Thermal Buckling and Vibration Analysis of SMA Hybrid Composite Sandwich Beams
Abstract
1. Introduction
2. Materials Properties and Basic Equations of SMA
3. Governing Equations Derivation
3.1. Equilibrium Equations
3.2. Stability Equations
3.3. Free Vibration under Thermal Conditions
4. Results and Discussion
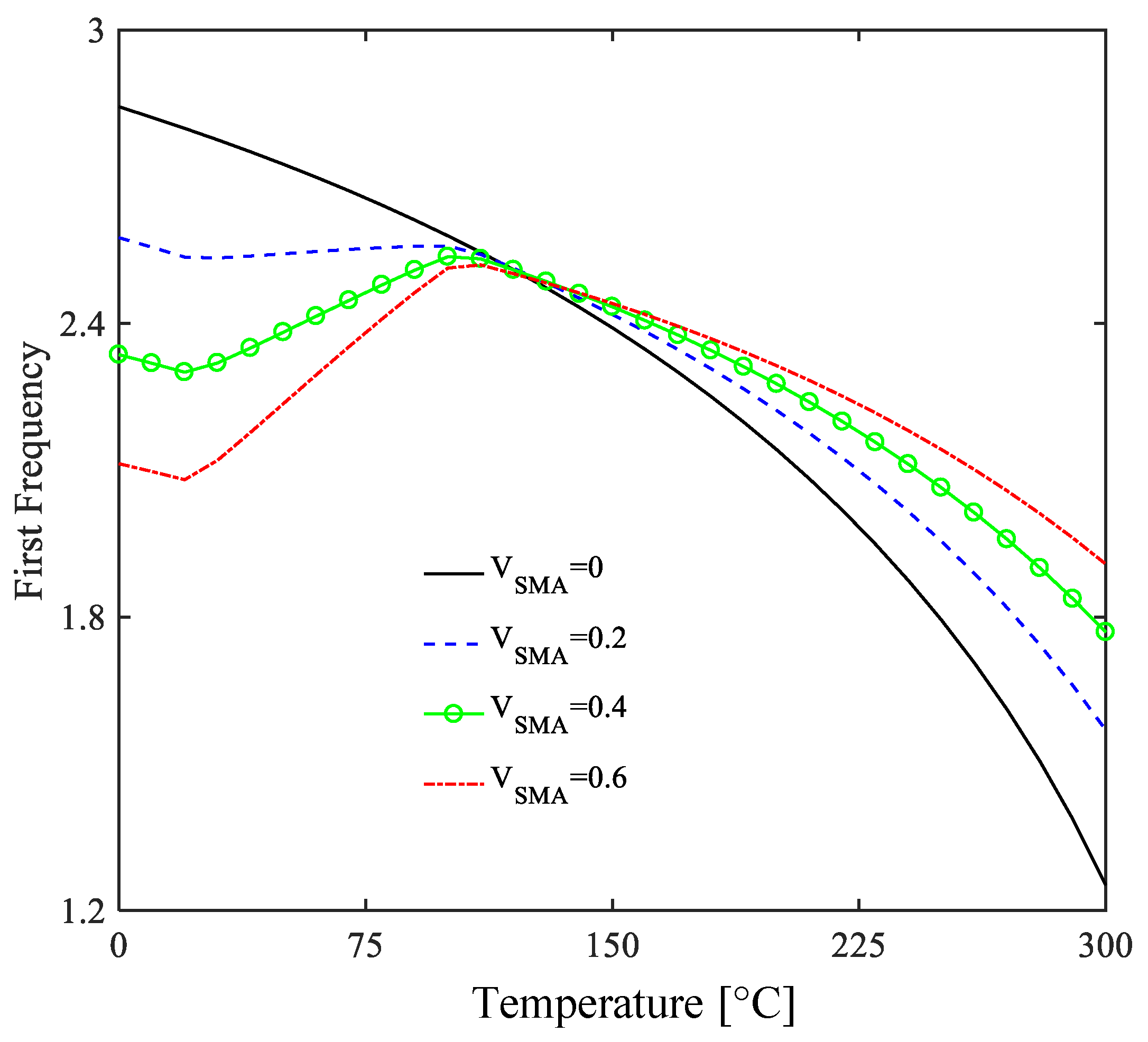
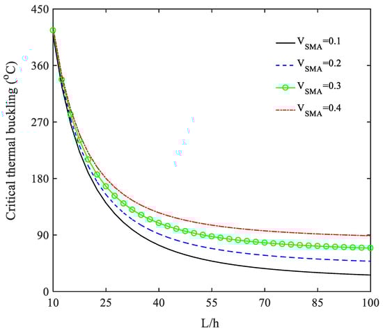
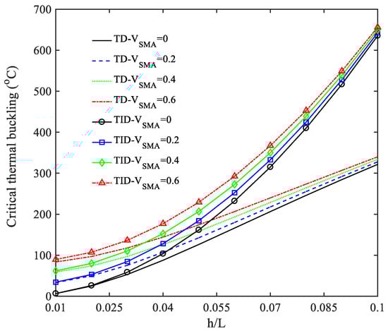
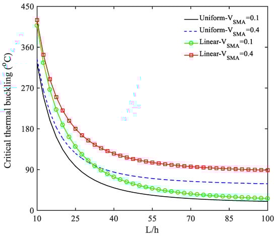
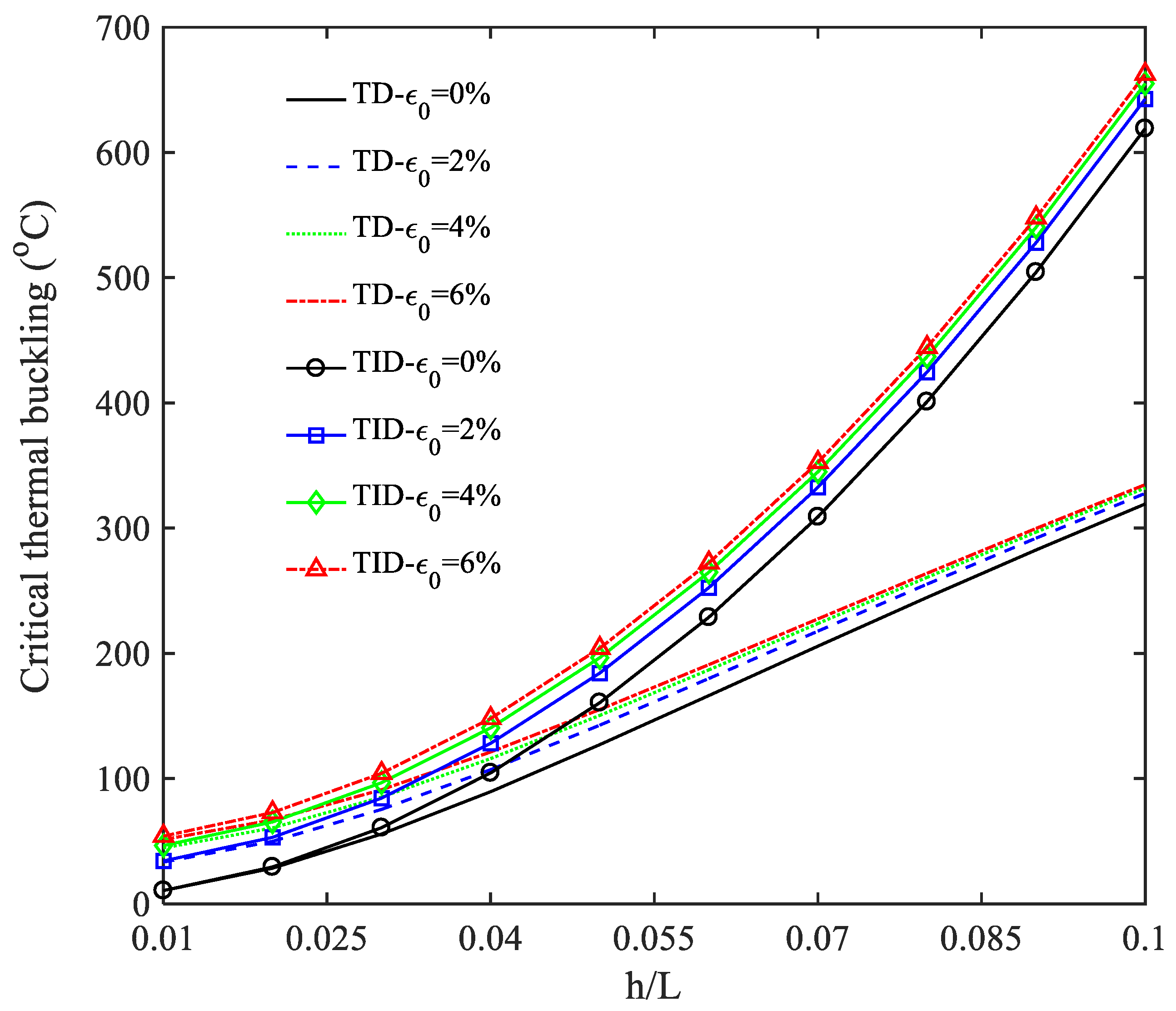
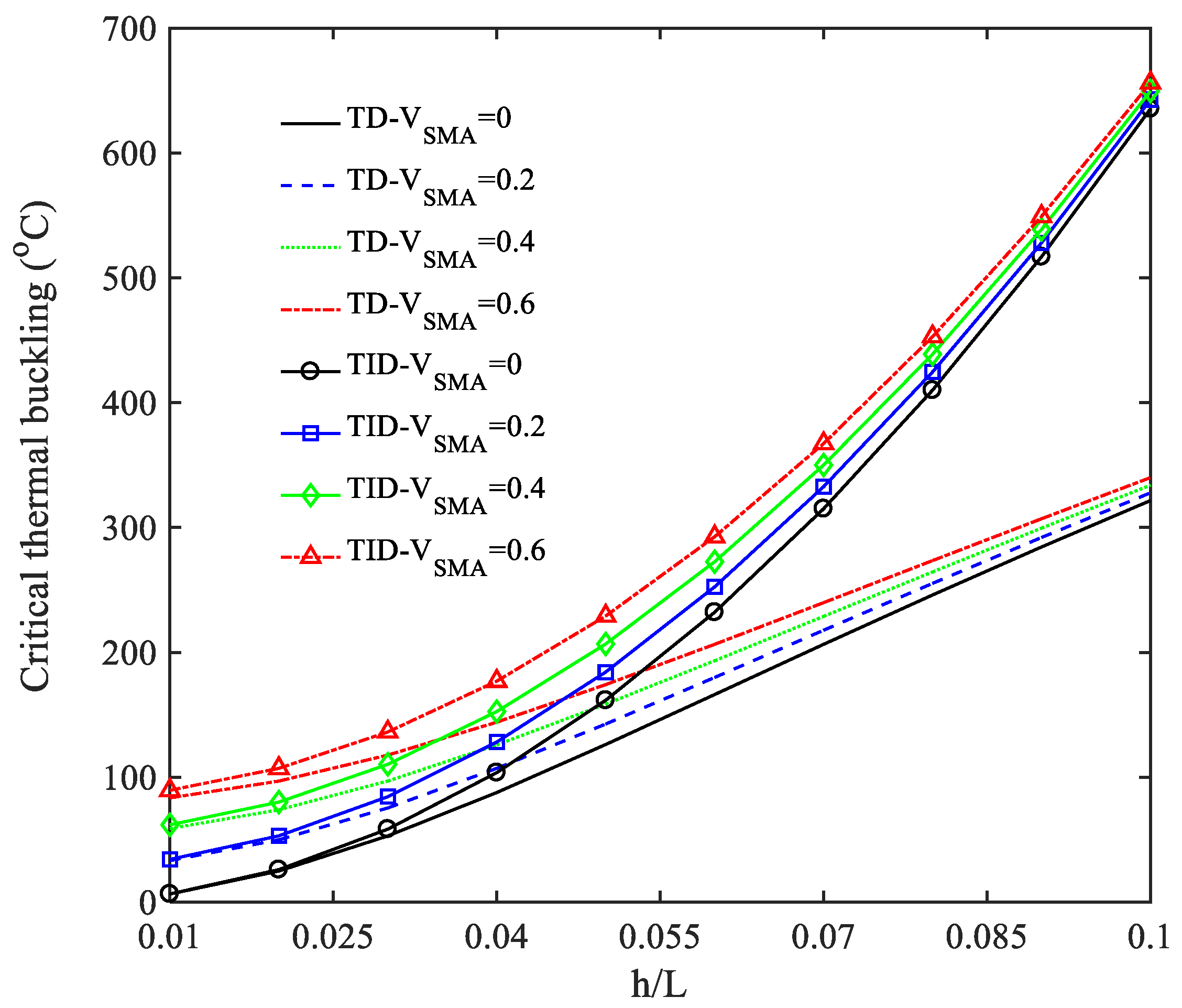
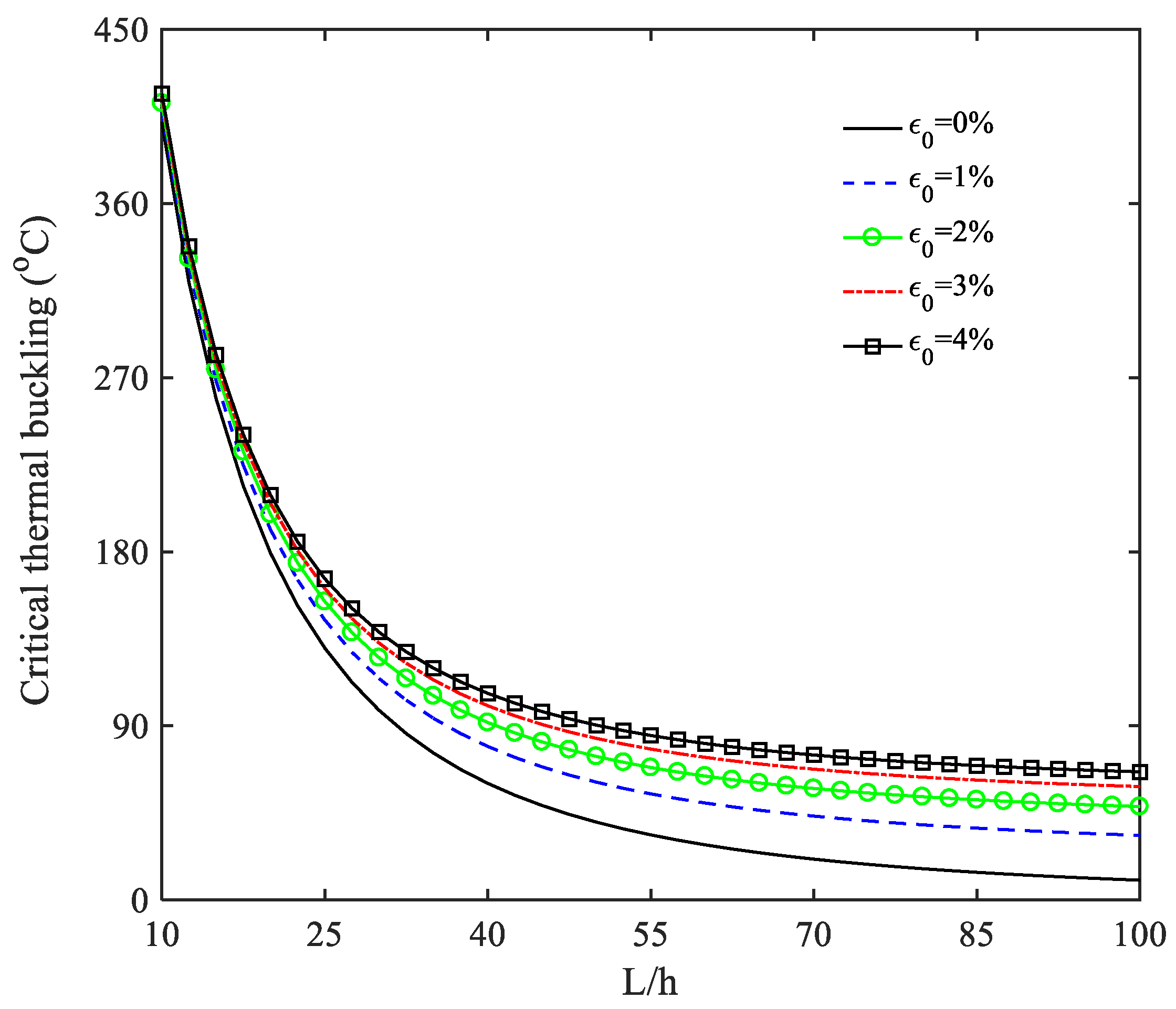
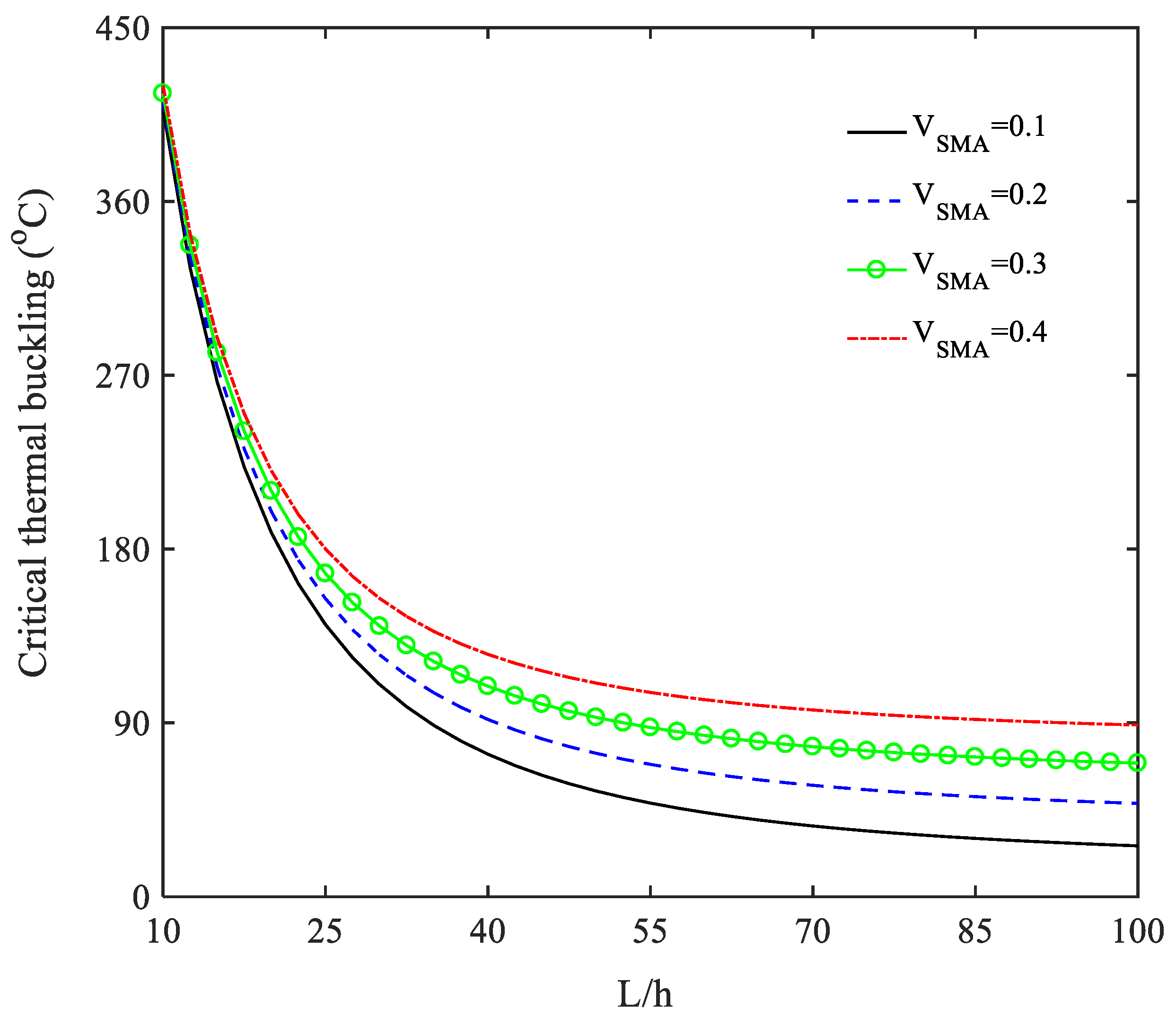
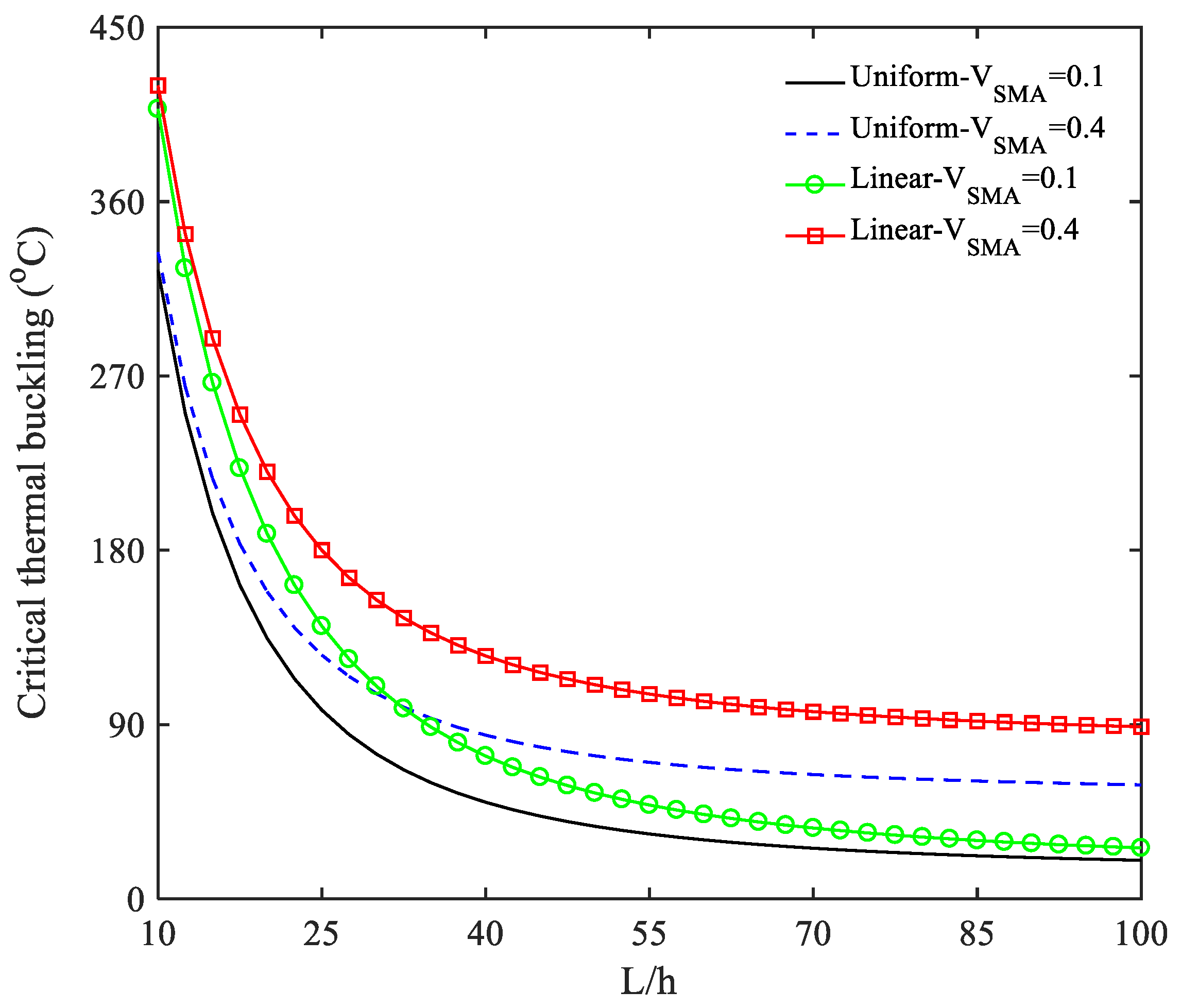
4.1. Thermal Buckling Analysis
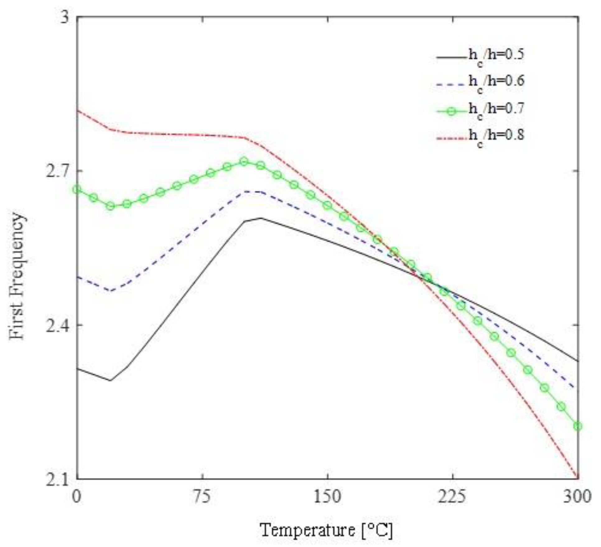
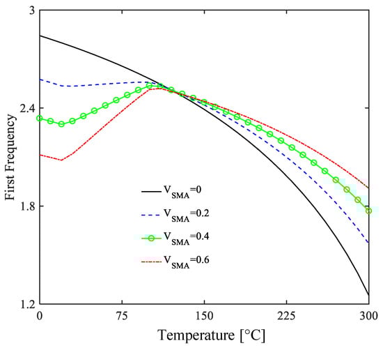
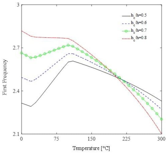
4.2. Thermal Vibration Analysis
5. Conclusions
Author Contributions
Funding
Conflicts of Interest
Appendix A
References
- Feli, S.; Jafari, S. Analytical investigation of perforation of aluminum—Foam sandwich panels under ballistic impact. J. Modares Mech. Eng. 2013, 13, 52–59. [Google Scholar]
- Arunkumar, M.P.; Jagadeesh, M.; Pitchaimani, J.; Gangadharan, K.V.; LeninBabu, M.C. Sound radiation and transmission loss characteristics of a honeycomb sandwich panel with composite facings: Effect of inherent material damping. J. Sound Vib. 2016, 383, 221–232. [Google Scholar] [CrossRef]
- Ameri, B.; Moradi, M.; Talebitooti, R. Effect of Honeycomb Core on Free Vibration Analysis of Fiber Metal Laminate (FML) Beams Compared to Conventional Composites. Compos. Struct. 2021, 261, 113281. [Google Scholar] [CrossRef]
