Dewatering-Induced Stratified Settlement around Deep Excavation: Physical Model Study
Abstract
Featured Application
Abstract
1. Introduction
2. Background
3. Materials and Methods
3.1. Artificial Assumption Boundary
3.2. Artificial Assumption Boundary
3.3. Underground Structure Model
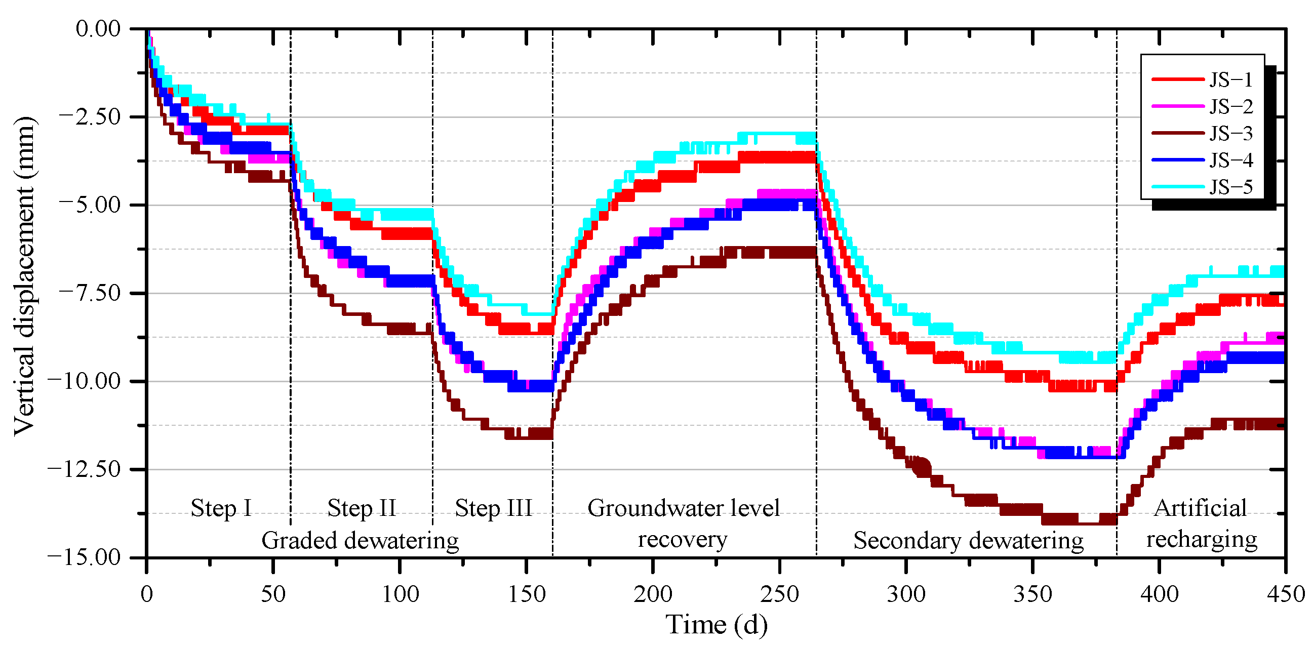
3.4. Test Conditions
- Graded dewatering: The gradual decrease in groundwater level is simulated during the layered excavation. Three groundwater level drawdowns are set inside the deep excavation at 150.0, 300.0, and 400.0 mm (22.5, 45.0, and 67.5 m in the prototype, respectively); the groundwater level drawdowns in the variable hydraulic boundary are set to 30.0, 60.0, and 80.0 mm in layer ⑨ (4.5, 9.0, and 12.0 m in the prototype, respectively) and 15.0, 30.0, and 40.0 mm in layer ⑦ (2.3, 4.5, and 6.0 m in the prototype, respectively). The duration time under each groundwater level drawdown is set as 90.0 h, which is determined by the actual deep excavation process.
- Groundwater level recovery: In this stage, the deformation rebound of the strata during the recovery of groundwater level after deep excavation is analyzed. Pumping is stopped inside the deep excavation, the groundwater level in the variable hydraulic boundary recovers to its initial value, and the duration time is set as 170.0 h.
- Secondary dewatering: In this stage, the law of strata deformation caused by the secondary dewatering of the deep excavation under the condition of preconsolidation, which usually occurs when deep excavations are excavated by zones, is analyzed. The groundwater level drawdown inside the deep excavation is directly set as 450.0 mm, and the duration time is set as 190.0 h.
