Numerical Investigation on the Principle of Energy Separation in the Vortex Tube
Abstract
1. Introduction
2. Numerical Methods
3. Results and Discussion
3.1. Validation
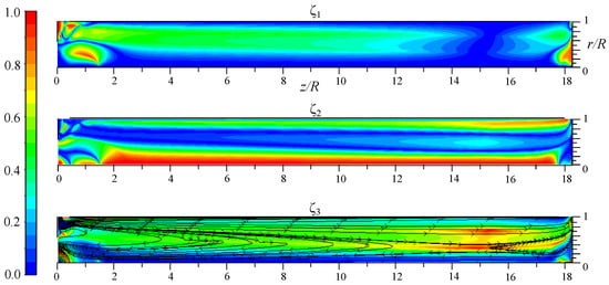
3.2. Total Temperature Separation
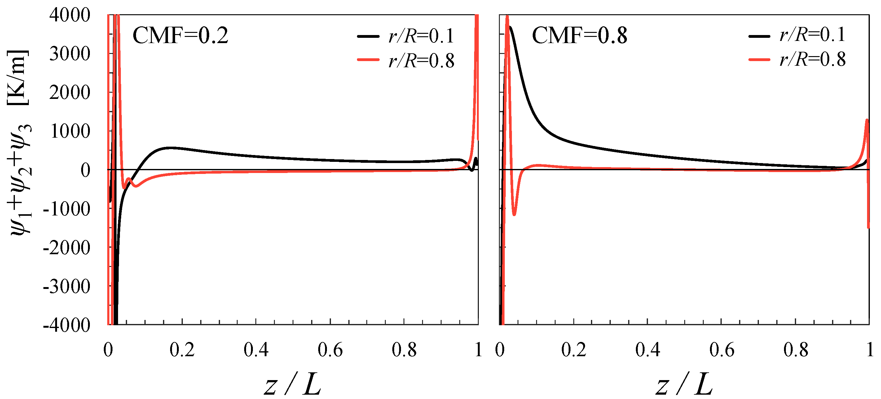
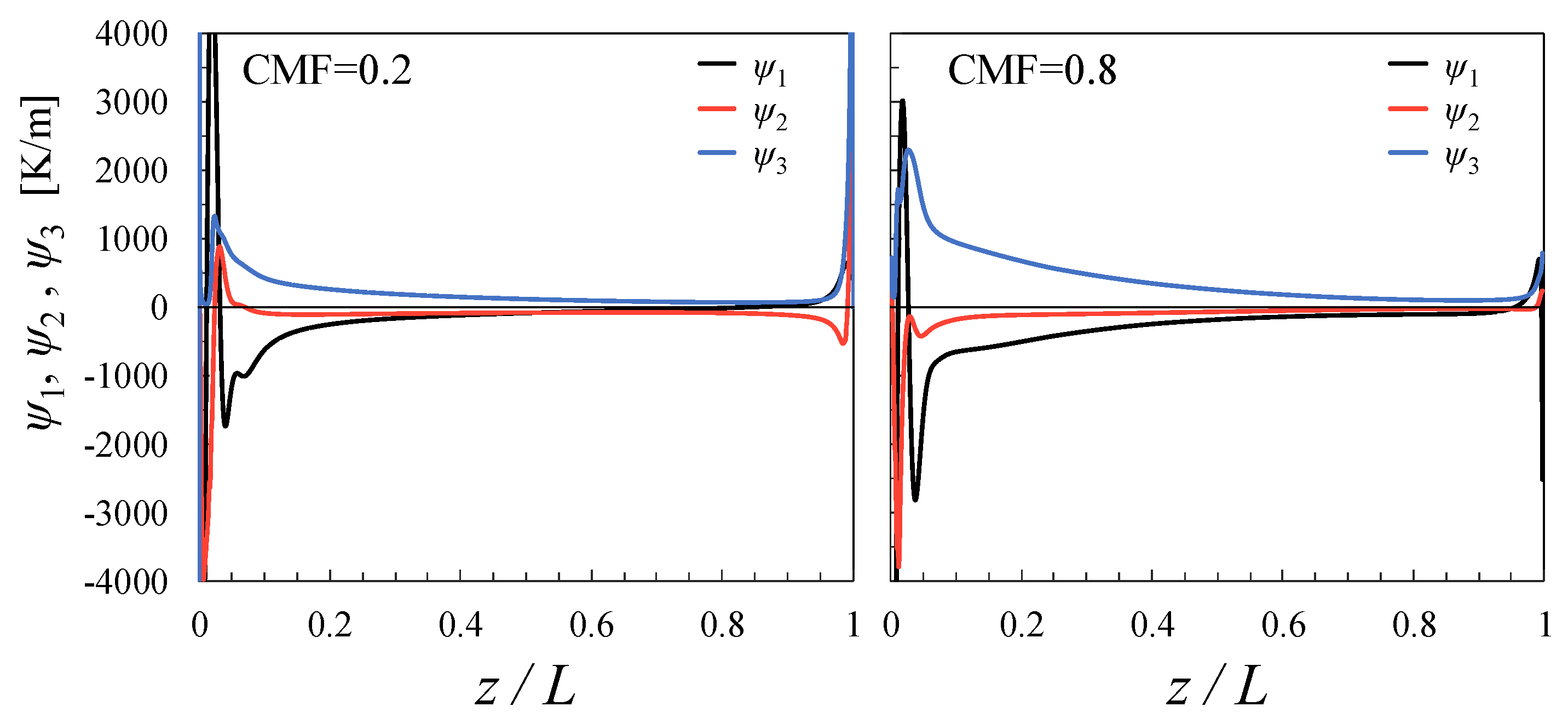
3.3. Temperature Separation
4. Conclusions
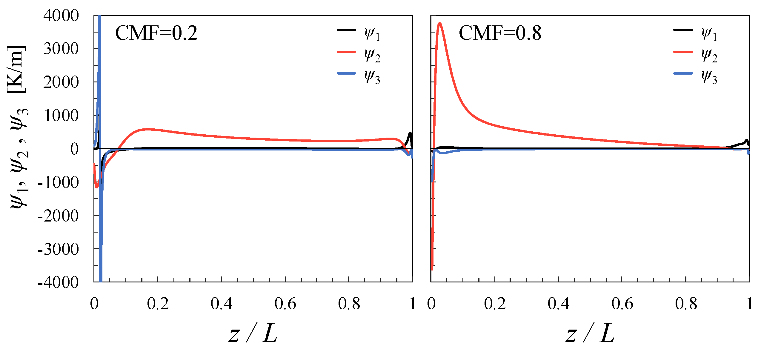
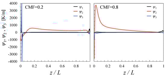
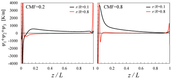
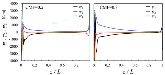
- The axial pressure gradient in the near-axis region was the major contributor to an increase in temperature in the axial direction. Due to narrowing the hot exit area by the throttle valve, the pressure increased in the near-axis region, and the temperature increased in the axial direction due to reversible compression.
- The higher the cold mass fraction, the higher the hot exit temperature was, which was attributed to the fact that, as the pressure in the near-axis region at the hot exit section increased, the return of flow from the hot exit section toward the cold exit section became large.
- The viscous dissipation effect was significant only in the region adjacent to the stagnation point.
- The tendency of the cold exit temperature with respect to the cold mass fraction was explained as follows:
- When the cold mass fraction was low and the negative pressure zone was too large, a partial backflow of atmospheric air through the cold exit occurred. In that condition, the decrease in cold exit temperature decreased with a decrease in the cold mass fraction.
- When the cold mass fraction was large such that a partial backflow did not occur through the cold exit, the cold exit temperature decreased with an increase in the cold mass fraction. The reason was that the core vortex flow moving toward the cold exit served to transport the hot air in the hot exit region to the cold exit region. It was interesting that, for a high cold mass fraction, the temperature in the near-axis region tended to be higher than that in the periphery region.
