You are currently viewing a new version of our website. To view the old version click .
Applied Sciences
  • Article
  • Open Access

6 October 2022

Field Measurements of Free Ascending Behavior of Occupants along Medium-Long Stairway

,
,
,
,
and
1
Beijing Key Laboratory of Green Built Environment and Energy Efficient Technology, Faculty of Architecture, Civil and Transportation Engineering, Beijing University of Technology, Beijing 100124, China
2
Department of Building Environment and Energy Engineering, The Hong Kong Polytechnic University, Hong Kong 999077, China
3
Beijing General Municipal Engineering Design & Research Institute, Beijing 100082, China
*
Author to whom correspondence should be addressed.

Abstract

The human behavior of walking upstairs was studied by field measurement in a 10-storey building, which simulates the greatest depth of most underground facilities. The effects of age, gender, walking distance, and fatigue on individual free ascending speed on stairs were investigated. The experimental results showed that walking distance and fatigue due to the long-distance upward walking have great impact on the upward walking and ascent speed. When climbing over 8 floors (vertical height about 30 m), the mean ascent speeds were 0.97 m/s and 0.78 m/s for young males and females, and 0.91 m/s and 0.68 m/s for middle-aged males and females, respectively. The mean ascending speed that is used to predict the evacuation time should be combined with the traveling distance or floor levels. Ascent speed models for males and females walking along a medium-long stairway were developed to describe the fatigue effect on ascending speed based on the vertical heights travelled.

1. Introduction

With the increasing number of the underground facilities, such as subways, underground road tunnels, underground commercial buildings, and underground comprehensive transportation hubs, in recent years, safety issues, especially fire safety issues, are becoming more and more important. In underground fires, high temperature and a large amount of smoke would be produced [1,2,3], and how to evacuate the occupants to the ground quickly and safely is the key point in the safety of the underground buildings [4,5,6].
The stairway is an important element of evacuation in underground buildings. Fully understanding the ascending motion on stairs is important for improving the evacuation efficiency during emergency conditions. It can also help in accurately predicting the evacuation time and for the design of the evacuation facilities in underground buildings [7,8]. However, in contrast to research on descending stair evacuation [9,10,11], ascending stair evacuation has received little research attention in the past few years [12,13].
Age, gender, personal motility, dimensions of stairs, and crowd density are the common factors that can affect the walking speed on stairs [7,8,11,12,13]. Ascending on stairs is quite different from horizontal walking and descending on stairs. The human energy consumption for climbing stairs is about ten to fifteen times the energy needed for walking the equivalent horizontal distance [14]. The evacuation behavior on a tall stairway will differ from a short stairway. Physical exhaustion is often observed in walking a long distance upstairs, so fatigue due to vertical ascent would have a significant impact on the ascending speed and evacuation efficiency when walking for a long distance on stairs [15,16]. For ascending on a long stairway, the degree of fatigue is closely related to the ascent distance. The walking behavior along a medium-long stairway might also be different from that on a long stairway.
The subway station is a typical underground space with dense crowds, and safe evacuation from this kind of space is challenging and deserves detailed study. From a field survey, as shown in Figure 1, the depth of most subway stations in Beijing is no more than 30 m or near 30 m.
Figure 1. Depth of the subway stations in Beijing.
As the depth of most modern underground facilities is about 30 m, previous results of the walking behavior on short stairways or super long stairways might not be applicable. For reliable prediction of the evacuation efficiency from the underground levels, the walking behavior on a medium-long stairway with a height of about 30 m needs to be further studied. The effects of fatigue, gender, age, and travel distance on ascending behavior were investigated through field experiments in this paper. For ascending on long stairs, due to the different physical conditions of each person, the effects of the crowd density on the ascending speed only appear at the start of the stairway, and the free ascending behavior is the focus to study. The structure of the stair is almost the same in most underground buildings; therefore, the effect of the stair structure was also not included in this study. Use of handrails and tiredness feelings during the experiment were considered to analyze their effects on the ascending speed. The relationship between the ascending speed and the travel distance on stairs was investigated. The results are more reliable for predicting the evacuation time for modern underground facilities than only using a single mean ascent speed.