- Feli, S.; Jafari, S.S. Analytical modeling for perforation of foam-composite sandwich panels under high-velocity impact. J. Braz. Soc. Mech. Sci. Eng. 2017, 39, 401–412. [Google Scholar] [CrossRef]
- Duc, N.D.; Seung-Eock, K.; DucTuan, N.; Tran, P.; DinhKhoa, N. New approach to study nonlinear dynamic response and vibration of sandwich composite cylindrical panels with auxetic honeycomb core layer. Aerosp. Sci. Technol. 2017, 70, 396–404. [Google Scholar] [CrossRef]
- Sobhani Aragh, B.; Yas, M.H. Effect of continuously grading fiber orientation face sheets on vibration of sandwich panels with FGM core. Int. J. Mech. Sci. 2011, 53, 628–638. [Google Scholar] [CrossRef]
- Lagoudas, D.C. Shape memory alloys: Modeling and Engineering Applications; Springer: Berlin/Heidelberg, Germany, 2008. [Google Scholar]
- Samadpour, M.; Sadighi, M.; Shakeri, M.; Zamani, H.A. Vibration analysis of thermally buckled SMA hybrid composite sandwich plate. Compos. Struct. 2015, 119, 251–263. [Google Scholar] [CrossRef]
- Salim, M.; Bodaghi, M.; Kamarian, S.; Shakeri, M. Free vibration analysis and design optimization of SMA/Graphite/Epoxy composite shells in thermal environments. Lat. Am. J. Solids Struct. 2018, 15. [Google Scholar] [CrossRef]
- Rasid, Z.A.; Ayob, A.; Zahari, R.; Mustapha, F.; Abang Haji Abdul Majid, D.L.; Varatharajoo, R. Thermal Buckling and Post-Buckling Improvements of Laminated Composite Plates Using Finite Element Method. Key Eng. Mater. 2011, 471–472, 536–541. [Google Scholar] [CrossRef]