- Artificial recharging: In this stage, the control effect of the linear structure (tunnel) settlement under the action of artificial recharging in the process of deep excavation dewatering is analyzed. Water pressure in recharging wells is set as 1.0 kPa (100 mm initial groundwater level value), and the duration time is set as 110.0 h.
4. Results
4.1. Stratified Settlement of Strata in Open Spaces
4.2. Stratified Settlement of Strata around Buildings
4.3. Settlement of Tunnel
5. Discussion
6. Conclusions
- According to whether the overlying aquitard is coupled with groundwater seepage, the process of dewatering-induced stratified settlement in MAMA can be divided as compression in the confined aquifer, coordinated deformation in the overlying strata, and seepage and compression in the overlying strata. The soil shows compression under the drive of seepage within the range of the hydraulic gradient, whereas the soil above it is still affected by the coordinated deformation and shows expansion.
- Stratified settlement around the diaphragm wall is confined and expanded at the top strata (layer ③ + ④ in this test). The maximum ground settlement occurs approximately 45.0 m away from the deep excavation. When the groundwater level is recovered, the deformation of the sandy strata (layers ⑦ and ⑨) rebounds quickly. Meanwhile, such a rebound is difficult in the clayey strata (layers ③ + ④ and ⑤) due to plastic strain, and about 50.0% of the ground settlement is rebound. The large-scale and uninterrupted excavation and dewatering of the underground space are the main reasons for the continuous development of land subsidence.
- The existence of artificial underground structures will limit the deformation and internal expansion of the strata. Affected by the frictional resistance of buildings’ pile foundations, the settlement of each stratum within its length range is decreased, and the ground settlement is approximately 80.0% of that in open space. Therefore, dewatering-induced uneven settlement will cause damage to existing foundations and underground structures.
- When a tunnel exists, the ground settlement above it is decreased by about 45.0% because of its structural integrity. The maximum uneven settlement appears in the range of 45.0–90.0 m away from the perpendicular point to the deep excavation, especially when buildings exist around it. Artificial groundwater recharging can reduce the settlement of the tunnel and the surrounding strata. However, meeting the settlement control requirements is difficult because of their scope and amount.
Author Contributions
Funding
Institutional Review Board Statement
Informed Consent Statement
Data Availability Statement
Conflicts of Interest
References
- Poland, J.F.; Davis, G.H. Land subsidence due to withdrawal of fluids. Rev. Eng. Geol. 1969, 2, 187–269. [Google Scholar] [CrossRef]
- Holzer, T.L.; Johnson, A.I. Land subsidence caused by ground water withdrawal in urban areas. GeoJournal 1985, 11, 245–255. [Google Scholar] [CrossRef]
- Galloway, D.L.; Burbey, T.J. Review: Regional land subsidence accompanying groundwater extraction. Hydrogeol. J. 2011, 19, 1459–1486. [Google Scholar] [CrossRef]
- Yan, X.X.; Yang, T.L.; Xu, Y.; Tosi, L.; Stouthamer, E.; Andreas, H.; Minderhoud, P.; Ladawadee, A.; Hanssen, R.; Erkens, G.; et al. Advances and practices on the research, prevention and control of land subsidence in coastal cities. Acta Geol. Sin. 2020, 94, 162–175. [Google Scholar] [CrossRef]
- Bagheri–Gavkosh, M.; Hosseini, S.M.; Ataie–Ashtiani, B.; Sohani, Y.; Ebrahimiana, H.; Morovat, F.; Ashrafi, S. Land subsidence: A global challenge. Sci. Total Environ. 2021, 778, 146193. [Google Scholar] [CrossRef] [PubMed]
