Terahertz Resonators Based on YBa2Cu3O7 High-Tc Superconductor
Abstract
1. Introduction
2. Materials and Methods
2.1. YBCO Film Synthesis and Patterning
2.2. Optical Measurements
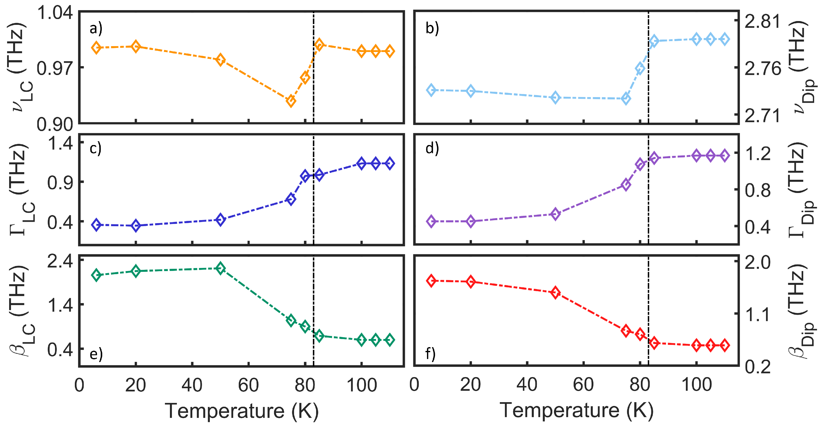
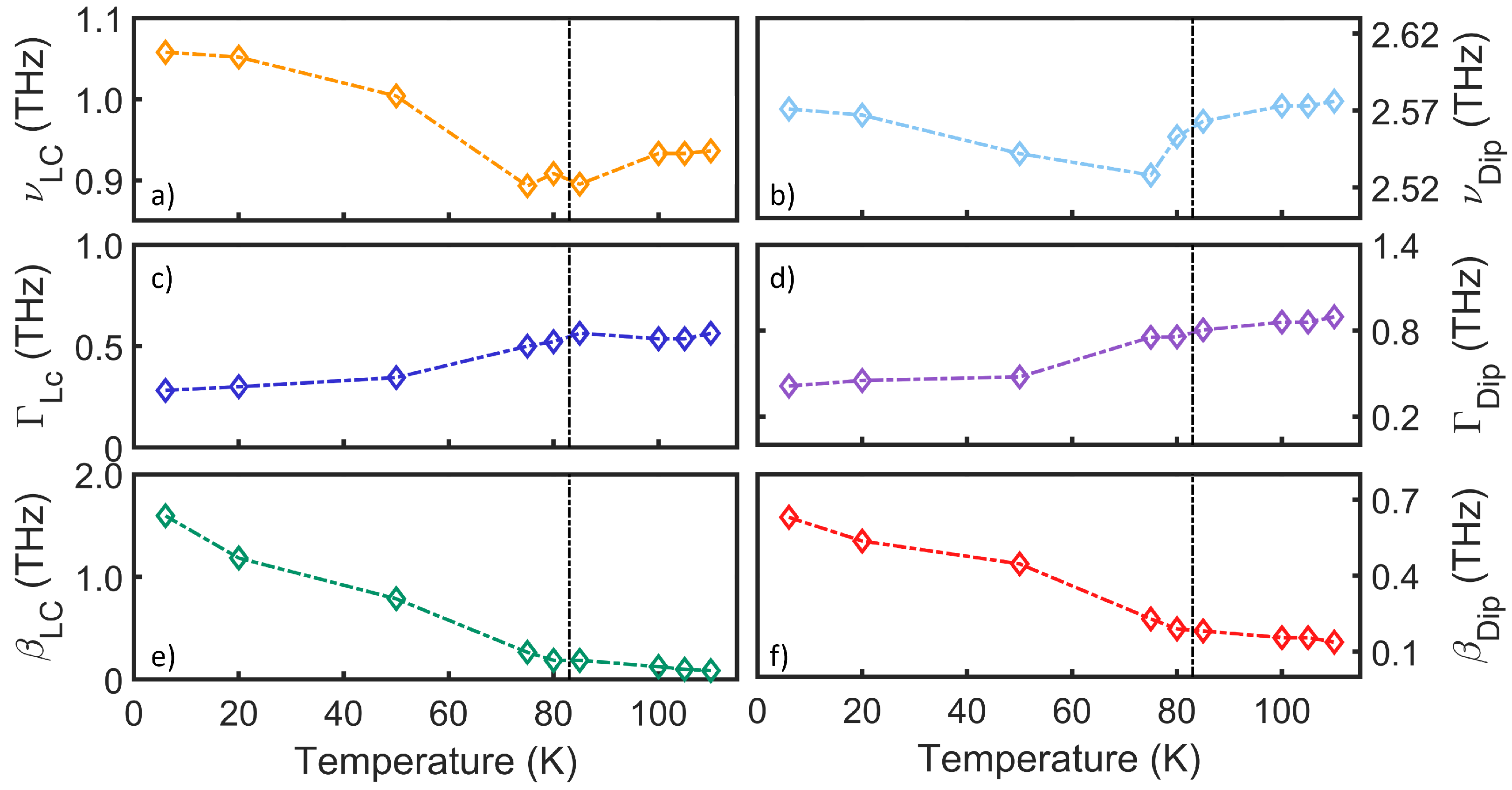
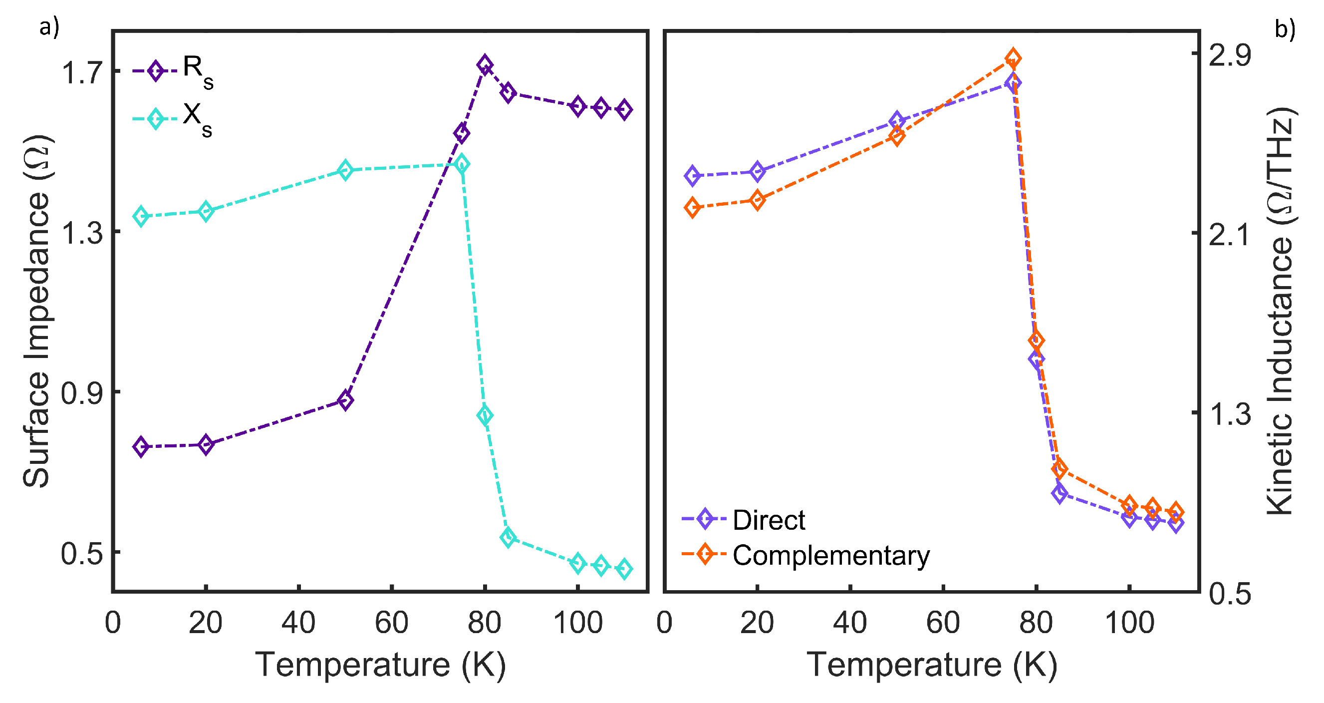
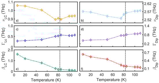
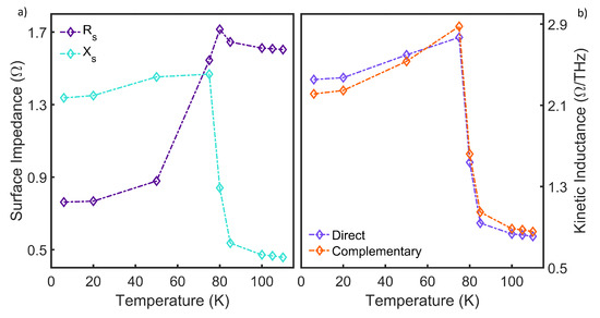
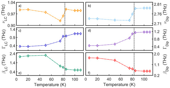
3. Results and Discussion
4. Conclusions
Author Contributions
Funding
Institutional Review Board Statement
Informed Consent Statement
Data Availability Statement
Conflicts of Interest
Appendix A
LC and Dipolar Resonances Quality Factors
| Temperature (K) | QL,LC | QL,Dip |
|---|---|---|
| 6 K | 2.79 | 6.05 |
| 20 K | 2.87 | 6.05 |
| 50 K | 2.32 | 5.14 |
| 75 K | 1.36 | 3.20 |
| 80 K | 0.98 | 2.57 |
| 85 K | 1.01 | 2.45 |
| 100 K | 0.88 | 2.39 |
| 105 K | 0.88 | 2.39 |
| 110 K | 0.88 | 2.39 |
| Temperature (K) | QL,LC | QL,Dip |
|---|---|---|
| 6 K | 3.75 | 6.23 |
| 20 K | 3.51 | 5.69 |
| 50 K | 2.91 | 5.34 |
| 75 K | 1.79 | 3.36 |
| 80 K | 1.74 | 3.38 |
| 85 K | 1.59 | 3.19 |
| 100 K | 1.74 | 3.00 |
| 105 K | 1.74 | 3.00 |
| 110 K | 1.67 | 2.89 |
References
- Bilotti, F.; Sevgi, L. Metamaterials: Definitions, Properties, Applications, and FDTD-Based Modeling and Simulation. Int. J. RF Microw. Comput.-Aided Eng. 2012, 22, 422–438. [Google Scholar] [CrossRef]
- Liu, Y.; Zhang, X. Metamaterials: A new frontier of science and technology. Chem. Soc. Ref. 2011, 40, 2494–2507. [Google Scholar] [CrossRef] [PubMed]
- Capolino, F. Theory and Phenomena of Metamaterials, 3rd ed.; CRC Press: New York, NY, USA, 2009. [Google Scholar]
- Johnson, N.P.; Khokhar, A.Z.; Chong, H.M.; De La Rue, R.M.; Antosiewicz, T.J.; Mcmeekin, S. A Review of Size and geometrical Factors influencing resonant Frequencies in Metamaterials. Opto-Electron. Rev. 2006, 14, 187–191. [Google Scholar] [CrossRef][Green Version]