- Panda, S.K.; Singh, B. Nonlinear finite element analysis of thermal post-buckling vibration of laminated composite shell panel embedded with SMA fibre. Aerosp. Sci. Technol. 2013, 29, 47–57. [Google Scholar] [CrossRef]
- Karimiasl, M.; Ebrahimi, F.; Akgöz, B. Buckling and post-buckling responses of smart doubly curved composite shallow shells embedded in SMA fiber under hygro-thermal loading. Compos. Struct. 2019, 223, 110988. [Google Scholar] [CrossRef]
- Yuan, G.; Bai, Y.; Jia, Z.; Lau, K.; Hung, P. Structural deformation performance of glass fiber reinforced polymer composite beam actuated by embedded indented SMA wires. Compos. Part B 2019, 159, 284–291. [Google Scholar] [CrossRef]
- Girish, J.; Ramachandra, L. Thermal postbuckled vibrations of symmetrically laminated composite plates with initial geometric imperfections. J. Sound Vib. 2005, 282, 1137–1153. [Google Scholar] [CrossRef]
- Kamarian, S.; Shakeri, M. Thermal buckling analysis and stacking sequence optimization of rectangular and skew shape memory alloy hybrid composite plates. Compos. Part B 2017, 116, 137–152. [Google Scholar] [CrossRef]
- Roh, J.H.; Oh, I.K.; Yang, S.M.; Han, J.H.; Lee, I. Thermal post-buckling analysis of shape memory alloy hybrid composite shell panels. Smart Mater. Struct. 2004, 13, 1337–1344. [Google Scholar] [CrossRef]
- Mansouri, M.H.; Shariyat, M. Thermal buckling predictions of three types of high-order theories for the heterogeneous orthotropic plates, using the new version of DQM. Compos. Struct. 2014, 113, 40–55. [Google Scholar] [CrossRef]