Author Contributions
Funding
Institutional Review Board Statement
Informed Consent Statement
Data Availability Statement
Conflicts of Interest
References
- Ranque, G.J. Experiments on Expansion in a Vortex with Simultaneous Exhaust of Hot and Cold Air. J. Phys. Radium 1933, 4, 112–114. [Google Scholar]
- Hilsch, R. The use of the expansion of gases in a centrifugal field as cooling process. Rev. Sci. Instrum. 1947, 18, 108–113. [Google Scholar] [CrossRef] [PubMed]
- Thakare, H.R.; Monde, A.; Parekh, A.D. Experimental, computational and optimization studies of temperature separation and flow physics of vortex tube: A review. Renew. Sustain. Energy Rev. 2015, 52, 1043–1071. [Google Scholar] [CrossRef]
- Im, S.Y.; Yu, S.S. Effects of geometric parameters on the separated air flow temperature of a vortex tube for design optimization. Energy 2012, 37, 154–160. [Google Scholar] [CrossRef]
- Khait, A.; Noskov, A.; Alekhin, V.; Bianco, V. Analysis of the local entropy generation in a double-circuit vortex tube. Appl. Therm. Eng. 2018, 130, 1391–1403. [Google Scholar] [CrossRef]
- Khait, A.; Bianco, V.; Lovtsov, A.; Noskov, A.; Alekhin, V. Novel transonic nozzle for Ranque-Hilsch vortex tube. Int. J. Heat Mass Transf. 2021, 180, 121801. [Google Scholar] [CrossRef]
- Zhang, B.; Guo, X. Prospective applications of Ranque–Hilsch vortex tubes to sustainable energy utilization and energy efficiency improvement with energy and mass separation. Renew. Sustain. Energy Rev. 2018, 89, 135–150. [Google Scholar] [CrossRef]
- Liu, X.; Liu, Z. Investigation of the energy separation effect and flow mechanism inside a vortex tube. Appl. Therm. Eng. 2014, 67, 494–506. [Google Scholar] [CrossRef]
- Farouk, T.; Farouk, B. Large eddy simulations of the flow field and temperature separation in the Ranque–Hilsch vortex tube. Int. J. Heat Mass Transf. 2007, 50, 4724–4735. [Google Scholar] [CrossRef]
- Xue, Y.; Binns, J.R.; Arjomandi, M.; Yan, H. Experimental investigation of the flow characteristics within a vortex tube with different configurations. Int. J. Heat Fluid Flow 2019, 75, 195–208. [Google Scholar] [CrossRef]
- Xue, Y.; Arjomandi, M.; Kelso, R. A critical review of temperature separation in a vortex tube. Exp. Therm. Fluid Sci. 2010, 34, 1367–1374. [Google Scholar] [CrossRef]
- Eiamsa-ard, S.; Promvonge, P. Numerical simulation of flow field and temperature separation in a vortex tube. Int. Commun. Heat Mass Transf. 2008, 35, 937–947. [Google Scholar] [CrossRef]
- Kazantseva, O.V.; Piralishvili, S.A.; Fuzeeva, A.A. Numerical Simulation of Swirling Flows in Vortex Tubes. High Temp. 2005, 43, 608–613. [Google Scholar] [CrossRef]
- Arbuzov, V.A.; Dubnishchev, Y.N.; Lebedev, A.V.; Pravdina, M.K.; Yavorski, N.I. Observation of large-scale hydrodynamic structures in a vortex tube and the Ranque effect. Tech. Phys. Lett. 1997, 23, 938–940. [Google Scholar] [CrossRef]
- Behera, U.; Paul, P.J.; Dinesh, K.; Jacob, S. Numerical investigations on flow behaviour and energy separation in Ranque–Hilsch vortex tube. Int. J. Heat Mass Transf. 2008, 51, 6077–6089. [Google Scholar] [CrossRef]
- Shannak, B.A. Temperature separation and friction losses in vortex tube. Heat Mass Transf. 2004, 40, 779–785. [Google Scholar] [CrossRef]
- Gao, C.M.; Bosschaart, K.J.; Zeegers, J.C.H.; de Waele, A.T.A.M. Experimental study on a simple Ranque–Hilsch vortex tube. Cryogenics 2005, 45, 173–183. [Google Scholar] [CrossRef]
- Kurosaka, M. Acoustic streaming in swirling flow and the Ranque—Hilsch (vortex-tube) effect. J. Fluid Mech. 1982, 124, 139–172. [Google Scholar] [CrossRef]
- Stephan, K.; Lin, S.; Durst, M.; Huang, F.; Seher, D. An investigation of energy separation in a vortex tube. Int. J. Heat Mass Transf. 1983, 26, 341–348. [Google Scholar] [CrossRef]
- Ahlborn, B.; Keller, J.U.; Staudt, R.; Treitz, G.; Rebhan, E. Limits of temperature separation in a vortex tube. J. Phys. D Appl. Phys. 1994, 27, 480–488. [Google Scholar] [CrossRef]
