Soft-Output Detector Using Multi-Layer Perceptron for Bit-Patterned Media Recording
Abstract
:1. Introduction
2. BPMR Channel Model
3. Proposed Soft-Output Detector Using Multi-Layer Perceptron
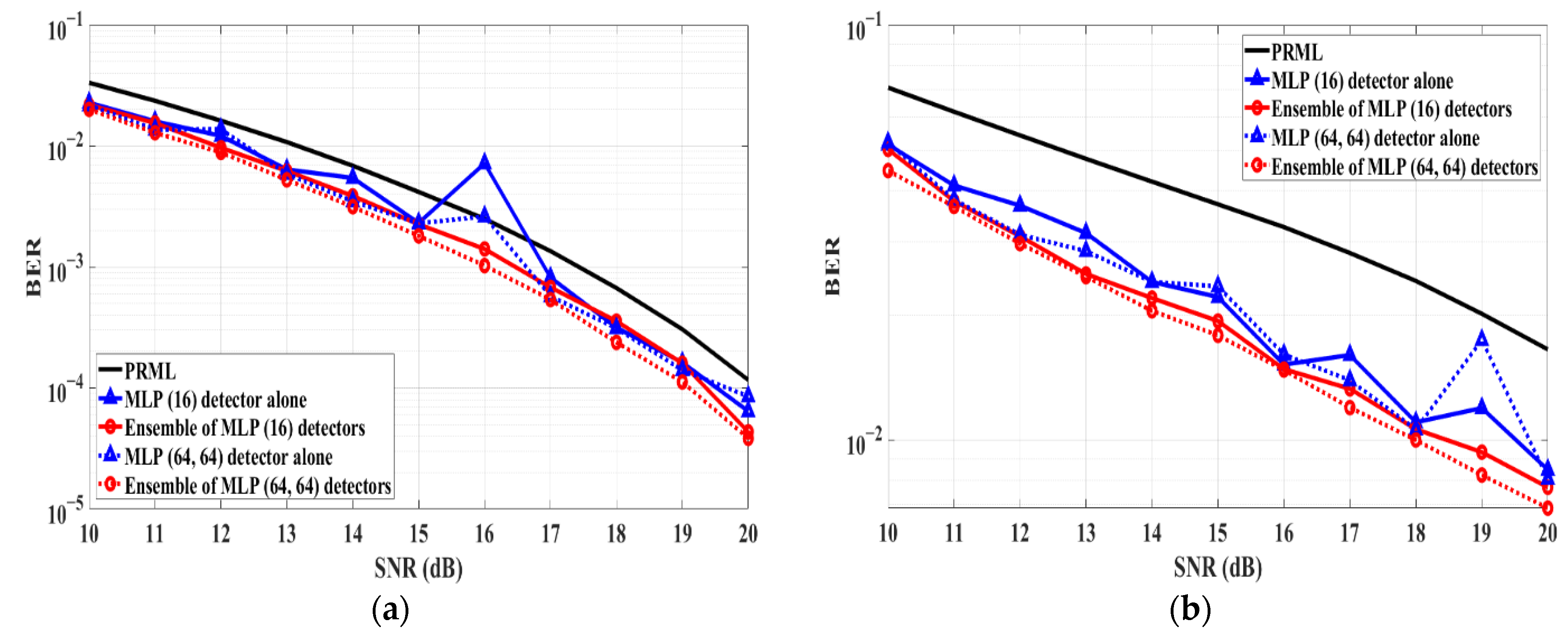
4. Discussion
5. Conclusions
Author Contributions
Funding
Institutional Review Board Statement
Informed Consent Statement
Data Availability Statement
Conflicts of Interest
References
- White, R.L.; New, R.M.H.; Pease, R.F.W. Patterned media: A viable route to 50 Gbit/in2 and up for magnetic recording. IEEE Trans. Magn. 1997, 33, 990–995. [Google Scholar] [CrossRef]
- Richter, H.J.; Dobin, A.Y.; Heinonen, O.; Gao, K.Z.; Veerdonk, R.J.M.V.D.; Lynch, R.T.; Xue, J.; Weller, D.; Asselin, P.; Erden, M.F.; et al. Recording on bit-patterned media at densities of 1 Tb/in2 and beyond. IEEE Trans. Magn. 2006, 42, 2255–2260. [Google Scholar] [CrossRef]
- Zhu, J.; Lin, Z.; Guan, L.; Messner, W. Recording, noise, and servo characteristics of patterned thin film media. IEEE Trans. Magn. 2000, 36, 23–29. [Google Scholar]
- Nutter, P.W.; Ntokas, I.T.; Middleton, B.K.; Wilton, D.T. Effect of island distribution on error rate performance in patterned media. IEEE Trans. Magn. 2005, 41, 3214–3216. [Google Scholar] [CrossRef]
- Moon, J.; Zeng, W. Equalization for maximum likelihood detectors. IEEE Trans. Magn. 1995, 31, 1083–1088. [Google Scholar] [CrossRef]
- Ng, Y.; Cai, K.; Kumar, B.V.K.V.; Zhang, S.; Chong, T.C. Modeling and two-dimensional equalization for bit-patterned media channels with media noise. IEEE Trans. Magn. 2009, 45, 3535–3538. [Google Scholar]
- Nguyen, C.D.; Lee, J. Elimination of two-dimensional intersymbol interference through the use of a 9/12 two-dimensional modulation code. IET Commun. 2016, 10, 1730–1735. [Google Scholar] [CrossRef]
- Jeong, S.; Lee, J. Modulation code for reducing intertrack interference on staggered bit-patterned media recording. Appl. Sci. 2020, 10, 5295. [Google Scholar] [CrossRef]
- Sayyafan, A.; Belzer, B.J.; Sivakumar, K.; Shen, J.; Chan, K.S.; James, A. Deep neural network based media noise predictors for use in high-density magnetic recording turbo-detectors. IEEE Trans. Magn. 2019, 55, 6701406. [Google Scholar] [CrossRef]
- Han, S.; Kong, G.; Choi, S. A detection scheme with TMR estimation based on multi-layer perceptrons for bit patterned media recording. IEEE Trans. Magn. 2019, 55, 3100704. [Google Scholar] [CrossRef]
- Nishikawa, M.; Nakamura, Y.; Osawa, H.; Okamoto, Y.; Kanai, Y. A study on iterative decoding with LLR modulator using neural network in SMR system. IEEE Trans. Magn. 2019, 55, 3100604. [Google Scholar] [CrossRef]