1.1. Research Works on Ascending Speed on Stairways

Ascending speeds are affected by various factors such as age, gender, personal motility, LEP (Leg Extensor Power), and staircase characteristics. Fruin [14,17] conducted an observation on two sets of staircases, and the results showed that average walking speeds (horizontal speed) on indoor stairs with a gradient of 32° were 0.51 m/s and those on outdoor stairs with 27° were 0.57 m/s. He categorized pedestrians into three age groups for both sexes, and showed that walking speed declined according to age and that women showed a lower speed than men. Fujiyama and Tyler [7,18,19] studied the effects of age, height, sex, LEP, and stair gradient on walking speed along the stairs. They found that LEP showed a strong correlation with walking speeds of elderly people on stairs, while for younger people, LEP had little effect on walking speed. A female’s walking speed is slightly lower than that of a male. The stair-gradient has a linear relationship with horizontal walking speeds on stairs. Yeo and He [20] collected stair walk speed data in Mass Rapid Transport stations in Singapore at peak travel times using video analysis. A total of six different stairways were observed, each involving between 12 and 17 steps. They collected several hundred data points of unimpeded vertical travel speed and found that males outpaced females in both the adult and elderly age groups. The vertical travel speeds for adult males in the up direction was 0.32 m/s, while that of females was 0.30 m/s. As the stairs are not long, these studies have not researched in detail the issues associated with physical work and physical exertion and the subsequent changes in behavioral activities that might be generated by their effects in long ascending evacuation.

1.2. Research Works on Ascending Speed on Long Stairways

For the study on the ascending speed on a long stairway, Kretz et al. [21] found an average upward speed of approximately 0.387 m/s through observing the upstairs walking speeds at the outer stairway of the Dutch pavilion at the Expo 2000 in Hannover. They also found that the mean upward walking speed on the short stairway was roughly twice as large as the one on the long stairway. Choi [15] conducted an experiment in a 50-storey residential building in Korea involving 30 young male and 30 young female participants to measure the individual ascent and descent walk speeds. They found that the average descent speed for the male and female population was 0.83 m/s and 0.74 m/s, respectively, and the average ascent speed was 0.66 m/s and 0.48 m/s. There was no significant relationship between Body Mass Index (BMI) and stair walk speed. During the ascent, all participants decreased their speed over the first 20 floors by an average of approximately 60%, and fatigue may be a main factor. For males, the average ascent speed over the first 25 floors was 0.75 m/s, while, over the last 25 floors, it was 0.55 m/s with the average overall being 0.65 m/s. For females, it was 0.53 m/s over the first 25 floors and 0.42 m/s over the last 25 floors with an average of 0.47 m/s. Lam et al. [22] conducted a controlled experiment on ascending stairs in a typical residential building with 40 floors in Hong Kong. Through the experimental observation of four groups of participants of different ages ascending stairs, they found that ascending speed was related to the age of the participants, and the average walking speed of children and elder people was lower than that of young people. The women’s walking speed was also lower than that of the men, and the average speed along the stairs was about 0.498 m/s. The difference between the maximum levels the participants could reach were large, ranging from 3 to 20 levels, also depending on age. Chen et al. [23] conducted an experimental study on the individual movement behavior of people in a 20-floor building along the stairs, and found that for long-distance upward evacuation, the upward walking speed along the stairs gradually decreased with the rise in the floor for the first 14 floors, and after that, the upward walking speed was maintained at around 0.68 m/s for the males and 0.52 m/s for the females. No obvious correlation between BMI and ascent speeds was found for males, and for females with overweight, they had the lowest ascent speeds. Ronchi et al. [12] conducted a two-year research project to investigate the effects of fatigue on walking speeds, physiological performance, and behaviors in the case of long ascending evacuation. Four experiments were conducted during the research project, involving two sets of (individual and group) experiments on ascending stair evacuation, one set of (individual and group) experiments on ascending evacuation on a stopped escalator, and one individual laboratory experiment on ascending evacuation on a stair machine. The results included walking speeds and physiological measures of physical exertion (oxygen consumption, heart rates, and electromyography data). Perceived exertion and behavioral observations were presented. The results showed that physical work capacity affects walking speeds in the case of long ascending evacuation and it should be considered while using long ascending evacuation in engineering design. The design of stairs and effects of fatigue may have a greater impact on walking speed. A simple model to predict human performance during ascending evacuation that can serve as a base to predict individual and group performance was developed.
Reviews on walking speed on evacuation were reported [6,24], with a summary on free ascending speed on the long stairway summarized in Table 1. Large differences were found between different research works. This might be attributed to the different data collection methods and assumptions made in the analysis of the data. Physical exertion tended to increase with the distance walked during the long upward walking. Thus, research on the effects of fatigue on the ascending speed focused on walking on a relatively long stairway, e.g., 50 floors or 31 floors, and the results showed that there was a trend that the walking speed decreased for the first 20 floors and then remained stable after that. However, most underground buildings are not as deep, being around 20 m, no deeper than 30 m, so walking on a medium-long stairway such as this might also produce fatigue, and the effect of fatigue on ascending speed may be different from that of walking on super long stairs. The walking behavior on such kinds of stairs needs to be further studied for the practical case.
Table 1. Individual ascending speed on long stairway from the literature.

