Relationship between Hip Abductor Muscle Strength and Frontal Plane Kinematics: A Cross-Sectional Study in Elite Handball Athletes
Abstract
1. Introduction
2. Materials and Methods
2.1. Study Design
2.2. Participants
2.3. Procedure
2.3.1. Hip Abductor Muscles Strength
2.3.2. Frontal Plane Kinematics
2.4. Reliability of the Measures
2.5. Statistical Analysis
3. Results
4. Discussion
5. Conclusions
Author Contributions
Funding
Institutional Review Board Statement
Informed Consent Statement
Data Availability Statement
Acknowledgments
Conflicts of Interest
References
- Soligard, T.; Steffen, K.; Palmer, D.; Alonso, J.M.; Bahr, R.; Lopes, A.; Dvorak, J.; Grant, M.-E.; Meeuwisse, W.; Mountjoy, M.; et al. Sports injury and illness incidence in the Rio de Janeiro 2016 Olympic Summer Games: A prospective study of 11274 athletes from 207 countries. Br. J. Sports Med. 2017, 51, 1265–1271. [Google Scholar] [CrossRef] [PubMed]
- Bere, T.; Alonso, J.-M.; Wangensteen, A.; Bakken, A.; Eirale, C.; Dijkstra, H.P.; Ahmed, H.; Bahr, R.; Popovic, N. Injury and illness surveillance during the 24th Men's Handball World Championship 2015 in Qatar. Br. J. Sports Med. 2015, 49, 1151–1156. [Google Scholar] [CrossRef] [PubMed]
- Langevoort, G.; Myklebust, G.; Dvorak, J.; Junge, A. Handball injuries during major international tournaments. Scand. J. Med. Sci. Sports 2006, 17, 400–407. [Google Scholar] [CrossRef]
- Martín-Guzón, I.; Muñoz, A.; Lorenzo-Calvo, J.; Muriarte, D.; Marquina, M.; de la Rubia, A. Injury Prevalence of the Lower Limbs in Handball Players: A Systematic Review. Int. J. Environ. Res. Public Health 2021, 19, 332. [Google Scholar] [CrossRef] [PubMed]
- Barton, C.; Bonanno, D.; Carr, J.; Neal, B.; Malliaras, P.; Franklyn-Miller, A.; Menz, H. Running retraining to treat lower limb injuries: A mixed-methods study of current evidence synthesised with expert opinion. Br. J. Sports Med. 2016, 50, 513–526. [Google Scholar] [CrossRef]
- Ferber, R.; Noehren, B.; Hamill, J.; Davis, I. Competitive Female Runners with a History of Iliotibial Band Syndrome Demonstrate Atypical Hip and Knee Kinematics. J. Orthop. Sports Phys. Ther. 2010, 40, 52–58. [Google Scholar] [CrossRef] [PubMed]
- McCarthy, C.; Fleming, N.; Donne, B.; Blanksby, B. Barefoot running and hip kinematics: Good news for the knee? Med. Sci. Sports Exerc. 2015, 47, 1009–1016. [Google Scholar] [CrossRef] [PubMed]
- Neal, B.S.; Barton, C.J.; Gallie, R.; O’Halloran, P.; Morrissey, D. Runners with patellofemoral pain have altered biomechanics which targeted interventions can modify: A systematic review and meta-analysis. Gait Posture 2015, 45, 69–82. [Google Scholar] [CrossRef] [PubMed]
