count Technique. International Organization for Standardization: Geneva, Switzerland, 2017.
- Statistical Analysis System. JMP Statistics and Graphics Guide; Version 4; SAS Institute Inc.: Cary, NC, USA, 2001. [Google Scholar]
- Kim, I.A.; Yoon, J.Y.; Lee, H.S. Measurement of consumers’ sensory discrimination and preference: Efficiency of preference-difference test utilizing the 3-point preference test precedes the same-different test. Food Sci. Biotechnol. 2015, 24, 1355–1362. [Google Scholar] [CrossRef]
- Nkosi, D.V.; Bekker, J.L.; Hoffman, L.C. The Use of Organic Acids (Lactic and Acetic) as a Microbial Decontaminant during the Slaughter of Meat Animal Species: A Review. Foods 2021, 10, 2293. [Google Scholar] [CrossRef]
- Loretz, M.; Stephan, R.; Zweifel, C. Antibacterial activity of decontamination treatments for cattle hides and beef carcasses. Food Control 2011, 22, 347–359. [Google Scholar] [CrossRef]
- King, D.A.; Lucia, L.M.; Castillo, A.; Acuff, G.R.; Harris, K.B.; Savell, J.W. Evaluation of peroxyacetic acid as a post-chilling intervention for control of Escherichia coli O157: H7 and Salmonella Typhimurium on beef carcass surfaces. Meat Sci. 2005, 69, 401–407. [Google Scholar] [CrossRef] [PubMed]
- Saad, S.M.; Hassanin, F.S.; Salem, A.M.; Saleh, E.A.E. Efficiency of some organic acids as decontaminants in sheep carcasses. Benha Med. J. 2020, 38, 116–119. [Google Scholar] [CrossRef]
- Vermeulen, A.; Devlieghere, F.; Bernaerts, K.; Van Impe, J.; Debevere, J. Growth/no growth models describing the influence of pH, lactic and acetic acid on lactic acid bacteria developed to determine the stability of acidified sauces. Int. J. Food Microbiol. 2007, 119, 258–269. [Google Scholar] [CrossRef]
- Han, J.; Luo, X.; Zhang, Y.; Zhu, L.; Mao, Y.; Dong, P.; Yang, X.; Liang, R.; Hopkins, D.L.; Zhang, Y. Effects of spraying lactic acid and peroxyacetic acid on the bacterial decontamination and bacterial composition of beef carcasses. Meat Sci. 2020, 164, 108104. [Google Scholar] [CrossRef] [PubMed]
- Rodríguez-Melcón, C.; Alonso-Calleja, C.; Capita, R. Lactic acid concentrations that reduce microbial load yet minimally impact colour and sensory characteristics of beef. Meat Sci. 2017, 129, 169–175. [Google Scholar] [CrossRef]
- Castillo, A.; Lucia, L.M.; Mercado, I.; Acuff, G.R. In-plant evaluation of a lactic acid treatment for reduction of bacteria on chilled beef carcasses. J. Food Prot. 2001, 64, 738–740. [Google Scholar] [CrossRef]
- Carpenter, C.E.; Smith, J.V.; Broadbent, J.R. Efficacy of washing meat surfaces with 2% levulinic, acetic, or lactic acid for pathogen decontamination and residual growth inhibition. Meat Sci. 2011, 88, 256–260. [Google Scholar] [CrossRef]
- Ricke, S.C. Perspectives on the use of organic acids and short chain fatty acids as antimicrobials. Poult. Sci. J. 2003, 82, 632–639. [Google Scholar] [CrossRef]
- Yagnik, D.; Serafin, V.; Shah, A.J. Antimicrobial activity of apple cider vinegar against Escherichia coli, Staphylococcus aureus and Candida albicans; downregulating cytokine and microbial protein expression. Sci. Rep. 2018, 8, 1732. [Google Scholar] [CrossRef]
- Hirshfield, I.N.; Terzulli, S.; O’Byrne, C. Weak organic acids: A panoply of effects on bacteria. Sci. Prog. 2003, 86, 245–270. [Google Scholar] [CrossRef]