2. Field Measurements

2.1. Selected Stairs

As the depth of most underground buildings is about 30 m, which is equivalent to the height of the ground building with 7–8 floors, the experiments were conducted in a 10-storey office building of height 42.0 m, and the ascending speed over 8 floors was studied. The stairway connecting two floors, as shown in Figure 2, consists of two flights, each with 14 treads, and the width of each flight is 1.8 m. The tread depth is 0.29 m, the riser is 0.15 m, and the stair gradient is 28°. The landing size is 4.4 m × 1.8 m.
Figure 2. Selected stair.

2.2. Participants and Experimental Method

The total number of participants in the tests was 67 and most of the participants were young students; details of the participants are shown in Figure 3.
Figure 3. Age and gender of the participants.
In the experiment, all participants’ behavior was recorded by digital video recorders that were positioned on the corner of each floor landing, as shown in Figure 4. Each participant also used the stopwatch in their mobile phone to record their traveling time. The time taken to ascend the stairs of each person was analyzed frame by frame from the videos and compared with the time recorded by the stopwatch.
Figure 4. Position of the video camera.
Before the experiment, the participant’s personal characteristics, namely height, weight, physical status, and exercising habits, were investigated.

2.3. Experimental Procedure

The participants were divided into two main groups: Group A and Group B. Group A involved 40 young students, 24 males and 16 females, aged between 18 and 24, and Group B involved the remaining 27 participants, 4 boys, 10 males, and 13 females, aged between 30 and 60.
In the experiment, participants in Group A were divided into four groups, and each group comprised 10 participants, so the participants could walk freely on the stairs. In order to study the effects of the travel distance on ascending speeds, participants in Group A were asked to complete two experiments. In the first experiment, all participants were required to reach the 5th floor, and in the second experiment, all participants were asked to reach the 9th floor. Between the two experiments, participants took a rest for more than one hour so that fatigue would not affect the results.
Participants in Group B were divided into three groups, each involving 9 participants. As the participants in this group were mixed in age, they were only required to reach the 9th floor.
After each trial, a questionnaire survey was conducted to investigate the tiredness feeling and handrail use during the ascent. The stairway was in good lighting conditions in the experiments. All participants wore comfortable clothes and flat walking shoes.
Three kinds of ascent speeds are often used to describe the behavior of walking upstairs: inclined speed, vertical speed, and horizontal speed [7,25], as shown in Figure 5. Inclined speed was used as ascending speed in this paper, and it is calculated as follows:
v = L / t
where L is the inclined travel distance on stairs (tread depth times tread numbers) plus landing travel distance, m; t is the walking time, s.
Figure 5. Definition of the ascending speed.