- Herrera–García, G.; Ezquerro, P.; Tomás, R.; Béjar–Pizarro, M.; López–Vinielles, J.; Rossi, M.; Mateos, R.M.; Carreón–Freyre, D.; Lambert, J.; Teatini, P.; et al. Mapping the global threat of land subsidence. Science 2021, 371, 34–36. [Google Scholar] [CrossRef]
- Terzaghi, K. Die berechnung der durchlaèssigkeitsziffer des tones aus dem verlauf der hydrodynamischen spannungserscheinungen. Sitz. Akad Wiss Wien 1923, 132, 125–138. [Google Scholar]
- Giao, P.H.; Hue, V.T.; Han, N.D.; Anh, N.T.H.; Minh, N.N. Land subsidence prediction for a new urban mass rapid transit line in Hanoi. Undergr. Space 2020, 5, 93–104. [Google Scholar] [CrossRef]
- Ng, C.W.W.; Liu, G.B.; Li, Q. Investigation of the long–term tunnel settlement mechanisms of the first metro line in Shanghai. Can. Geotech. J. 2013, 50, 674–684. [Google Scholar] [CrossRef]
- Pujades, E.; Jurado, A. Groundwater-related aspects during the development of deep excavations below the water table: A short review. Undergr. Space 2021, 6, 35–45. [Google Scholar] [CrossRef]
- Zeng, C.F.; Xue, X.L.; Li, M.K. Use of cross wall to restrict enclosure movement during dewatering inside a metro pit before soil excavation. Tunn. Undergr. Space Technol. 2021, 112, 103909. [Google Scholar] [CrossRef]
- Wang, G.F.; Wu, Y.X.; Lu, L.H.; Li, G.; Shen, J.S. Investigation of the geological and hydrogeological environment with relation to metro system construction in Jinan, China. Bull. Eng. Geol. Environ. 2019, 78, 1005–1024. [Google Scholar] [CrossRef]
- Wu, Y.X.; Lyu, H.M.; Han, J.; Shen, S.L. Dewatering–induced building settlement around a deep excavation in soft deposit in Tianjin, China. J. Geotech. Geoenvironmental Eng. 2019, 145, 05019003. [Google Scholar] [CrossRef]
- Nikbakhti, O.; Hashemi, M.; Banikheir, M.; Basmenj, A.K. Geoenvironmental assessment of the formation and expansion of earth fissures as geological hazards along the route of the Haram-to-Haram Highway, Iran. Bull. Eng. Geol. Environ. 2017, 77, 1421–1438. [Google Scholar] [CrossRef]
- Shen, S.L.; Xu, Y.S. Numerical evaluation of land subsidence induced by groundwater pumping in Shanghai. Can. Geotech. J. 2011, 48, 1378–1392. [Google Scholar] [CrossRef]
- Khosravi, M.; Khosravi, M.H.; Najafabadi, S.H.G. Determining the portion of dewatering–induced settlement in excavation pit projects. Int. J. Geotech. Eng. 2021, 15, 563–573. [Google Scholar] [CrossRef]
- Wang, J.X.; Wu, L.G.; Zhu, Y.F.; Tang, Y.Q.; Yang, P.; Lou, R.X. Mechanism of dewatering–induced ground subsidence in deep subway station pit and calculation method. Chin. J. Rock Mech. Eng. 2009, 28, 1010–1019. (In Chinese) [Google Scholar] [CrossRef]
- Wang, J.X.; Huang, T.R.; Sui, D.C. A case study on stratified settlement and rebound characteristics due to dewatering in Shanghai subway station. Sci. World J. 2013, 2013, 213070. [Google Scholar] [CrossRef]
- Loáiciga, H.A. Consolidation settlement of aquifers caused by pumping. J. Geotech. Geoenvironmental Eng. 2013, 139, 1191–1204. [Google Scholar] [CrossRef]
- Zhang, Y.; Yan, X.X.; Yang, T.L.; Wu, J.C.; Wu, J.Z. Three–dimensional numerical investigation of pore water pressure and deformation of pumped aquifer systems. Groundwater 2020, 58, 278–290. [Google Scholar] [CrossRef]
- Buckingham, E. On physically similar systems: Illustrations of the use of dimensional equations. Phys. Rev. 1914, 4, 345–376. [Google Scholar] [CrossRef]
- Lv, W.H.; Miao, L.C.; Li, C.L. Physical model test of land subsidence caused by groundwater withdrawal. Geo–Front. Congr. 2011, 2011, 1623–1630. [Google Scholar] [CrossRef]