- Li, Z.M. Thermal postbuckling behavior of 3D braided beams with initial geometric imperfection under different type temperature distributions. Compos. Struct. 2014, 108, 924–936. [Google Scholar] [CrossRef]
- Asadi, H.; Kiani, Y.; Shakeru, M.; Eslami, M.R. Exact solution for nonlinear thermal stability of hybrid laminated composite Timoshenko beams reinforced with SMA fibers. Compos. Struct. 2014, 108, 811–822. [Google Scholar] [CrossRef]
- Khdeir, A.A. Thermal buckling of cross-ply laminated composite beams. Acta Mech. 2001, 149, 201–213. [Google Scholar] [CrossRef]
- Bayat, Y.; EkhteraeiToussi, H. Exact solution of thermal buckling and post buckling of composite and SMA hybrid composite beam by layerwise theory. Aerosp. Sci. Technol. 2017, 67, 484–494. [Google Scholar] [CrossRef]
- Yongsheng, R.; Chenggang, D.; Yuyan, S. Nonlinear Free and Forced Vibration Behavior of Shear-Deformable Composite Beams with Shape Memory Alloy Fibers. Shock Vib. 2016, 2016, 1056087. [Google Scholar] [CrossRef]
- Chen, Q.; Levy, C. Vibration analysis and control of flexible beam by using smart damping structures. Compos. Part B 1999, 30, 395–406. [Google Scholar] [CrossRef]
- Park, J.S.; Kim, J.H.; Moon, S.H. Vibration of thermally post-buckled composite plates embedded with shape memory alloy fibers. Compos. Struct. 2004, 63, 179–188. [Google Scholar] [CrossRef]