3. Results

3.1. Ascending Speed

Figure 6 presents the male students and female students during the experiment. Figure 7, Figure 8 and Figure 9 show the individual’s stair ascent speed along the upward traveling floors in each trial. When the participants travelled over 4 floors, most people could maintain a higher walking speed along the whole walking distance, and some people were even found to reach their maximum speed at the last moment. Variations in the walking speeds with the traveling distance were found to be little.
Figure 6. Experimental procedure of Group A.
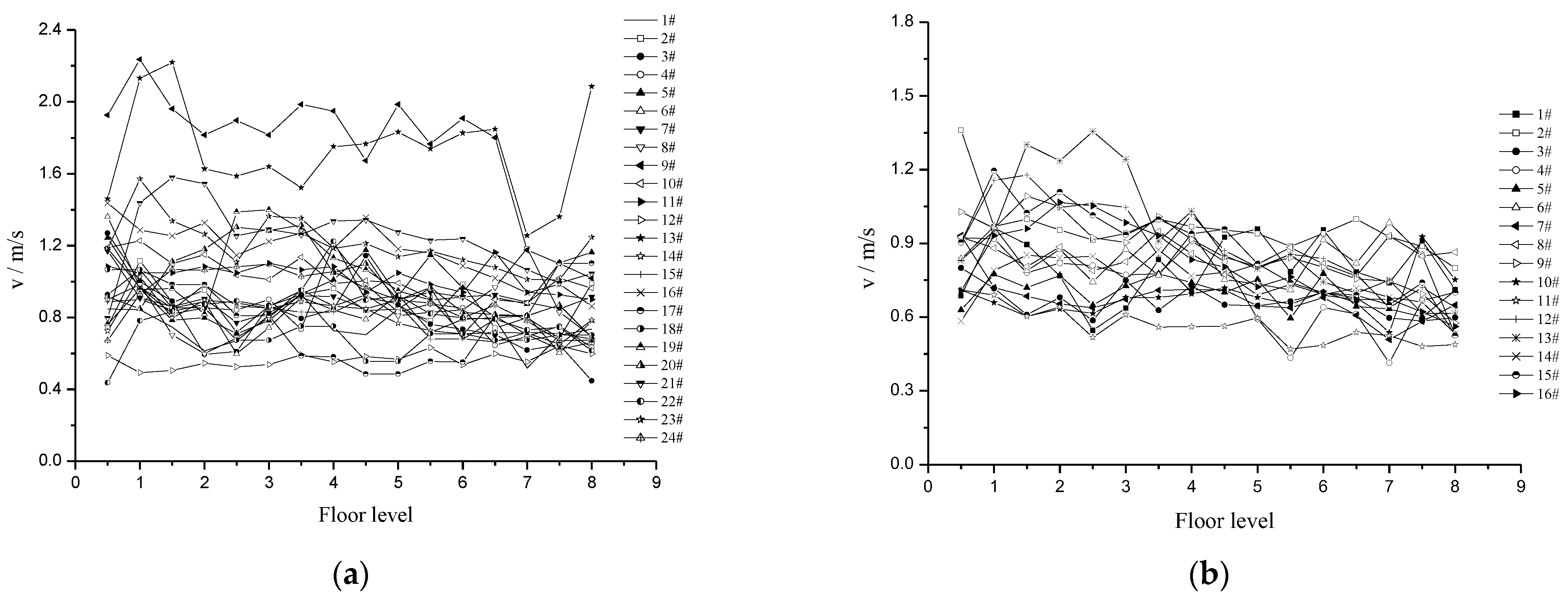
Figure 7. Ascending speed distributions of each participant in Group A along the climbing level (traveling over 4 floors). (a) Male; (b) female.
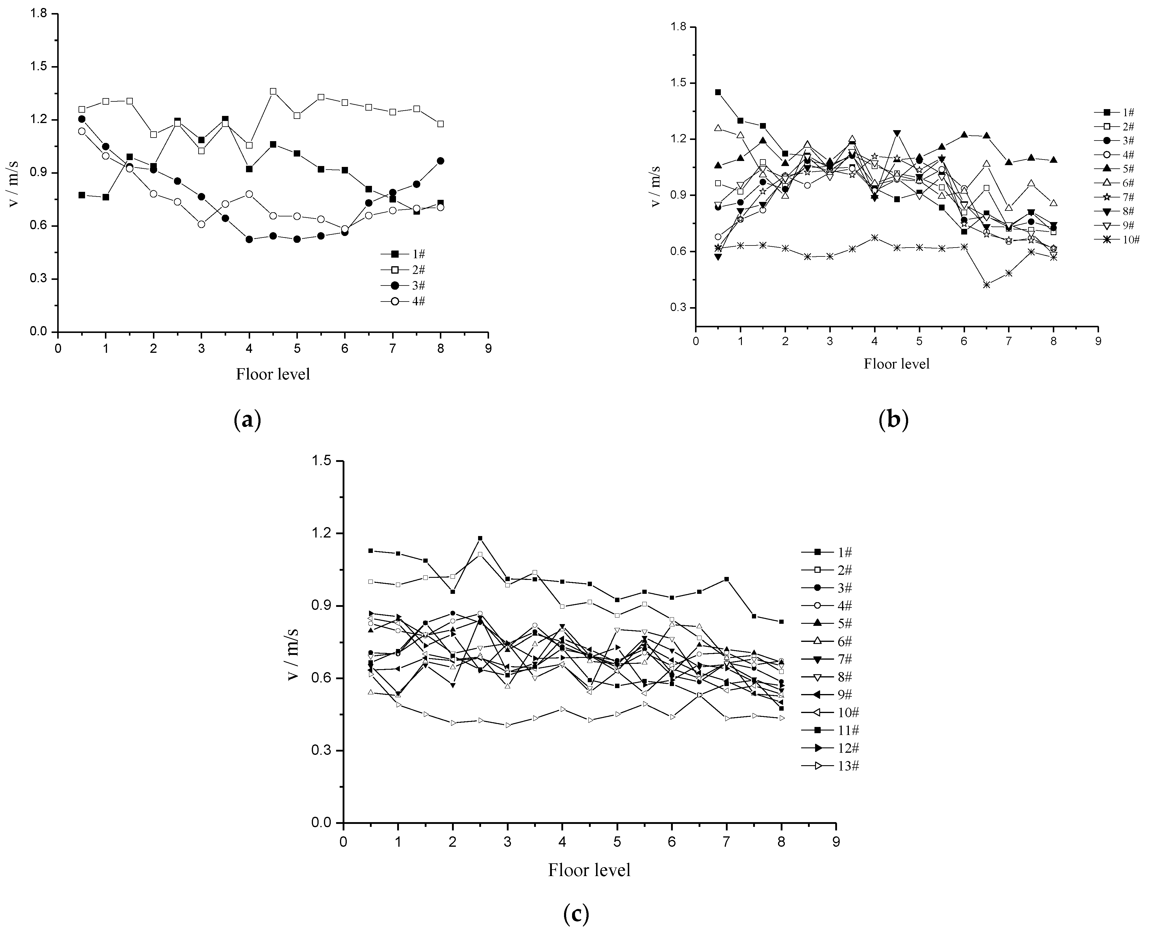
Figure 8. Ascending speed distributions of each participant in Group A along the climbing level (traveling over 8 floors). (a) Male; (b) female.
Figure 9. Ascending speed distributions of each participant in Group B along the climbing level (traveling over 8 floors). (a) Boys; (b) middle-aged male; (c) middle-aged female.
Figure 8 shows the individual ascending speed distributions along the traveling distance of Group A when the target floor is the 9th floor. Comparing with climbing over 4 floors, most people reduced their speed at the initial floors, which might be because they wanted to save more energy and try to climb over more floors. No. 9 and 23 of the male students displayed faster walking speeds than the others, and the walking speeds of other male students were mostly concentrated between 0.7 m/s and 1.2 m/s, while those of the female students were between 0.6 m/s and 1.0 m/s. For the female students, the upstairs walking speed gradually decreased with the increase in floors, and for the male students, this tendency was not so obvious.
Figure 9 shows the individual ascending speeds of the Group B. Four boys displayed different walking behaviors in climbing over 8 floors. No. 2 almost maintained high walking speeds at the whole trial, while No. 1 walked fast from the second to fourth floor, and then slowed down for the higher floors. The speeds of No. 3 and No. 4 gradually decreased in the first half of the journey, and then increased later. Except for participant No. 10, the walking speeds of the males in Group B fell within in a narrow range, with the maximum speeds of most individuals appearing at the second or third floor, and then decreasing with the climbing height. For the females, most walking speeds were between 0.6 m/s and 0.8 m/s, and their ascending speeds decreased slightly with the travel distance.
Figure 10 demonstrates the variations in the mean ascent speeds under different travel heights of the male students and female students in Group A. The mean ascending speeds of the male students were found to be larger than those of the females’. When traveling over the short stairway, people could usually maintain a high walking speed, and the mean ascent speeds in the 4-floor climbing experiments were higher than those of the initial first 4 floors in the 8-floor climbing experiment. Due to physical exhaustion, the ascending speed decreased with the distance walked.