- Tsai, Y.-J.; Huang, Y.-C.; Chen, Y.-L.; Hsu, Y.-W.; Kuo, Y.-L. A Pilot Study of Hip Corrective Taping Using Kinesio Tape for Pain and Lower Extremity Joint Kinematics in Basketball Players with Patellofemoral Pain. J. Pain Res. 2020, 13, 1497–1503. [Google Scholar] [CrossRef]
- Larwa, J.; Stoy, C.; Chafetz, R.; Boniello, M.; Franklin, C. Stiff Landings, Core Stability, and Dynamic Knee Valgus: A Systematic Review on Documented Anterior Cruciate Ligament Ruptures in Male and Female Athletes. Int. J. Environ. Res. Public Health 2021, 18, 3826. [Google Scholar] [CrossRef]
- Petersen, W.; Rembitzki, I.; Liebau, C. Patellofemoral pain in athletes. Open Access J. Sports Med. 2017, 8, 143–154. [Google Scholar] [CrossRef] [PubMed]
- Koga, H.; Nakamae, A.; Shima, Y.; Iwasa, J.; Myklebust, G.; Engebretsen, L.; Bahr, R.; Krosshaug, T. Mechanisms for noncontact anterior cruciate ligament injuries: Knee joint kinematics in 10 injury situations from female team handball and basketball. Am. J. Sports Med. 2010, 38, 2218–2225. [Google Scholar] [CrossRef]
- Hewett, T.E.; Myer, G.D.; Ford, K.R.; Heidt, R.S., Jr.; Colosimo, A.J.; McLean, S.G.; Van Den Bogert, A.J.; Paterno, M.V.; Succop, P. Biomechanical Measures of Neuromuscular Control and Valgus Loading of the Knee Predict Anterior Cruciate Ligament Injury Risk in Female Athletes: A Prospective Study. Am. J. Sports Med. 2005, 33, 492–501. [Google Scholar] [CrossRef] [PubMed]
- Cashman, G.E. The Effect of Weak Hip Abductors or External Rotators on Knee Valgus Kinematics in Healthy Subjects: A Systematic Review. J. Sport Rehabil. 2012, 21, 273–284. [Google Scholar] [CrossRef] [PubMed]
- Wilczyński, B.; Zorena, K.; Ślęzak, D. Dynamic Knee Valgus in Single-Leg Movement Tasks. Potentially Modifiable Factors and Exercise Training Options. A Literature Review. Int. J. Environ. Res. Public Health 2020, 17, 8208. [Google Scholar] [CrossRef]
- Prins, M.R.; van der Wurff, P. Females with patellofemoral pain syndrome have weak hip muscles: A systematic review. Aust. J. Physiother. 2009, 55, 9–15. [Google Scholar] [CrossRef]
- Padua, D.A.; Marshall, S.W.; Beutler, A.I.; DeMaio, M.; Boden, B.P.; Yu, B.; Garrett, W.E. Predictors of Knee Valgus Angle During a Jump-landing Task. Med Sci Sport Exerc. 2005, 37, S398. [Google Scholar] [CrossRef]
- Willy, R.W.; Davis, I.S. The Effect of a Hip-Strengthening Program on Mechanics During Running and During a Single-Leg Squat. J. Orthop. Sports Phys. Ther. 2011, 41, 625–632. [Google Scholar] [CrossRef]
- Ferri-Caruana, A.; Prades Insa, B.; Serra Añó, P. Effects of pelvic and core strength training on biomechanical risk factors for anterior cruciate ligament injuries. J Sports Med Phys Fitness. 2020, 60, 1128–1136. [Google Scholar] [CrossRef]