- Di Pietro, P.; Adhlakha, N.; Piccirilli, F.; Di Gaspare, A.; Moon, J.; Oh, S.; Di Mitri, S.; Spampinati, S.; Perucchi, A.; Lupi, S. Terahertz Tuning of Dirac Plasmons in Bi2Se3 Topological Insulator. Phys. Rev. Lett. 2020, 124, 226403. [Google Scholar] [CrossRef] [PubMed]
- D’Apuzzo, F.; Piacenti, A.R.; Giorgianni, F.; Autore, M.; Cestelli Guidi, M.; Marcelli, A.; Schade, U.; Ito, Y.; Chen, M.; Lupi, S. Terahertz and mid-infrared plasmons in three-dimensional nanoporous graphene. Nat. Commun. 2017, 8, 14885. [Google Scholar] [CrossRef]
- Giorgianni, F.; Chiadroni, E.; Rovere, A.; Cestelli-Guidi, M.; Perucchi, A.; Bellaveglia, M.; Castellano, M.; Di Giovenale, D.; Di Pirro, G.; Ferrario, M.; et al. Strong nonlinear terahertz response induced by Dirac surface states in Bi2Se3 topological insulator. Nat. Commun. 2016, 7, 11421. [Google Scholar] [CrossRef]
- Limaj, O.; Giorgianni, F.; Di Gaspare, A.; Giliberti, V.; de Marzi, G.; Roy, P.; Ortolani, M.; Xi, X.; Cunnane, D.; Lupi, S. Observation of Dirac plasmons in a topological insulator. ACS Photonics 2014, 7, 556–560. [Google Scholar]
- Di Pietro, P.; Ortolani, M.; Limaj, O.; Di Gaspare, A.; Giliberti, V.; Giorgianni, F.; Brahlek, M.; Bansal, N.; Koirala, N.; Oh, S.; et al. Observation of Dirac plasmons in a topological insulator. Nat. Nanotech. 2013, 8, 556–560. [Google Scholar] [CrossRef] [PubMed]
- Haxha, S.; AbdelMalek, F.; Ouerghi, F.; Charlton, M.D.B.; Aggoun, A.; Fang, X. Metamaterial Superlenses Operating at Visible Wavelength for Imaging Applications. Sci. Rep. 2018, 8, 16119. [Google Scholar] [CrossRef]
- Yang, J.J.; Huang, M.; Tang, H.; Zeng, J.; Dong, L. Metamaterial Sensors. Int. J. Antennas Propag. 2013, 2013, 637270. [Google Scholar] [CrossRef]
- Macis, S.; Tomarchio, L.; Tofani, S.; Piccirilli, F.; Zacchigna, M.; Aglieri, V.; Toma, A.; Rimal, G.; Oh, S.; Lupi, S. Infrared plasmons in ultrahigh conductive PdCoO2 metallic oxide. Commun. Phys. 2022, 5, 145. [Google Scholar] [CrossRef]