- Parhi, A.; Singh, B.N. Nonlinear free vibration analysis of shape memory alloy embedded laminated composite shell panel. Mech. Adv. Mater. Struct. 2017, 24, 713–724. [Google Scholar] [CrossRef]
- Nekouei, M.; Raghebi, M.; Mohammadi, M. Free vibration analysis of hybrid laminated composite cylindrical shells reinforced with shape memory alloy fibers. J. Vib. Control 2019, 26, 610–626. [Google Scholar] [CrossRef]
- Rogers, C.; Barker, D. Experimental studies of active strain energy tuning of adaptive composites. In Proceedings of the 31st Structures, Structural Dynamics and Materials Conference, Long Beach, CA, USA, 2–4 April 1990. [Google Scholar]
- Asadi, H.; Bodaghi, M.; Shakeri, M.; Aghdam, M.M. On the free vibration of thermally pre/post-buckled shear deformable SMA hybrid composite beams. Aerosp. Sci. Technol. 2013, 31, 73–86. [Google Scholar] [CrossRef]
- Alambeigi, K.; Mohammadimehr, M.; Bamdad, M.; Rabczuk, T. Free and forced vibration analysis of a sandwich beam considering porous core and SMA hybrid composite face layers on Vlasov’s foundation. Acta Mech. 2020, 231, 3199–3218. [Google Scholar] [CrossRef]
- Brinson, L.C. One dimensional constitutive behavior of shape memory alloys: Thermomechanical derivation with non-constant material functions and redefined martensite internal variable. J. Intell. Mater. Syst. Struct. 1993, 4, 229–242. [Google Scholar] [CrossRef]
- Asadi, H.; Kiani, Y.; Shakeri, M.; Eslami, M.R. Exact Solution for Nonlinear Thermal Stability of Geometrically Imperfect Hybrid Laminated Composite Timoshenko Beams Embedded with SMA Fibers. J. Eng. Mech. 2015, 141, 04014144. [Google Scholar] [CrossRef]