Figure 10. Comparison of the mean ascending speed of traveling 8 floors and 4 floors.
Variations in the mean ascent speeds of males and females with different age groups with traveling floor levels are presented in Figure 11. Differences between the mean speed of the young male students and that of middle-aged men were not large before reaching the 6th floor. The average walking speed over the first 6 floors of the male students and middle-aged men were 1.0 m/s and 0.97 m/s, while for the last two floors, they were 0.87 m/s and 0.76 m/s, respectively. Walking speeds of the middle-aged men in the final stage dropped down, likely because their physical fitness was not as strong as that of the young men. Variations in the mean ascent speed of the boys had the same tendency as those of the young male students’ except those over the middle floors. The boys could also maintain a high speed in the final stage. Young females moved much faster than the middle-aged females in the initial 5 floors, and then the difference in the ascending speeds between these two age groups became smaller. The effects of age on the ascending speed did not seem large.
Figure 11. Comparison of the mean ascent speed of different age groups.
The mean ascending speeds of each group are summarized in Table 2. Comparing with the mean ascent walking speed along the super long stairs in other studies, e.g., Lam’s [20] 40 floors, Choi’s [15] 50 floors, and Chen’s 26 floors [23], the mean ascent speeds of males and females in this research are a little higher, and the fatigue effect on ascent behavior is not so obvious when walking on medium-long stairs. Due to the upward walking speed being related to the walking distance along stairs, it is more convenient for practical application to find the relationship between the ascent speed and the walking distance.
Table 2. Summary of the mean ascent speed.
Using linear regression analysis for the mean ascent speed of each half floor, we can obtain the relationship of the mean ascent speed with the traveling vertical height (Figure 12 and Figure 13):
Figure 12. Variation in the mean ascent speed of males with vertical height.
Figure 13. Variation in the mean ascent speed of females with vertical height.
For males:
vm = 1.064 − 0.007H
where vm is the mean ascent speed of males, m/s; H is the traveling vertical height, m. The coefficient of determination R2 was 0.87.
For females:
vf = 0.852 − 0.006H
where vf is the mean ascent speed of females, m/s. The coefficient of determination R2 was 0.92.
Due to decrease in walking speeds with height caused by physical exertion, the above two equations can describe the impact of fatigue indirectly to some extent.