- Qin, M.; Pan, C.; Chen, Y.; Ma, Q.; Liu, S.; Wu, E.; Wu, B. Electromagnetically Induced Transparency in All-Dielectric U-Shaped Silicon Metamaterials. Appl. Sci. 2018, 8, 10. [Google Scholar] [CrossRef]
- Oh, S.S.; Hess, O. Chiral metamaterials: Enhancement and control of optical activity and circular dichroism. Nano Converg. 2015, 2, 24. [Google Scholar] [CrossRef] [PubMed]
- Gil, M.; Bonache, J.; Martín, F. Metamaterial filters: A review. Int. J. Antennas Propag. 2008, 4, 186–197. [Google Scholar] [CrossRef]
- Dong, Y.; Yu, D.; Li, G.; Lin, M.; Bian, L.-A. Terahertz Metamaterial Modulator Based on Phase Change Material VO2. Symmetry 2021, 13, 2230. [Google Scholar] [CrossRef]
- Anlage, S.M. The physics and applications of superconducting metamaterials. J. Opt. 2011, 13, 024001. [Google Scholar] [CrossRef]
- Jung, P.; Ustinov, A.V.; Anlage, S.M. Progress in superconducting metamaterials. Supercond. Sci. Technol. 2014, 27, 073001. [Google Scholar] [CrossRef]
- Paulillo, B.; Manceau, J.M.; Li, L.H.; Davies, A.G.; Linfield, E.H.; Colombelli, R. Room temperature strong light-matter coupling in three dimensional terahertz meta-atoms. Appl. Phys. Lett. 2016, 108, 101101. [Google Scholar] [CrossRef]
- Singh, R.; Zheludev, N. Materials: Superconductor photonics. Nature Photonics. Nat. Photonics 2014, 8, 679–680. [Google Scholar] [CrossRef]
- Kalhor, S.; Kindness, S.J.; Wallis, R.; Beere, H.E.; Ghanaatshoar, M.; Degl’Innocenti, R.; Kelly, M.J.; Hofmann, S.; Joyce, H.J.; Ritchie, D.A.; et al. Active Terahertz Modulator and Slow Light Metamaterial Devices with Hybrid Graphene–Superconductor Photonic Integrated Circuits. Nanomaterials 2021, 11, 2999. [Google Scholar] [CrossRef] [PubMed]