- Reddy, J.N.; Chin, C.D. Thermomechanical Analysis of Functionally Graded Cylinders and Plates. J. Therm. Stresses 1998, 21, 593–626. [Google Scholar] [CrossRef]
- Shen, H.S. Functionally Graded Materials: Nonlinear Analysis of Plates and Shells; CRC Press: Boca Raton, FL, USA, 2016. [Google Scholar]
- Reddy, J.N. Mechanics of Laminated Composite Plates and Shells: Theory and Analysis; CRC Press: Boca Raton, FL, USA, 2003. [Google Scholar]
- Reddy, J.N. Energy Principles and Variational Methods in Applied Mechanics; John Wiley & Sons: Hoboken, NJ, USA, 2017. [Google Scholar]
- Brush, D.O.; Almroth, B.O.; Hutchinson, J.W. Buckling of Bars, Plates, and Shells. J. Appl. Mech. 1975, 42, 911. [Google Scholar] [CrossRef]
- Nejati, M.; Yas, M.H.; Eslampanah, A.H.; Bagheriasl, M. Extended three-dimensional generalized differential quadrature method: The basic equations and thermal vibration analysis of functionally graded fiber orientation rectangular plates. Mech. Adv. Mater. Struct. 2017, 24, 854–870. [Google Scholar] [CrossRef]
- Nejati, M.; Fard, K.M.; Eslampanah, A.; Jafari, S.S. Free vibration analysis of reinforced composite functionally graded plates with steady state thermal conditions. Lat. Am. J. Solids Struct. 2017, 14, 886–905. [Google Scholar] [CrossRef]
- Kiani, Y.; Eslami, M.R. Thermal buckling analysis of functionally graded material beams. Int. J. Mech. Mater. Des. 2010, 6, 229–238. [Google Scholar] [CrossRef]