3.2. Fatigue Survey during the Experiments

In order to investigate the effects of fatigue on the upstairs movement, questionnaires on the degree of fatigue felt during the experiment were conducted. Results are shown in Figure 14 and Figure 15. Details about the questionnaires are presented in Appendix A. Most of the young male students started having the fatigue feeling after they reached the 6th floor, and half of the male students felt exhausted in the last two floors. This might explain why their mean ascending speed could remain almost constant over the first four floors, and then decreased with the floor level increasing. For the female students, the fatigue feeling mostly began on the 5th and 6th floor, and all the female students felt tired before they reached the final level; 81% of the females felt exhausted at the final stage, and the mean ascending speed of the female students dropped faster with the floor level than that of the male students. Fatigue was found to have a significant effect on the ascent speed, especially for the females. Most of the male students had a stronger endurance than the females, so they walked upstairs faster than the females. Even after climbing over 8 floors, there were still 3 male students having no fatigue feeling at all.
Figure 14. Fatigue feeling survey during walking upstairs of the young participants.
Figure 15. Fatigue feeling survey during walking upstairs of the middle-aged participants.
For the middle-aged males, the tendency of feeling fatigue was almost the same as the young students, so variations in the mean ascent speed of these two groups were almost the same. Almost 90% of the middle-aged females were feeling very tired after they climbed over 8 floors, and their mean ascent speed dropped a little slower than that of the young female students.
When traveling over four floors, only one male student felt fatigue at the last floor, while 40% of female students felt tired, and no one felt very tired or exhausted, so the participant could walk faster than those walking on the relatively long stairways.

3.3. Handrail Use

Using handrails can improve balance in the case of reduced physical ability due to tiredness during long stairway ascending. Figure 16 shows the stair handrail use of different groups when climbing over 8 floors. It was found that almost all female participants needed to use the handrail during the trials, and about 1/3 of females used the handrail most of times. Almost 70% of the middle-aged men needed to use the handrail (40% occasionally using; 30% most of time using) in the experiment, while the number of young males that needed to was no more than half. Both males and females were observed to use them more frequently during walking over the last two or three floors. This might be because they were very tired due to continuous upward movement and needed to use the handrail to complete the ascending experiment. The handrail is very useful for the ascending evacuation.
Figure 16. Handrail use during the experiments over the long stairway. (a) Male students; (b) female students; (c) middle-aged males; (d) middle-aged females.

4. Conclusions

The behavior of people walking upstairs in a medium-long stairway with a vertical height of 33.6 m, which is equivalent to the depth of most underground buildings, was studied by the experiments in this paper. The effects of age, gender, and fatigue on the ascent speed were investigated.
Walking distance and fatigue due to the long-distance upward walking had great impacts on the ascent speed. Walking behavior in a long stairway differed from that in a short stairway. People could maintain high walking speeds and did not feel tired when the upward evacuation distance was short. When the walking distance was long, the ascending speed decreased with the travel distance due to the physical exertion.
The mean ascending speeds of young males and females in climbing through 4 floors were 1.24 m/s and 1.02 m/s, respectively. When climbing over 8 floors (vertical height about 30 m), the mean ascending speeds were 0.97 m/s and 0.78 m/s for young males and females, and 0.91 m/s and 0.68 m/s for middle-aged males and females, respectively. Due to the decrease in ascending speed with the travel distance when climbing a long stairway, the mean ascending speed that was used to predict the evacuation time should be adjusted with the traveling distance or floor levels. Two ascending speed models, Equations (2) and (3), were developed for males and females, respectively, to describe the impact of fatigue based on the traveling vertical heights. The models could be a more useful tool to predict the evacuation time for underground facilities than only using a single mean ascent speed.
The effect of age on the ascending speed for the males does not seem obvious, but for females, young females walked faster than the middle-aged women on average, and younger females walked faster and became tired faster. The differences in the ascent speed between the two female age groups were small during the last few levels. Handrails can give important support for an exhausted person during long-distance evacuation.
As the continuous movement upward for a long distance could be affected by fatigue, most people felt very tired or exhausted when the depth of the underground building was larger than 30 m, and auxiliary evacuation facilities are suggested to be added to improve the evacuation efficiency under this condition.
The experiments in this study were conducted in a smoke-free environment. When people are in a smoky environment, both psychological and physiological factors will affect the upward movement behavior of the people. Research on this will be carried out in future studies.