- Bolgla, L.A.; Malone, T.R.; Umberger, B.R.; Uhl, T.L. Hip strength and hip and knee kinematics during stair descent in females with and without patellofemoral pain syndrome. J. Orthop. Sports Phys. Ther. 2008, 38, 12–18. [Google Scholar] [CrossRef]
- Schurr, S.A.; Marshall, A.N.; Resch, J.E.; Saliba, S.A. Two-Dimensional Video Analysis is Comparable To 3d Motion Capture in Lower Extremity Movement Assessment. Int. J. Sports Phys. Ther. 2017, 12, 163–172. [Google Scholar] [PubMed]
- Franko, O.I.; Tirrell, T.F. Smartphone App Use Among Medical Providers in ACGME Training Programs. J. Med Syst. 2011, 36, 3135–3139. [Google Scholar] [CrossRef]
- Herrington, L.; Alenezi, F.; Alzhrani, M.; Alrayani, H.; Jones, R. The reliability and criterion validity of 2D video assessment of single leg squat and hop landing. J. Electromyogr. Kinesiol. 2017, 34, 80–85. [Google Scholar] [CrossRef] [PubMed]
- Puig-Diví, A.; Escalona-Marfil, C.; Padullés-Riu, J.M.; Busquets, A.; Padullés-Chando, X.; Marcos-Ruiz, D. Validity and reliability of the Kinovea program in obtaining angles and distances using coordinates in 4 perspectives. PLoS ONE 2019, 14, e0216448. [Google Scholar] [CrossRef]
- Sañudo, B.; Rueda, D.; Pozo-Cruz, B.D.; de Hoyo, M.; Carrasco, L. Validation of a video analysis software package for quantifying movement velocity in resistance exercises. J strenght Cond Res. 2016, 30, 2934–2941. [Google Scholar] [CrossRef] [PubMed]
- Jiménez-del-Barrio, S.; Mingo-Gómez, M.T.; Estébanez-de-Miguel, E.; Saiz-Cantero, E.; del-Salvador-Miguélez, A.I.; Ceballos-Laita, L. Adaptations in pelvis, hip and knee kinematics during gait and muscle extensibility in low back pain patients: A cross-sectional study. J. Back Musculoskelet. Rehabil. 2020, 33, 49–56. [Google Scholar] [CrossRef]
- Ismail, S.I.; Adnan, R.; Sulaiman, N. Moderate Effort Instep Kick in Futsal. Procedia Eng. 2014, 72, 186–191. [Google Scholar] [CrossRef][Green Version]
- Torralba, J.; Padullés, R.; Losada, L.; López, D.A. Ecological alternative in measuring long jump of paralimpics athletes. Cuad. De Psicol. Del Deporte 2016, 16, 69–76. [Google Scholar]
- Balsalobre-Fernandez, C.; Tejero-Gonzales, C.; Campo-Vecino, J.; Bavareso, N. The concurrent validity and reliability of a low-cost, high-speed camera-based method for measuring the flight time of vertical jumps. J. Strength Cond. Res. 2015, 28, 528–533. [Google Scholar] [CrossRef]
- McCurdy, K.; Walker, J.; Armstrong, R.; Langford, G. Relationship Between Selected Measures of Strength and Hip and Knee Excursion During Unilateral and Bilateral Landings in Women. J. Strength Cond. Res. 2014, 28, 2429–2436. [Google Scholar] [CrossRef]