- Keller, J.; Scalari, G.; Appugliese, F.; Mavrona, E.; Rajabali, S.; Süess, M.J.; Beck, M.; Faist, J. High Tc Superconducting THz Metamaterial for Ultrastrong Coupling in a Magnetic Field. ACS Photonics 2018, 5, 3977–3983. [Google Scholar] [CrossRef]
- Kurter, C.; Tassin, P.; Zhang, L.; Koschny, T.; Zhuravel, A.P.; Ustinov, A.V.; Anlage, S.M.; Soukoulis, C.M. Classical Analogue of Electromagnetically Induced Transparency with a Metal-Superconductor Hybrid Metamaterial. Phys. Rev. Lett. 2011, 107, 043901. [Google Scholar] [CrossRef] [PubMed]
- Duan, S.; Wu, J.; Shen, Z.; Guan, Y.; Jia, X.; Zhang, C.; Jin, B.; Kang, L.; Xu, W.; Wang, H.; et al. Tunable and high quality factor Fano and toroidal dipole resonances in terahertz superconducting metamaterials. Mater. Res. Express 2020, 7, 046001. [Google Scholar] [CrossRef]
- Dressel, M.; Grüner, G. Electrodynamics of Solids; Cambridge University Press: Cambridge, UK, 2002; pp. 28–30, 42–44, 372–377. [Google Scholar]
- Padilla, W.J.; Taylor, A.J.; Highstrete, C.; Lee, M.; Averitt, R.D. Dynamical Electric and Magnetic Metamaterial Response at Terahertz Frequencies. Phys. Rev. Let. 2006, 96, 107401. [Google Scholar] [CrossRef]
- Lobo, R.P.S.M.; Bontemps, N.; Racah, D.; Deutscher, G. Pseudo-gap and superconducting condensate energies in the infrared spectra of Pr-doped YBa2Cu3O7. EPL 2001, 55, 854–860. [Google Scholar] [CrossRef]
- Limaj, O.; Giorgianni, F.; Di Gaspare, A.; Giliberti, V.; de Marzi, G.; Roy, P.; Ortolani, M.; Xi, X.; Cunnane, D.; Lupi, S. Superconductivity-Induced Transparency in Terahertz Metamaterials. ACS Photonics 2014, 1, 570–575. [Google Scholar] [CrossRef]
- Lupi, S.; Irizawa, A.; Marcelli, A. THz: Research Frontiers for New Sources, Imaging and Other Advanced Technologies; MDPI: Basel, Switzerland, 2021; ISBN 978-3-0365-2163-3. [Google Scholar]
- Welp, U.; Kadowaki, K.; Kleiner, R. Superconducting emitters of THz radiation. Nat. Photonics 2013, 7, 702–710. [Google Scholar] [CrossRef]