Author Contributions

Conceptualization, J.L. and Y.L.; methodology, J.L., Y.L, W.-K.C. and F.X.; experiment, J.L. and Q.D.; formal analysis, J.L. and Z.Q.; writing—original draft preparation, J.L. and Z.Q.; writing—review and editing, W.-K.C. and Y.L.; supervision, J.L. and W.-K.C.; project administration, J.L.; funding acquisition, J.L. All authors have read and agreed to the published version of the manuscript.

Funding

The work described in this paper was supported by the Beijing Municipal Natural Science Foundation (Grant No. 8182004, 8222002) and the National Natural Science Foundation of China (NSFC) (Grant No. 51278018).

Institutional Review Board Statement

The study was conducted in accordance with the Declaration of Helsinki, and approved by the Institutional Ethics Committee of Beijing University of Technology (protocol code 202005 and date of approval 25 March 2020).

Data Availability Statement

The data presented in this study are available on request from the authors.

Conflicts of Interest

The authors declare no conflict of interest. The funders had no role in the design of the study; in the collection, analyses, or interpretation of data; in the writing of the manuscript, or in the decision to publish the results.

Appendix A

  • Fatigue Feeling Survey in the Experiment
     
  • Participant ID:         Age:         Gender:
  • Height: m         Weight: kg
     
  • 1. At which level did you start to feel tired?
  • A. 2nd floor to 4th floor  B. 5th floor  C. 6th floor
  • D. 7th floor  E. 8th floor  F. 9th floor
  • 2. At which level did you start to feel very tired?
  • A. 2nd floor to 4th floor  B. 5th floor  C. 6th floor
  • D. 7th floor  E. 8th floor  F. 9th floor
  • 3. At which level did you start to feel exhausted and did not want to move up anymore?
  • A. 2nd floor to 4th floor  B. 5th floor  C. 6th floor
  • D. 7th floor  E. 8th floor  F. 9th floor
  • 4. How did you think your walking speed changed throughout the experiment?
  • A. Increase gradually  B. Decrease first and then increase
  • C. Increase first and then decrease  D. Decrease gradually
  • 5. Have you ever used handrail during the experiment?
  • A. Used
  • (a) used all the time  (b) used occasionally
  • B. have not used
  • 6. What would you do when you were approaching the destination?
  • A. speed up to the destination
  • B. slow down and walk slowly to the destination
  • C. keep the normal speed