- Hertzog, M.A. Considerations in determining sample size for pilot studies. Res. Nurs. Health 2008, 31, 180–191. [Google Scholar] [CrossRef] [PubMed]
- van Melick, N.; Meddeler, B.M.; Hoogeboom, T.J.; Nijhuis-van der Sanden, M.W.G.; van Cingel, R.E.H. How to determine leg dominance: The agreement between self-reported and observed performance in healthy adults. PLoS ONE 2017, 12, e0189876. [Google Scholar] [CrossRef]
- Schneiders, A.G.; Sullivan, S.J.; O'Malley, K.J.; Clarke, S.V.; Knappstein, S.A.; Taylor, L.J. A Valid and Reliable Clinical Determination of Footedness. PM&R 2010, 2, 835–841. [Google Scholar] [CrossRef]
- Mentiplay, B.F.; Perraton, L.G.; Bower, K.J.; Adair, B.; Pua, Y.-H.; Williams, G.P.; McGaw, R.; Clark, R.A. Assessment of Lower Limb Muscle Strength and Power Using Hand-Held and Fixed Dynamometry: A Reliability and Validity Study. PLoS ONE 2015, 10, e0140822. [Google Scholar] [CrossRef] [PubMed]
- Parcell, A.C.; Sawyer, R.D.; Tricoli, V.; Chinevere, T.D. Minimum rest period for strength recovery during a common isokinetic testing protocol. Med. Sci. Sports Exerc. 2002, 34, 1018–1022. [Google Scholar] [CrossRef]
- Dingenen, B.; Malliaras, P.; Janssen, T.; Ceyssens, L.; Vanelderen, R.; Barton, C.J. Two-dimensional video analysis can discriminate differences in running kinematics between recreational runners with and without running-related knee injury. Phys. Ther. Sport 2019, 38, 184–191. [Google Scholar] [CrossRef]
- Damsted, C.; Nielsen, R.O.; Larsen, L.H. Reliability of video-based quantification of the knee- and hip angle at foot strike during running. Int. J. Sports Phys. Ther. 2015, 10, 147–154. [Google Scholar]
- Dingenen, B.; Staes, F.F.; Santermans, L.; Steurs, L.; Eerdekens, M.; Geentjens, J.; Peers, K.H.; Thysen, M.; Deschamps, K. Are two-dimensional measured frontal plane angles related to three-dimensional measured kinematic profiles during running? Phys. Ther. Sport. 2018, 29, 84–92. [Google Scholar] [CrossRef]
- Llurda-Almuzara, L.; Pérez-Bellmunt, A.; López-De-Celis, C.; Aiguadé, R.; Seijas, R.; Casasayas-Cos, O.; Labata-Lezaun, N.; Alvarez, P. Normative data and correlation between dynamic knee valgus and neuromuscular response among healthy active males: A cross-sectional study. Sci. Rep. 2020, 10, 17206. [Google Scholar] [CrossRef]
- Baude, M.; Hutin, E.; Gracies, J.-M. A Bidimensional System of Facial Movement Analysis Conception and Reliability in Adults. BioMed Res. Int. 2015, 2015, 812961. [Google Scholar] [CrossRef]