- Delfanazari, K.; Asai, H.; Tsujimoto, M.; Kashiwagi, T.; Kitamura, T.; Yamamoto, T.; Sawamura, M.; Ishida, K.; Watanabe, C.; Sekimoto, S.; et al. Tunable terahertz emission from the intrinsic Josephson junctions in acute isosceles triangular Bi2Sr2CaCu2O8+d mesas. Opt. Express 2013, 21, 2171–2184. [Google Scholar] [CrossRef]
- Cao, W.; Singh, R.; Zhang, C.; Han, J.; Tonouchi, M.; Zhang, W. Plasmon-induced transparency in metamaterials: Active near field coupling between bright superconducting and dark metallic mode resonators. Appl. Phys. Lett. 2013, 103, 101106. [Google Scholar] [CrossRef]
- Zhang, Y.; Li, C.; Tu, X. Tuning Electromagnetically Induced Transparency of Superconducting Metamaterial Analyzed with Equivalent Circuit Approach. Prog. Electrom. Res. M 2020, 91, 29–37. [Google Scholar] [CrossRef]
- Li, C.; Wu, J.; Jiang, S.; Su, R.; Zhang, C.; Jiang, C.; Zhou, G.; Jin, B.; Kang, L.; Xu, W.; et al. Electrical dynamic modulation of THz radiation based on superconducting metamaterials. Appl. Phys. Lett. 2017, 111, 092601. [Google Scholar] [CrossRef]
- García-García, J.; Martín, F.; Baena, J.D.; Marqués, R.; Jelinek, L. On the resonances and polarizabilities of split ring resonators. J. Appl. Phys. 2005, 98, 033103. [Google Scholar] [CrossRef]
- Bitzer, A.; Merbold, H.; Thoman, A.; Feurer, T.; Helm, H.; Walther, M. Terahertz Near-Field Imaging of Electric and Magnetic Resonances of a Planar Metamaterial. Opt. Express 2009, 17, 3826–3834. [Google Scholar] [CrossRef]
- Totzeck, M.; Krumbügel, M.A. Extension of Babinet’s principle and the Andrews boundary diffraction wave to weak phase objects. J. Opt. Soc. Am. A 1994, 11, 3235–3240. [Google Scholar] [CrossRef]
- Ortiz, J.D.; del Risco, J.P.; Baena, J.D.; Marqués, R. Extension of Babinet’s principle for plasmonic metasurfaces. Appl. Phys. Lett. 2021, 119, 161103. [Google Scholar] [CrossRef]