- Boomsma, B.; Bikker, E.; Lansdaal, E.; Stuut, P. L-Lactic Acid-A Safe Antimicrobial for Home-and Personal Care Formulations. Sofw. J. 2015, 141, 2–5. [Google Scholar]
- Van Ba, H.; Seo, H.W.; Pil-Nam, S.; Kim, Y.S.; Park, B.Y.; Moon, S.S.; Kang, S.J.; Choi, Y.M.; Kim, J.H. The effects of pre-and post-slaughter spray application with organic acids on microbial population reductions on beef carcasses. Meat Sci. 2018, 137, 16–23. [Google Scholar] [CrossRef] [PubMed]
- Sallam, K.I.; Abd-Elghany, S.M.; Hussein, M.A.; Imre, K.; Morar, A.; Morshdy, A.E.; Sayed-Ahmed, M.Z. Microbial decontamination of beef carcass surfaces by lactic acid, acetic acid, and trisodium phosphate sprays. Biomed. Res. Int. 2020, 2020, 2324358. [Google Scholar] [CrossRef] [PubMed]
- Di Toro, J.; Branciari, R.; Roila, R.; Altissimi, S.; Jang, H.; Zhou, K.; Perucci, S.; Codini, M.; Ranucci, D. Eficacy of an aromatic vinegar in reducing psychrotrophic bacteria and biogenic amines in salmon fillets (Salmo salar) stored in modified atmosphere packaging. Pol. J. Food Nutr. Sci. 2019, 69, 397–405. [Google Scholar] [CrossRef]
- Bakir, S.; Devecioglu, D.; Kayacan, S.; Toydemir, G.; Korbancioglu-Guler, F.; Capanoglu, E. Investigating the antioxidant and antimicrobial activities of different vinegars. Eur. Food Res. Technol. 2017, 243, 2083–2094. [Google Scholar] [CrossRef]
- Chen, H.; Chen, T.; Giudici, P.; Chen, F. Vinegar function on health: Constituents, sources, and formation mechanisms. Compr. Rev. Food Sci. 2016, 15, 1124–1138. [Google Scholar] [CrossRef]
- Roila, R.; Valiani, A.; Ranucci, D.; Ortenzi, R.; Servili, M.; Veneziani, G.; Branciari, R. Antimicrobial efficacy of a polyphenolic extract from olive oil by-product against “Fior di latte” cheese spoilage bacteria. Int. J. Food Microbiol. 2019, 295, 49–53. [Google Scholar] [CrossRef]
- Daglia, M. Polyphenols as antimicrobial agents. Curr. Opin. Biotechnol. 2012, 23, 174–181. [Google Scholar] [CrossRef]
- Smulders, F.J.M.; Greer, G.G. Integrating microbial decontamination with organic acids in HACCP programmes for muscle foods: Prospects and controversies. Int. J. Food Microbiol. 1998, 44, 149–169. [Google Scholar] [CrossRef]
- Grajales-Lagunes, A.; Rivera-Bautista, C.; Ruiz-Cabrera, M.; Gonzalez-Garcia, R.; Ramirez-Telles, J.; Abud-Archila, M. Effect of lactic acid on the meat quality properties and the taste of pork Serratus ventralis muscle. Agric. Food Sci. 2012, 21, 171–181. [Google Scholar] [CrossRef]
- Codex Alimentarius Commission. Recommended International Code of Practice—General Principles of Food Hygiene—CAC/RCP 1-1969, Rev.4-2003; FAO: Rome, Italy, 1969. [Google Scholar]
- European Food Safety Authority. Scientific opinion on hazard analysis approaches for certain small retail establishments in view of the application of their food safety management systems. EFSA J. 2017, 15, 4697. [Google Scholar] [CrossRef][Green Version]
- Howlett, B.; Bolton, D.J.; O’Sullivan, C. Development of Pre-Requisite Programmes and HACCP Principles for Irish Beef SLAUGHTERHOUSES; Teagasc—The National Food Centre: Wexford, PA, USA, 2005. [Google Scholar]
- Commission Regulation (EC) No 2073/2005 of 15 November 2005 on Microbiological Criteria for Foodstuffs. Available online: https://eur-lex.europa.eu/legal-content/EN/ALL/?uri=CELEX%3A32005R2073 (accessed on 1 September 2022).