- Dingenen, B.; Barton, C.; Janssen, T.; Benoit, A.; Malliaras, P. Test-retest reliability of two-dimensional video analysis during running. Phys Ther Sport. 2018, 33, 40–47. [Google Scholar] [CrossRef] [PubMed]
- Weeks, B.K.; Carty, C.P.; Horan, S.A. Kinematic predictors of single-leg squat performance: A comparison of experienced physiotherapists and student physiotherapists. BMC Musculoskelet Disord. 2012, 13, 207. [Google Scholar] [CrossRef] [PubMed]
- Koo, T.K.; Li, M.Y. A Guideline of Selecting and Reporting Intraclass Correlation Coefficients for Reliability Research. J. Chiropr. Med. 2016, 15, 155–163. [Google Scholar] [CrossRef] [PubMed]
- Hopkins, W.G.; Marshall, S.W.; Batterham, A.M.; Hanin, J. Progressive Statistics for Studies in Sports Medicine and Exercise Science. Med. Sci. Sports Exerc. 2009, 41, 3–13. [Google Scholar] [CrossRef]
- Selistre, L.F.A.; Gonçalves, G.H.; Nakagawa, T.H.; Petrella, M.; Jones, R.K.; Mattiello, S. The role of hip abductor strength on the frontal plane of gait in subjects with medial knee osteoarthritis. Physiother. Res. Int. 2019, 24, e1779. [Google Scholar] [CrossRef]
- Park, S.-K.; Kobsar, D.; Ferber, R. Relationship between lower limb muscle strength, self-reported pain and function, and frontal plane gait kinematics in knee osteoarthritis. Clin. Biomech. 2016, 38, 68–74. [Google Scholar] [CrossRef]
- Zeitoune, G.; Leporace, G.; Batista, L.A.; Metsavaht, L.; Lucareli, P.R.G.; Nadal, J. Do hip strength, flexibility and running biomechanics predict dynamic valgus in female recreational runners? Gait Posture. 2020, 79, 217–223. [Google Scholar] [CrossRef]
- Brindle, R.A.; Ebaugh, D.D.; Willson, J.D.; Finley, M.A.; Shewokis, P.A.; Milner, C.E. Relationships of hip abductor strength, neuromuscular control, and hip width to femoral length ratio with peak hip adduction angle in healthy female runners. J. Sports Sci. 2020, 38, 2291–2297. [Google Scholar] [CrossRef]
- Willson, J.D.; Ireland, M.L.; Davis, I. Core strength and lower extremity alignment during single leg squats. Med Sci Sports Exerc. 2006, 38, 945–952. [Google Scholar] [CrossRef]
- Suzuki, H.; Omori, G.; Uematsu, D.; Nishino, K.; Endo, N. The influence of hip strength on knee kinematics during a single-legged medial drop landing among competitive collegiate basketball players. Int. J. Sports Phys. Ther. 2015, 10, 592–601. [Google Scholar]
- Fernández-González, P.; Koutsou, A.; Cuesta-Gómez, A.; Carratalá-Tejada, M.; Miangolarra-Page, J.C.; Molina-Rueda, F. Reliability of Kinovea® Software and Agreement with a Three-Dimensional Motion System for Gait Analysis in Healthy Subjects. Sensors 2020, 20, 3154. [Google Scholar] [CrossRef] [PubMed]


| ICC(2,1) (95% CI) | |
|---|---|