- Ahlborn, B.K.; Keller, J.U.; Rebhan, E. The Heat Pump in a Vortex Tube. J. Non-Equilib. Thermodyn. 1998, 23, 159–165. [Google Scholar] [CrossRef]
- Ahlborn, B.K.; Gordon, J.M. The vortex tube as a classic thermodynamic refrigeration cycle. J. Appl. Phys. 2000, 88, 3645–3653. [Google Scholar] [CrossRef]
- Behera, U.; Paul, P.J.; Kasthurirengan, S.; Karunanithi, R.; Ram, S.N.; Dinesh, K.; Jacob, S. CFD analysis and experimental investigations towards optimizing the parameters of Ranque–Hilsch vortex tube. Int. J. Heat Mass Transf. 2005, 48, 1961–1973. [Google Scholar] [CrossRef]
- Dutta, T.; Sinhamahapatra, K.; Bandyopadhyay, S. CFD analysis of energy separation in Ranque-Hilsch vortex tube at cryogenic temperature. J. Fluids 2013, 2013, 562027. [Google Scholar] [CrossRef]
- Xue, Y.; Arjomandi, M.; Kelso, R. Experimental study of the thermal separation in a vortex tube. Exp. Therm. Fluid Sci. 2013, 46, 175–182. [Google Scholar] [CrossRef]
- Guo, X.; Zhang, B. Analysis of the unsteady heat and mass transfer processes in a Ranque–Hilsch vortex tube: Tube optimization criteria. Int. J. Heat Mass Transf. 2018, 127, 68–79. [Google Scholar] [CrossRef]
- Kassner, R.; Knoernschild, E.M. Friction Laws and Energy Transfer in Circular Flow. Part 1—The Law of Shear Stresses in Circular Flow. Part 2—Energy Transfer in Circular Flow and Possible Applications (Explanation of the Hilsch or Ranque Effect); Headquarters Air Materiel Command Wright-Patterson Air Force Base: Dayton, OH, USA, 1948. [Google Scholar]
- Liew, R.; Zeegers, J.C.H.; Kuerten, J.G.M.; Michalek, W.R. Maxwell’s Demon in the Ranque-Hilsch Vortex Tube. Phys. Rev. Lett. 2012, 109, 054503. [Google Scholar] [CrossRef]
- Kolmes, E.J.; Geyko, V.I.; Fisch, N.J. Heat pump model for Ranque–Hilsch vortex tubes. Int. J. Heat Mass Transf. 2017, 107, 771–777. [Google Scholar] [CrossRef]
- Guo, X.; Zhang, B.; Shan, Y. LES study on the working mechanism of large-scale precessing vortices and energy separation process of Ranque-Hilsch vortex tube. Int. J. Therm. Sci. 2021, 163, 106818. [Google Scholar] [CrossRef]
- Karthikeya Sharma, T.; Amba Prasad Rao, G.; Madhu Murthy, K. Numerical Analysis of a Vortex Tube: A Review. Arch. Comput. Methods Eng. 2017, 24, 251–280. [Google Scholar] [CrossRef]
- Mirjalili, M.; Ghorbanian, K. Numerical investigation of transient thermo-fluid processes in a Ranque-Hilsch vortex tube. Int. J. Refrig. 2021, 131, 746–755. [Google Scholar] [CrossRef]
- Thakare, H.R.; Parekh, A.D. CFD analysis of energy separation of vortex tube employing different gases, turbulence models and discretisation schemes. Int. J. Heat Mass Transf. 2014, 78, 360–370. [Google Scholar] [CrossRef]
- Manimaran, R. Computational analysis of energy separation in a counter-flow vortex tube based on inlet shape and aspect ratio. Energy 2016, 107, 17–28. [Google Scholar] [CrossRef]
- Aljuwayhel, N.F.; Nellis, G.F.; Klein, S.A. Parametric and internal study of the vortex tube using a CFD model. Int. J. Refrig. 2005, 28, 442–450. [Google Scholar] [CrossRef]
- Thakare, H.R.; Parekh, A.D. Computational analysis of energy separation in counter—Flow vortex tube. Energy 2015, 85, 62–77. [Google Scholar] [CrossRef]
- Dutta, T.; Sinhamahapatra, K.P.; Bandyopdhyay, S.S. Comparison of different turbulence models in predicting the temperature separation in a Ranque–Hilsch vortex tube. Int. J. Refrig. 2010, 33, 783–792. [Google Scholar] [CrossRef]
- Chen, J.; Zeng, R.; Zhang, W.; Qiu, L.; Zhang, X. Numerical analysis of energy separation in Ranque-Hilsch vortex tube with gaseous hydrogen using real gas model. Appl. Therm. Eng. 2018, 140, 287–294. [Google Scholar] [CrossRef]
- Baghdad, M.; Ouadha, A.; Imine, O.; Addad, Y. Numerical study of energy separation in a vortex tube with different RANS models. Int. J. Therm. Sci. 2011, 50, 2377–2385. [Google Scholar] [CrossRef]
- Bianco, V.; Khait, A.; Noskov, A.; Alekhin, V. A comparison of the application of RSM and LES turbulence models in the numerical simulation of thermal and flow patterns in a double-circuit Ranque-Hilsch vortex tube. Appl. Therm. Eng. 2016, 106, 1244–1256. [Google Scholar] [CrossRef]