- Wang, C.; Chang, T.; Yang, H.; Cui, M. Antibacterial mechanism of lactic acid on physiological and morphological properties of Salmonella Enteritidis, Escherichia coli and Listeria monocytogenes. Food Control 2015, 47, 231–236. [Google Scholar] [CrossRef]
- Epling, L.K.; Carpenter, J.A.; Blankenship, L.C. Prevalence of Campylobacter spp. and Salmonella spp. on pork carcasses and the reduction effected by spraying with lactic acid. J. Food Prot. 1993, 56, 536–537. [Google Scholar] [CrossRef] [PubMed]


| Treatments | CTR Negative/Total Samples | LA Negative/Total Samples | AV Negative/Total Samples | |||
|---|---|---|---|---|---|---|
| T2 | T48 | T2 | T48 | T2 | T48 | |
| ACC | 8/40 | 5/40 | 15/40 | 18/40 | 5/40 | 6/40 |
| PCC | 15/40 | 19/40 | 33/40 | 29/40 | 26/40 | 21/40 |
| EC | 27/40 | 29/40 | 31/40 | 35/40 | 33/40 | 29/40 |
| SC | 15/40 | 14/40 | 32/40 | 35/40 | 25/40 | 26/40 |
| LABC | 17/40 | 20/40 | 29/40 | 34/40 | 19/40 | 29/40 |
Publisher’s Note: MDPI stays neutral with regard to jurisdictional claims in published maps and institutional affiliations. |
© 2022 by the authors. Licensee MDPI, Basel, Switzerland. This article is an open access article distributed under the terms and conditions of the Creative Commons Attribution (CC BY) license (https://creativecommons.org/licenses/by/4.0/).
Share and Cite
Roila, R.; Altissimi, C.; Branciari, R.; Primavilla, S.; Valiani, A.; Cambiotti, F.; Cardinali, L.; Cioffi, A.; Ranucci, D. Effects of Spray Application of Lactic Acid Solution and Aromatic Vinegar on the Microbial Loads of Wild Boar Carcasses Obtained under Optimal Harvest Conditions. Appl. Sci. 2022, 12, 10419. https://doi.org/10.3390/app122010419
Roila R, Altissimi C, Branciari R, Primavilla S, Valiani A, Cambiotti F, Cardinali L, Cioffi A, Ranucci D. Effects of Spray Application of Lactic Acid Solution and Aromatic Vinegar on the Microbial Loads of Wild Boar Carcasses Obtained under Optimal Harvest Conditions. Applied Sciences. 2022; 12(20):10419. https://doi.org/10.3390/app122010419
Chicago/Turabian StyleRoila, Rossana, Caterina Altissimi, Raffaella Branciari, Sara Primavilla, Andrea Valiani, Fausto Cambiotti, Lorenzo Cardinali, Attilia Cioffi, and David Ranucci. 2022. "Effects of Spray Application of Lactic Acid Solution and Aromatic Vinegar on the Microbial Loads of Wild Boar Carcasses Obtained under Optimal Harvest Conditions" Applied Sciences 12, no. 20: 10419. https://doi.org/10.3390/app122010419
APA StyleRoila, R., Altissimi, C., Branciari, R., Primavilla, S., Valiani, A., Cambiotti, F., Cardinali, L., Cioffi, A., & Ranucci, D. (2022). Effects of Spray Application of Lactic Acid Solution and Aromatic Vinegar on the Microbial Loads of Wild Boar Carcasses Obtained under Optimal Harvest Conditions. Applied Sciences, 12(20), 10419. https://doi.org/10.3390/app122010419