| Hip abductor strength (NW) | 0.97 (0.95, 0.98) |
| Contralateral pelvic drop (°) | 0.92 (0.9, 0.94) |
| Femoral adduction (°) | 0.95 (0.9, 0.97) |
| Knee valgus (°) | 0.97 (0.96, 0.98) |
| Dominant Limb | Non-Dominant Limb | Significance | |
|---|---|---|---|
| Hip abductor strength (NW) | 204.38 (34.67) | 186.43 (50.05) | 0.165 b |
| Contralateral pelvic drop (°) | 5.42 (3.53) | 5.72 (3.36) | 0.671 a |
| Femoral adduction (°) | 72.24 (8.08) | 73.22 (8.42) | 0.648 a |
| Knee valgus (°) | 164.43 (10.58) | 166.44 (9.46) | 0.522 a |
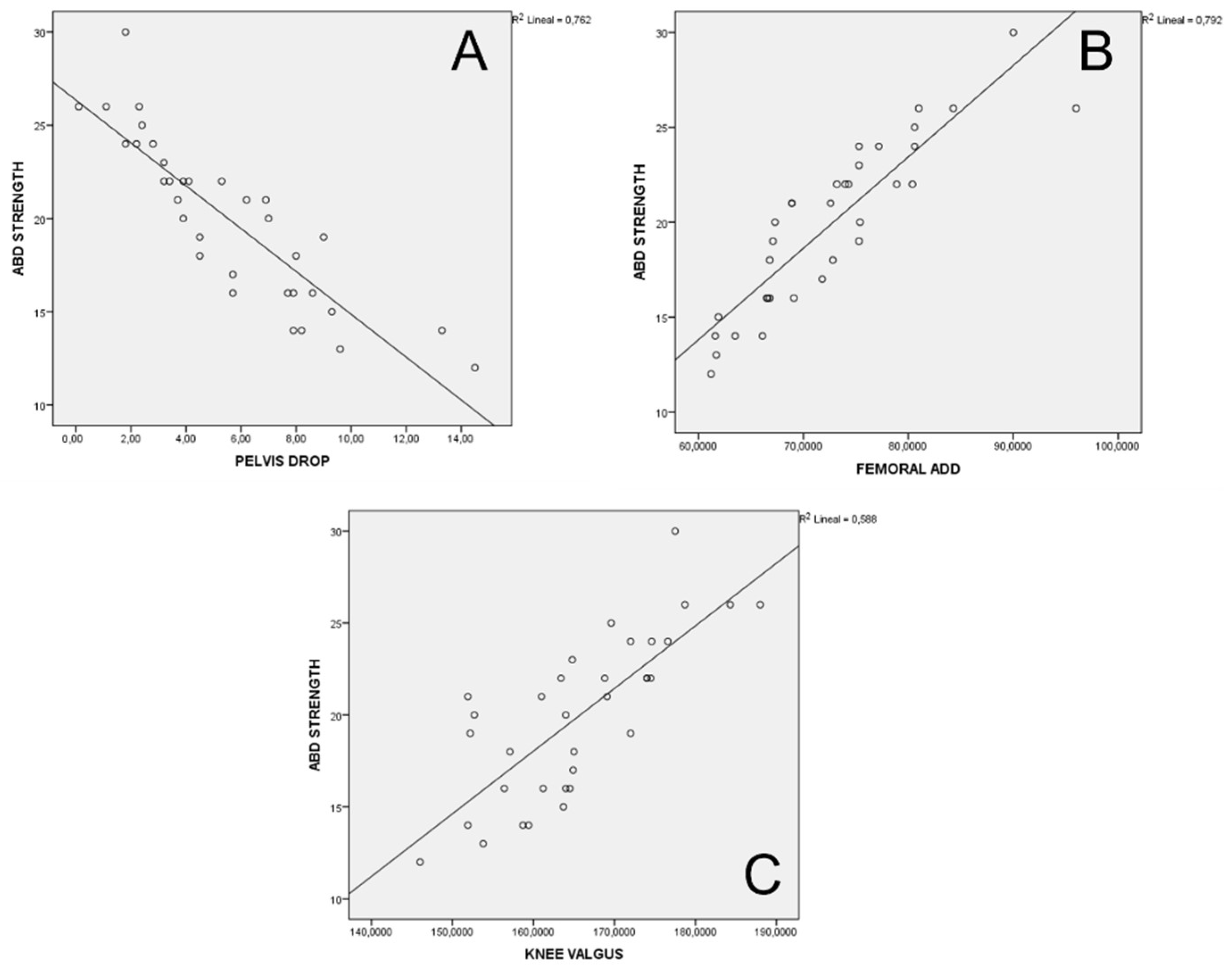
| Pearson Correlation | Pelvic Drop (°) | Femoral Adduction (°) | Knee Valgus (°) |
|---|---|---|---|
| Hip abductor strength (NW) | R = −0.873 | r = 0.767 | r = 0.855 |
| Significance | <0.001 | <0.001 | <0.001 |
Publisher’s Note: MDPI stays neutral with regard to jurisdictional claims in published maps and institutional affiliations. |
© 2022 by the authors. Licensee MDPI, Basel, Switzerland. This article is an open access article distributed under the terms and conditions of the Creative Commons Attribution (CC BY) license (https://creativecommons.org/licenses/by/4.0/).
Share and Cite
Ceballos-Laita, L.; Carrasco-Uribarren, A.; Cabanillas-Barea, S.; Pérez-Guillén, S.; Medrano-de-la-Fuente, R.; Hernando-Garijo, I.; Jiménez-del-Barrio, S. Relationship between Hip Abductor Muscle Strength and Frontal Plane Kinematics: A Cross-Sectional Study in Elite Handball Athletes. Appl. Sci. 2022, 12, 10044. https://doi.org/10.3390/app121910044
Ceballos-Laita L, Carrasco-Uribarren A, Cabanillas-Barea S, Pérez-Guillén S, Medrano-de-la-Fuente R, Hernando-Garijo I, Jiménez-del-Barrio S. Relationship between Hip Abductor Muscle Strength and Frontal Plane Kinematics: A Cross-Sectional Study in Elite Handball Athletes. Applied Sciences. 2022; 12(19):10044. https://doi.org/10.3390/app121910044
Chicago/Turabian StyleCeballos-Laita, Luis, Andoni Carrasco-Uribarren, Sara Cabanillas-Barea, Silvia Pérez-Guillén, Ricardo Medrano-de-la-Fuente, Ignacio Hernando-Garijo, and Sandra Jiménez-del-Barrio. 2022. "Relationship between Hip Abductor Muscle Strength and Frontal Plane Kinematics: A Cross-Sectional Study in Elite Handball Athletes" Applied Sciences 12, no. 19: 10044. https://doi.org/10.3390/app121910044
APA StyleCeballos-Laita, L., Carrasco-Uribarren, A., Cabanillas-Barea, S., Pérez-Guillén, S., Medrano-de-la-Fuente, R., Hernando-Garijo, I., & Jiménez-del-Barrio, S. (2022). Relationship between Hip Abductor Muscle Strength and Frontal Plane Kinematics: A Cross-Sectional Study in Elite Handball Athletes. Applied Sciences, 12(19), 10044. https://doi.org/10.3390/app121910044