- Aydogdu, M.; Taskin, V. Free vibration analysis of functionally graded beams with simply supported edges. Mater. Des. 2007, 28, 1651–1656. [Google Scholar] [CrossRef]
- Nejati, M.; Fard, K.M.; Eslampanah, A. Effects of fiber orientation and temperature on natural frequencies of a functionally graded beam reinforced with fiber. J. Mech. Sci. Technol. 2015, 29, 3363–3371. [Google Scholar] [CrossRef]














| Properties | Materials | P0 | P−1 | P1 | P2 | P3 |
|---|---|---|---|---|---|---|
| Young’s elasticity modulus | Ti-6Al-4V | 122.56 109 | 0 | −4.586 10−4 | 0 | 0 |
| Zirconia | 244.27 109 | 0 | −1.371 10−3 | 1.214 10−6 | −3.681 10−10 | |
| Coefficient of Thermal Expansion | Ti-6Al-4V | 7.5788 10−6 | 0 | 6.638 10−4 | −3.147 10−6 | 0 |
| Zirconia | 12.766 10−6 | 0 | −1.491 10−3 | 1.006 10−5 | −6.778 10−11 | |
| density | Ti-6Al-4V | 4429 | 0 | 0 | 0 | 0 |
| Zirconia | 5700 | 0 | 0 | 0 | 0 |
| 0 | 1 | 2 | 10 | |||||
|---|---|---|---|---|---|---|---|---|
| Current Study | [39] | Current Study | [39] | Current Study | [39] | Current Study | [39] | |
| 0.1 | 2365.8 | 2212.88 | 1030.1 | 959.01 | 854.7 | 797.03 | 901 | 851.48 |
| 0.05 | 596.40 | 545.72 | 255.09 | 232.72 | 211.17 | 192.66 | 225.20 | 206.22 |
| 0.025 | 142.40 | 128.93 | 57.03 | 51.14 | 46.45 | 41.56 | 50.08 | 44.91 |
| 0.013 | 33.40 | 29.51 | 9.53 | 7.84 | 6.93 | 5.52 | 7.93 | 6.43 |
| Result | ||||||
|---|---|---|---|---|---|---|
| 0 | 0.1 | 1 | 2 | 10 | ||
| 5 | Nejati et al. [41] | 6.8470 | 6.4990 | 4.8210 | 4.2510 | 3.7370 |
| Aydogdu et al. [40] | 6.5632 | 6.2372 | 4.6533 | 4.1025 | 3.5610 | |