- Bitzer, A.; Ortner, A.; Merbold, H.; Feurer, T.; Walther, M. Terahertz Near-Field Microscopy of Complementary Planar Metamaterials: Babinet’s Principle. Opt. Express 2011, 19, 2537–2545. [Google Scholar] [CrossRef] [PubMed]
- Falcone, F.; Lopetegi, T.; Laso, M.; Baena, J.D.; Bonache, J.; Beruete, M.; Marqués, R.; Martín, F.; Sorolla, M. Babinet Principle Applied to the Design of Metasurfaces and Metamaterials. Phys. Rev. Lett. 2004, 93, 197401. [Google Scholar] [CrossRef] [PubMed]
- Klein, M.W.; Enkrich, C.; Wegener, M.; Soukoulis, C.M.; Linden, S. Single-slit split-ring resonators at optical frequencies: Limits of size scaling. Opt. Lett. 2006, 31, 1259–1261. [Google Scholar] [CrossRef]
- Jin, B.; Zhang, C.; Engelbrecht, S.; Pimenov, A.; Wu, J.; Xu, Q.; Cao, C.; Chen, J.; Xu, W.; Kang, L.; et al. Low Loss and Magnetic Field-Tuned Superconducting THz Metamaterial; Optical Society of America: Washington, DC, USA, 2010. [Google Scholar]
- Garcia-Garcia, J.; Bonache, J.; Gil, I.; Martin, F.; Velazquez-Ahumada, M.C.; Martel, J. Miniaturized microstrip and CPW filters using coupled metamaterial resonators. IEEE Trans. Microw. Theory. Tech. 2006, 54, 2628–2635. [Google Scholar] [CrossRef]
- Tan, T.C.; Plum, E.; Singh, R. Surface Lattice Resonances in THz Metamaterials. Photonics 2019, 6, 75. [Google Scholar] [CrossRef]
- Chen, H.-T.; Yang, H.; Singh, R.; O’Hara, J.F.; Azad, A.K.; Trugman, S.A.; Jia, Q.X.; Taylor, A.J. Tuning the Resonance in High-Temperature Superconducting Terahertz Metamaterials. Phys. Rev. Lett. 2010, 105, 247402. [Google Scholar] [CrossRef] [PubMed]
- Kiwa, T.; Tonouchi, M. High frequency properties of YBCO thin films diagnosed by time-domain terahertz spectroscopy. Phys. C 2001, 362, 314–318. [Google Scholar] [CrossRef]
- Klein, N. High-frequency applications of high-temperature superconductor thin films. Rep. Prog. Phys. 2002, 65, 1387–1425. [Google Scholar] [CrossRef]