- He, G.F.; Yan, X.X.; Zhang, Y.; Yang, T.L.; Wu, J.C.; Bai, Y.; Gu, D. Experimental study on the vertical deformation of soils due to groundwater withdrawal. Int. J. Geomech. 2020, 20, 04020076. [Google Scholar] [CrossRef]
- Wu, J.H.; Shi, B.; Cao, D.F.; Jiang, H.T.; Wang, X.F.; Gu, K. Model test of soil deformation response to draining–recharging conditions based on DFOS. Eng. Geol. 2017, 226, 107–121. [Google Scholar] [CrossRef]
- Liu, J.; Song, Z.Z.; Lu, Y.; Bai, Y.X.; Qian, W.; Kanungo, D.P.; Chen, Z.H.; Wang, Y. Monitoring of vertical deformation response to water draining–recharging conditions using BOFDA–based distributed optical fiber sensors. Environ. Earth Sci. 2019, 78, 406. [Google Scholar] [CrossRef]
- Wang, J.X.; Deng, Y.S.; Ma, R.Q.; Liu, X.T.; Guo, Q.F.; Liu, S.L.; Shao, Y.L.; Wu, L.B.; Zhou, J.; Yang, T.L.; et al. Model test on partial expansion in stratified subsidence during foundation pit dewatering. J. Hydrol. 2018, 557, 489–508. [Google Scholar] [CrossRef]
- Cui, Z.D.; Jia, Y.J. Physical model test of layered soil subsidence considering dual effects of building load and groundwater withdrawal. Arab. J. Sci. Eng. 2018, 43, 1721–1734. [Google Scholar] [CrossRef]
- Dassargues, A.; Biver, P.; Monjoie, A. Geotechnical properties of the Quaternary sediments in Shanghai. Eng. Geol. 1991, 31, 71–90. [Google Scholar] [CrossRef]
- Wang, J.X.; Liu, X.T.; Yang, T.L. Prevention partition for land subsidence induced by engineering dewatering in Shanghai. Proc. Int. Assoc. Hydrol. Sci. 2015, 372, 207–210. [Google Scholar] [CrossRef][Green Version]
- Wu, Y.X.; Shen, S.L.; Wu, H.N.; Xu, Y.S.; Yin, Z.Y.; Sun, W.J. Environmental protection using dewatering technology in a deep confined aquifer beneath a shallow aquifer. Eng. Geol. 2015, 196, 59–70. [Google Scholar] [CrossRef]
- Bear, J. Hydraulics of Groundwater; McGraw–Hill International Book Company: New York, NY, USA, 1979. [Google Scholar]
- Wang, C.T.; Yeh, H.D.; Tsai, C.S. Transient drawdown solution for a constant pumping test in finite two-zone confined aquifers. Hydrol. Earth Syst. Sci. Discuss. 2011, 8, 9299–9321. [Google Scholar] [CrossRef]
- Liu, G.B.; Huang, P.; Shi, J.W.; Ng, C.W.W. Performance of a deep excavation and its effect on adjacent tunnels in Shanghai soft clay. J. Perform. Constr. Facil. 2016, 30, 04016041. [Google Scholar] [CrossRef]
- Loganathan, N.; Poulos, H.G. Analytical prediction for tunneling-induced ground movements in clays. J. Geotech. Geoenvironmental Eng. 1998, 124, 846–856. [Google Scholar] [CrossRef]
- Oggeri, C.; Oreste, P. Tunnel static behavior assessed by a probabilistic approach to the back-analysis. Am. J. Appl. Sci. 2012, 9, 1137–1144. [Google Scholar] [CrossRef]












| Strata Calendar | Genetic Category | No. | Geological Characteristics | Hydrogeology and Engineering Geology Type | |
|---|---|---|---|---|---|
| Holocene ) | Estuarine facies, littoral facies | ① | Miscellaneous fill | Phreatic aquifer (PAq) | |
| Estuarine facies, littoral facies | ②1 | Clay | |||
| ②2 | Clay, mucky clay | ||||
| ②3 | Silty soil, silty sand | ||||
| Littoral facies, neritic facies | ③ | Mucky silty clay | First soft soil (SSo–I) | ||
| ④ | Mucky clay | ||||
| Littoral facies, swamp facies | ⑤1 | Clay | Second soft soil (SSo–II) | ||
| Drowned river valley | ⑤2 | Sandy silt, silty sand | Micro confined aquifer (MCAq) | ||
| ⑤3 | Silty clay, clayey silt | Second soft soil (SSo–II) | |||
| ⑤4 | Silty clay, clayey silt | ||||
| Upper Pleistocene ) | Lacustrine facies, swamp facies | ⑥ | Clay | First hard soil (HSo–I) | |