- Katano, Y.; Muroi, T.; Kinoshita, N.; Ishii, N.; Hayashi, N. Data demodulation using convolutional neural networks for holographic data storage. Jpn. J. Appl. Phys. 2018, 57, 09SC01. [Google Scholar] [CrossRef]
- Nabavi, S.; Kumar, B.V.K.V.; Bain, J.A.; Hogg, C.; Majetich, S.A. Application of image processing to characterize patterning noise in self-assembled nano-masks for bit-patterned media. IEEE Trans. Magn. 2009, 45, 3523–3526. [Google Scholar] [CrossRef]
- Ioffe, S.; Szegedy, C. Batch normalization: Accelerating deep network training by reducing internal covariate shift. In Proceedings of the 32nd International Conference on Machine Learning (PMLR), Lille, France, 6–11 July 2015. [Google Scholar]
- He, K.; Zhang, X.; Ren, S.; Sun, J. Delving deep into rectifiers: Surpassing human-level performance on ImageNet classification. In Proceedings of the IEEE International Conference on Computer Vision (ICCV), Santiago, Chile, 7–13 December 2015. [Google Scholar]
- Kingma, D.P.; Ba, J. Adam: A method for stochastic optimization. In Proceedings of the International Conference Learn. Represent. (ICLR), San Diego, CA, USA, 7–9 May 2015. [Google Scholar]
- Chollet, F. Deep Learning with Python, 1st ed.; Manning Publications: Shelter Island, NY, USA, 2018; pp. 61–62. [Google Scholar]
- Jeong, S.; Lee, J. Modulation code and multilayer perceptron decoding for bit-patterned media recording. EEE Magn. Lett. 2020, 11, 6502705. [Google Scholar] [CrossRef]








| Mean | Variance | |||
|---|---|---|---|---|
| −1 bit | +1 bit | −1 bit | +1 bit | |
| PRML | −3.59 | 3.59 | 2.07 | 2.07 |
| MLP detector alone | −3.52 | 3.38 | 1.24 | 1.32 |
| Ensemble of MLP detectors | −3.37 | 3.26 | 1.18 | 1.20 |
Publisher’s Note: MDPI stays neutral with regard to jurisdictional claims in published maps and institutional affiliations. |
© 2022 by the authors. Licensee MDPI, Basel, Switzerland. This article is an open access article distributed under the terms and conditions of the Creative Commons Attribution (CC BY) license (https://creativecommons.org/licenses/by/4.0/).
Share and Cite
Jeong, S.; Lee, J. Soft-Output Detector Using Multi-Layer Perceptron for Bit-Patterned Media Recording. Appl. Sci. 2022, 12, 620. https://doi.org/10.3390/app12020620
Jeong S, Lee J. Soft-Output Detector Using Multi-Layer Perceptron for Bit-Patterned Media Recording. Applied Sciences. 2022; 12(2):620. https://doi.org/10.3390/app12020620
Chicago/Turabian StyleJeong, Seongkwon, and Jaejin Lee. 2022. "Soft-Output Detector Using Multi-Layer Perceptron for Bit-Patterned Media Recording" Applied Sciences 12, no. 2: 620. https://doi.org/10.3390/app12020620
APA StyleJeong, S., & Lee, J. (2022). Soft-Output Detector Using Multi-Layer Perceptron for Bit-Patterned Media Recording. Applied Sciences, 12(2), 620. https://doi.org/10.3390/app12020620