- Gao, F.; Whitaker, J.F.; Uher, C. High-Frequency Surface Impedance and Penetration Depth of YBa2Cu307 Films: Coherent Time-Domain Spectroscopy Method. IEEE Trans. Appl. Supercond. 1995, 5, 2. [Google Scholar] [CrossRef]
- Wallace, G.Q.; Lagugné-Labarthet, F. Advancements in fractal plasmonics: Structures, optical properties, and applications. Analyst 2019, 144, 13–30. [Google Scholar] [CrossRef]
- Panaro, S.; Nazir, A.; Proietti Zaccaria, R.; Razzari, L.; Liberale, C.; De Angelis, F.; Toma, A. Plasmonic Moon: A Fano-Like Approach for Squeezing the Magnetic Field in the Infrared. Nano Lett. 2015, 15, 6128–6134. [Google Scholar] [CrossRef]





Publisher’s Note: MDPI stays neutral with regard to jurisdictional claims in published maps and institutional affiliations. |
© 2022 by the authors. Licensee MDPI, Basel, Switzerland. This article is an open access article distributed under the terms and conditions of the Creative Commons Attribution (CC BY) license (https://creativecommons.org/licenses/by/4.0/).
Share and Cite
Macis, S.; Paolozzi, M.C.; D’Arco, A.; Tomarchio, L.; Di Gaspare, A.; Lupi, S. Terahertz Resonators Based on YBa2Cu3O7 High-Tc Superconductor. Appl. Sci. 2022, 12, 10242. https://doi.org/10.3390/app122010242
Macis S, Paolozzi MC, D’Arco A, Tomarchio L, Di Gaspare A, Lupi S. Terahertz Resonators Based on YBa2Cu3O7 High-Tc Superconductor. Applied Sciences. 2022; 12(20):10242. https://doi.org/10.3390/app122010242
Chicago/Turabian StyleMacis, Salvatore, Maria Chiara Paolozzi, Annalisa D’Arco, Luca Tomarchio, Alessandra Di Gaspare, and Stefano Lupi. 2022. "Terahertz Resonators Based on YBa2Cu3O7 High-Tc Superconductor" Applied Sciences 12, no. 20: 10242. https://doi.org/10.3390/app122010242
APA StyleMacis, S., Paolozzi, M. C., D’Arco, A., Tomarchio, L., Di Gaspare, A., & Lupi, S. (2022). Terahertz Resonators Based on YBa2Cu3O7 High-Tc Superconductor. Applied Sciences, 12(20), 10242. https://doi.org/10.3390/app122010242