References

  1. Li, J.; Li, Y.F.; Bi, Q.; Chow, W.K.; Cheng, C.H.; To, C.W.; Chow, C.L. Performance evaluation on fixed water-based firefighting system in suppressing large fire in urban tunnels. Tunn. Undergr. Space Technol. 2019, 84, 56–69. [Google Scholar] [CrossRef]
  2. Ciro, C.; Isidoro, R.; Gianluca, G. Risk analysis of one-way road tunnel tube used for bi-directional traffic under fire scenarios. Appl. Sci. 2021, 11, 3198. [Google Scholar] [CrossRef]
  3. Ciro, C.; Gianluca, G.; Isidoro, R. Risk analysis of road tunnels: A Computational Fluid Dynamic model for assessing the effects of natural ventilation. Appl. Sci. 2021, 11, 32. [Google Scholar]
  4. Jiang, C.S.; Yuan, F.; Chow, W.K. Effects of varying two key parameters in simulating evacuation for subway stations in China. Saf. Sci. 2010, 48, 445–451. [Google Scholar] [CrossRef]
  5. Chow, W.K. Performance-based approach to determining fire safety provisions for buildings in the Asia-Oceania regions. Build. Environ. 2015, 91, 127–137. [Google Scholar] [CrossRef]
  6. Chow, W.K.; Li, J.; Pang, E.C.L. Evacuation in an underground auditorium. J. Appl. Fire Sci. 2006, 15, 247–252. [Google Scholar] [CrossRef]
  7. Fujiyama, T.; Tyler, N. Predicting the walking speed of pedestrians on stairs. Transp. Plann. Technol. 2010, 33, 177–210. [Google Scholar] [CrossRef]
  8. Norén, J.; Delin, M.; Fridolf, K. Ascending stair evacuation: What do we know? Transp. Res. Procedia 2014, 2, 774–782. [Google Scholar] [CrossRef][Green Version]
  9. Pauls, J.L.; Jones, B.K. Building evacuation: Research methods and case studies. In Fires and Human Behaviour; Cantor, D., Ed.; John Wiley & Sons: New York, NY, USA, 1980; pp. 227–249. [Google Scholar]
  10. Pauls, J. The movement of people in building and design solutions for means of egress. Fire Technol. 1984, 20, 27–47. [Google Scholar] [CrossRef]
  11. Li, J.; Chow, W.K. Review on energency evacuation time estimation for performance-based fire safety design. J. Appl. Fire Sci. 2006, 15, 147–163. [Google Scholar] [CrossRef]
  12. Ronchi, E.; Norén, J.; Delin, M.; Kuklane, K.; Halder, A.; Arias, S.; Fridolf, K. Ascending Evacuation in Long Stairways: Physical Exertion, Walking Speed and Behaviour, Report 3192; Department of Design Sciences, Lund University: Lund, Sweden, 2015. [Google Scholar]
  13. Frantzich, H. Study of Movement on Stairs During Evacuation Using Video Analysing Techniques, Report 3079; Lund University Institute of Technology, Department of Fire Safety Engineering: Lund, Sweden, 1996. [Google Scholar]
  14. Fruin, J.J. Design for Pedestrians a Level of Services; Polytechnic Institute of Brooklyn: New York, NY, USA, 1970. [Google Scholar]
  15. Choi, J.H.; Galea, E.R.; Hong, W.H. Individual stair ascent and descent walk speeds measured in a Korean high-rise building. Fire Technol. 2014, 50, 267–295. [Google Scholar] [CrossRef]
  16. Ronchi, E.; Renek, P.A.; Peacoc, R.D. A conceptual fatigue-motivation model to represent pedestrian movement during stair evacuation. Appl. Math. Modell. 2016, 40, 4380–4396. [Google Scholar] [CrossRef]
  17. Fruin, J.J. Pedestrian Planning and Design; Metropolitan Association of Urban Designer and Environmental Planners Inc.: New York, NY, USA, 1971. [Google Scholar]
  18. Fujiyama, T.; Tyler, N. An Explicit Study on Walking Speeds of Pedestrians on Stairs. In Proceedings of the 10th International Conference on Mobility and Transport for Elderly and Disabled People (TRANSED 2004), Hamamatu, Japan, 23–26 May 2004; pp. 643–652. [Google Scholar]
  19. Fujiyama, T.; Tyler, N. Free walking speeds on stairs: Effects of stair gradients and obesity of pedestrains. In Pedestrian and Evacuation Dynamics; Peacock, R.D., Kuligowski, E.D., Averill, J.D., Eds.; Springer: New York, NY, USA, 2011. [Google Scholar]
  20. Yeo, S.K.; He, Y. Commuter characteristics in mass rapid transit in Singapore. Fire Saf. J. 2008, 44, 183–191. [Google Scholar] [CrossRef]
  21. Kretz, T. Upstairs walking speed distribution on a long stairway. Saf. Sci. 2008, 46, 72–78. [Google Scholar] [CrossRef]
  22. Lam, J.H.T.; Yuen, R.K.K.; Lee, E.W.M.; Lee, R.Y.Y. Experimental study on upward movement in a high-rise building. Saf. Sci. 2014, 70, 397–405. [Google Scholar] [CrossRef]
  23. Chen, J.; Wang, J.; Wang, J.; Liu, X. An experimental study of individual ascent speed on long stair. Fire Technol. 2017, 53, 283–300. [Google Scholar] [CrossRef]
  24. Li, J.; Chow, W.K. Key equations for studying emergency evacuation in performance-based design. In Proceedings of the 3rd International Symposium on The 21st Century Center of Excellence Program: Tokyo University of Science, Tokyo, Japan, 10–11 March 2008. [Google Scholar]
  25. Mustafa, M.; Rahman, Z.A.; Kaman, N.B. Assessing Pedestrian Behavior and Walking Speed on Staircase: A Review. In InCIEC 2015: Proceedings of the International Civil and Infrasructure Engineering Conference; Yusoff, M., Hamid, N.H.A., Arshad, M.F., Arshad, A.K., Ridzuan, A.R.M., Awang, H., Eds.; Springer: Singapore, 2015; pp. 1019–1029. [Google Scholar]
Publisher’s Note: MDPI stays neutral with regard to jurisdictional claims in published maps and institutional affiliations.

Article Metrics

Citations

Article Access Statistics

Multiple requests from the same IP address are counted as one view.