- Alekhin, V.; Bianco, V.; Khait, A.; Noskov, A. Numerical investigation of a double-circuit Ranque–Hilsch vortex tube. Int. J. Therm. Sci. 2015, 89, 272–282. [Google Scholar] [CrossRef]
- Secchiaroli, A.; Ricci, R.; Montelpare, S.; D’Alessandro, V. Numerical simulation of turbulent flow in a Ranque–Hilsch vortex tube. Int. J. Heat Mass Transf. 2009, 52, 5496–5511. [Google Scholar] [CrossRef]
- Eiamsa-ard, S.; Promvonge, P. Numerical investigation of the thermal separation in a Ranque–Hilsch vortex tube. Int. J. Heat Mass Transf. 2007, 50, 821–832. [Google Scholar] [CrossRef]
- Ouadha, A.; Baghdad, M.; Addad, Y. Effects of variable thermophysical properties on flow and energy separation in a vortex tube. Int. J. Refrig. 2013, 36, 2426–2437. [Google Scholar] [CrossRef]
- Khait, A.V.; Noskov, A.S.; Lovtsov, A.V.; Alekhin, V.N. Semi-empirical turbulence model for numerical simulation of swirled compressible flows observed in Ranque–Hilsch vortex tube. Int. J. Refrig. 2014, 48, 132–141. [Google Scholar] [CrossRef]
- ANSYS. ANSYS Fluent Theory Guide (Release 2022R1); ANSYS: Canonsburg, PA, USA, 2022. [Google Scholar]
- Skye, H.M.; Nellis, G.F.; Klein, S.A. Comparison of CFD analysis to empirical data in a commercial vortex tube. Int. J. Refrig. 2006, 29, 71–80. [Google Scholar] [CrossRef]
- Dutta, T.; Sinhamahapatra, K.P.; Bandyopadhyay, S.S. Numerical investigation of gas species and energy separation in the Ranque-Hilsch vortex tube using real gas model. Int. J. Refrig. 2011, 34, 2118–2128. [Google Scholar] [CrossRef]













| Ref. | Dim. | Main Concern and Summary |
|---|---|---|
| [32] | 2D | Transient flow behavior |
| [33] | 2D | Turbulence model, working fluid |
| [34] | 3D | Flow structure, inlet shape, and aspect ratio |
| [35] | 2D | Temperature separation analysis based on heat transfer and shear work |
| [36] | 2D | Turbulence mode, flow structure, and working fluid |
| [24] | 2D | Turbulence model Temperature separation analysis based on heat transfer and shear work |
| [37] | 2D | Turbulence model |
| [38] | 2D | The increase in temperature in the radial direction was due to compression. |
| [39] | 3D | Turbulence model |
| [12] | 2D | Turbulence model |
| [40] | 3D | Flow structure based on LES |
| [9] | 2D | Flow structure based on LES |
| [41] | 3D | Flow structure based on LES |
| [42] | 3D | Flow structure based on LES |
| [30] | 3D | Flow structure based on LES |
| [43] | 2D |
|
| [44] | 3D | Variable fluid properties |
| [8] | 3D | The interaction of angular momentum transaction and kinetic energy transfer were found to be responsible for the temperature difference between the cold and hot fluids. |
| [45] | 3D | Gas compressibility |
Publisher’s Note: MDPI stays neutral with regard to jurisdictional claims in published maps and institutional affiliations. |
© 2022 by the authors. Licensee MDPI, Basel, Switzerland. This article is an open access article distributed under the terms and conditions of the Creative Commons Attribution (CC BY) license (https://creativecommons.org/licenses/by/4.0/).
Share and Cite
Park, S.Y.; Yoon, S.H.; Yu, S.S.; Kim, B.J. Numerical Investigation on the Principle of Energy Separation in the Vortex Tube. Appl. Sci. 2022, 12, 10142. https://doi.org/10.3390/app121910142
Park SY, Yoon SH, Yu SS, Kim BJ. Numerical Investigation on the Principle of Energy Separation in the Vortex Tube. Applied Sciences. 2022; 12(19):10142. https://doi.org/10.3390/app121910142
Chicago/Turabian StylePark, Seol Yeon, Sang Hee Yoon, Sang Seok Yu, and Byoung Jae Kim. 2022. "Numerical Investigation on the Principle of Energy Separation in the Vortex Tube" Applied Sciences 12, no. 19: 10142. https://doi.org/10.3390/app121910142
APA StylePark, S. Y., Yoon, S. H., Yu, S. S., & Kim, B. J. (2022). Numerical Investigation on the Principle of Energy Separation in the Vortex Tube. Applied Sciences, 12(19), 10142. https://doi.org/10.3390/app121910142