| Present work | 6.5134 | 6.1445 | 4.6234 | 4.0671 | 3.4966 | |
| 20 | Nejati et al. [41] | 6.9510 | 6.5990 | 4.9070 | 4.3340 | 3.8040 |
| Aydogdu et al. [40] | 6.9313 | 6.5808 | 4.8950 | 4.3234 | 3.7914 | |
| Present work | 6.9301 | 5.5251 | 4.8942 | 4.2330 | 3.7913 | |
Publisher’s Note: MDPI stays neutral with regard to jurisdictional claims in published maps and institutional affiliations. |
© 2022 by the authors. Licensee MDPI, Basel, Switzerland. This article is an open access article distributed under the terms and conditions of the Creative Commons Attribution (CC BY) license (https://creativecommons.org/licenses/by/4.0/).
Share and Cite
Nejati, M.; Jafari, S.S.; Dimitri, R.; Tornabene, F. Thermal Buckling and Vibration Analysis of SMA Hybrid Composite Sandwich Beams. Appl. Sci. 2022, 12, 9323. https://doi.org/10.3390/app12189323
Nejati M, Jafari SS, Dimitri R, Tornabene F. Thermal Buckling and Vibration Analysis of SMA Hybrid Composite Sandwich Beams. Applied Sciences. 2022; 12(18):9323. https://doi.org/10.3390/app12189323
Chicago/Turabian StyleNejati, Mohammad, Seyed Sajad Jafari, Rossana Dimitri, and Francesco Tornabene. 2022. "Thermal Buckling and Vibration Analysis of SMA Hybrid Composite Sandwich Beams" Applied Sciences 12, no. 18: 9323. https://doi.org/10.3390/app12189323
APA StyleNejati, M., Jafari, S. S., Dimitri, R., & Tornabene, F. (2022). Thermal Buckling and Vibration Analysis of SMA Hybrid Composite Sandwich Beams. Applied Sciences, 12(18), 9323. https://doi.org/10.3390/app12189323