| Estuarine facies, littoral facies | ⑦1 | Silty sand | First confined aquifer (CAq–I) | ||
| ⑦2 | Silty fine sand | ||||
| Littoral facies, neritic facies | ⑧1 | Clay | Second hard soil (HSo–II) | ||
| ⑧2 | Silty clay, silty sand | ||||
| Littoral facies, estuarine facies | ⑨1 | Silty sand, fine sand | Second confined aquifer (CAq–II) | ||
| ⑨2 | Medium–coarse sand, fine sand | ||||
| Middle Pleistocene ) | Estuarine facies, lacustrine facies | ⑩ | Clay | Third hard soil (HSo–III) | |
| Estuarine facies, littoral facies | ⑪ | Silty fine sand, medium–coarse sand, gravel | Third confined aquifer (CAq–III) | ||
| Lower Pleistocene ) | Lacustrine facies | ⑫ | Clay | Fourth hard soil (HSo–IV) | |
| Fluvial facies | ⑬ | Medium–coarse sand, gravel | Fourth confined aquifer (CAq–IV) | ||
| Lacustrine facies | ⑭ | Clay | Fifth hard soil (HSo–V) | ||
| Fluvial facies | ⑮ | Medium–fine sand | Fifth confined aquifer (CAq–V) | ||
| Lacustrine facies | ⑯ | Clay, gravel | Sixth hard soil (HSo–VI) | ||
| Parameters | Symbol | Dimensional Analysis | Similarity Ratio (Prototype/Physical Model) |
|---|---|---|---|
| Stratum’s thickness | 150:1 | ||
| Weight | 1:1 | ||
| Young’s modulus | 150:1 | ||
| Hydraulic conductivity | 10:1 | ||
| Groundwater level drawdown | 150:1 | ||
| Pore water pressure | 150:1 | ||
| Settlement | 150:1 |
| Stratum | Materials | Thickness (mm) | Young’s Modulus, | Hydraulic Conductivity, (cm/s) | Weight, (kN/m3) |
|---|---|---|---|---|---|
| ① + ② | Counterweight by medium–coarse sand | 40.00 | – | – | 18.30 |
| ③ + ④ | Mixture (weight ratio 30.0:2.3:0.6, clay–water–sponge) | 140.00 | 4.18 × 10−7 | 17.10 | |
| ⑤ | Mixture (weight ratio 15.0:15.0:1.5:0.6, clay–fine sand–water–sponge) | 130.00 | 9.47 × 10−7 | 18.90 | |
| ⑦ | Fine sand | 250.00 | 4.31 × 10−4 | 17.80 | |
| ⑨ | Medium–coarse sand | 500.00 | 1.16 × 10−3 | 18.30 |
| Category | Deep Excavation Model | Discharge/Recharge Well | ||||
|---|---|---|---|---|---|---|
| Inner Diameter | Thickness | Excavation Depth | Buried Depth | Well Screen Length | Outer Diameter with Sand Filter | |
| Prototype (m) | 30.00 | 1.50 | 59.60 | 105.00 | 30.00 | 1.20 |
| Physical model (mm) | 200.00 | 10.00 | 400.00 | 700.00 | 200.00 | 8.00 |
Publisher’s Note: MDPI stays neutral with regard to jurisdictional claims in published maps and institutional affiliations. |
© 2022 by the authors. Licensee MDPI, Basel, Switzerland. This article is an open access article distributed under the terms and conditions of the Creative Commons Attribution (CC BY) license (https://creativecommons.org/licenses/by/4.0/).
Share and Cite
Liu, X.; Wang, J.; Yang, T.; Wang, L.; Xu, N.; Long, Y.; Huang, X. Dewatering-Induced Stratified Settlement around Deep Excavation: Physical Model Study. Appl. Sci. 2022, 12, 8929. https://doi.org/10.3390/app12188929
Liu X, Wang J, Yang T, Wang L, Xu N, Long Y, Huang X. Dewatering-Induced Stratified Settlement around Deep Excavation: Physical Model Study. Applied Sciences. 2022; 12(18):8929. https://doi.org/10.3390/app12188929
Chicago/Turabian StyleLiu, Xiaotian, Jianxiu Wang, Tianliang Yang, Lujun Wang, Na Xu, Yanxia Long, and Xinlei Huang. 2022. "Dewatering-Induced Stratified Settlement around Deep Excavation: Physical Model Study" Applied Sciences 12, no. 18: 8929. https://doi.org/10.3390/app12188929
APA StyleLiu, X., Wang, J., Yang, T., Wang, L., Xu, N., Long, Y., & Huang, X. (2022). Dewatering-Induced Stratified Settlement around Deep Excavation: Physical Model Study. Applied Sciences, 12(18), 8929. https://doi.org/10.3390/app12188929

