A New, Efficient Conversion Technology to Transform Ambient CO2 to Valuable, Carbon-Based Fuel via Molten Salt Electrochemistry
Abstract
:1. Introduction
2. Materials and Methods
3. Results and Discussion
3.1. Reaction Mechanism of Single CO2 and CO2 and H2O
3.2. The Cathodic Production of Carbon
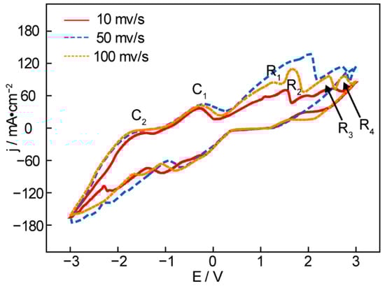
3.3. The Effects of LiOH Addition on the Cathodic Products
4. Conclusions
Author Contributions
Funding
Institutional Review Board Statement
Informed Consent Statement
Conflicts of Interest
References
- Xiao, C.; Zhang, J. Architectural design for enhanced C2 product selectivity in electrochemical CO2 reduction using Cu-based catalysts: A review. ACS Nano 2021, 15, 7975–8000. [Google Scholar] [CrossRef] [PubMed]
 - Akhundi, A.; Habibi-Yangjeh, A.; Abitorabi, M.; Rahim Pouran, S. Review on photocatalytic conversion of carbon dioxide to value-added compounds and renewable fuels by graphitic carbon nitride-based photocatalysts. Catal. Rev. 2019, 61, 595–628. [Google Scholar] [CrossRef]
 - Yao, D.; Tang, C.; Vasileff, A.; Zhi, X.; Jiao, Y.; Qiao, S.Z. The controllable reconstruction of Bi-MOFs for electrochemical CO2 reduction through electrolyte and potential mediation. Angew. Chem. Int. Ed. 2021, 60, 18178–18184. [Google Scholar] [CrossRef] [PubMed]
 - Idrees, M.; Batool, S.; Javed, M.S.; Ahmad, M.; Khan, Q.U.; Imran, M.; Rasaki, S.A.; Mwizerwa, J.P.; Chen, Z. Adsorption and electrochemical facet of polymer precursor to yield mesoporous carbon ceramic. Sep. Purif. Technol. 2021, 275, 119199. [Google Scholar] [CrossRef]
 - Idrees, M.; Liu, L.; Batool, S.; Luo, H.; Liang, J.; Xu, B.; Wang, S.; Long, J. Cobalt-doping enhancing electrochemical performance of silicon/carbon nanocomposite as highly efficient anode materials in lithium-ion batteries. Eng. Sci. 2019, 6, 64–76. [Google Scholar] [CrossRef]
 - Idrees, M.; Batool, S.; Kong, J.; Zhuang, Q.; Liu, H.; Shao, Q.; Lu, N.; Feng, Y.; Wujcik, E.K.; Gao, Q.; et al. Polyborosilazane derived ceramics-nitrogen sulfur dual doped graphene nanocomposite anode for enhanced lithium ion batteries. Electrochim. Acta 2019, 296, 925–937. [Google Scholar] [CrossRef]
 - Idrees, M.; Batool, S.; Zhuang, Q.; Kong, J.; Seok, I.; Zhang, J.; Liu, H.; Murugadoss, V.; Gao, Q.; Guo, Z. Achieving carbon-rich silicon-containing ceramic anode for advanced lithium ion battery. Ceram. Int. 2019, 45, 10572–10580. [Google Scholar] [CrossRef]
 - Wang, Y.; Zhao, L.; Otto, A.; Robinius, M.; Stolten, D. A review of post-combustion CO2 capture technologies from coal-fired power plants. Energy Procedia 2017, 114, 650–665. [Google Scholar] [CrossRef]
 - Song, Y.; Wang, S.; Cheng, Z.; Huang, M.; Zhang, Y.; Zheng, J.; Jiang, L.; Liu, L. Dependence of the hydrate-based CO2 storage process on the hydrate reservoir environment in high-efficiency storage methods. Chem. Eng. J. 2021, 415, 128937. [Google Scholar] [CrossRef]
 - Wickramasinghe, S.; Wang, J.; Morsi, B.; Li, B. Carbon dioxide conversion to nanomaterials: Methods, applications, and challenges. Energy Fuels 2021, 35, 11820–11834. [Google Scholar] [CrossRef]
 - Jiang, D.; Zhou, Y.; Zhang, Q.; Song, Q.; Zhou, C.; Shi, X.; Li, D. Synergistic integration of Au Cu co-catalyst with oxygen vacancies on TiO2 for efficient photocatalytic conversion of CO2 to CH4. ACS Appl. Mater. Interfaces 2021, 13, 46772–46782. [Google Scholar] [CrossRef] [PubMed]
 - Fu, J.; Liu, K.; Jiang, K.; Li, H.; An, P.; Li, W.; Zhang, W.; Li, H.; Xu, X.; Zhou, H.; et al. Graphitic carbon nitride with dopant induced charge localization for enhanced photoreduction of CO2 to CH4. Adv. Sci. 2019, 6, 1900796. [Google Scholar] [CrossRef] [PubMed]
 - De Vasconcelos, B.R.; Zhao, L.; Sharrock, P.; Nzihou, A.; Minh, D.P. Catalytic transformation of carbon dioxide and methane into syngas over ruthenium and platinum supported hydroxyapatites. Appl. Surf. Sci. 2016, 390, 141–156. [Google Scholar] [CrossRef]
 - Jiwanti, P.K.; Natsui, K.; Nakata, K.; Einaga, Y. The electrochemical production of C2/C3 species from carbon dioxide on copper-modified boron-doped diamond electrodes. Electrochim. Acta 2018, 266, 414–419. [Google Scholar] [CrossRef]
 - Anker, M.D.; Coles, M.P. Aluminium-mediated carbon dioxide reduction by an isolated monoalumoxane anion. Angew. Chem. Int. Ed. 2019, 131, 18429–18433. [Google Scholar] [CrossRef]
 - Daiyan, R.; Lu, X.; Ng, Y.H.; Amal, R. Liquid hydrocarbon production from CO2: Recent development in metal-based electrocatalysis. ChemSusChem 2017, 10, 4342–4358. [Google Scholar] [CrossRef]
 - Kar, S.; Goeppert, A.; Prakash, G.S. Integrated CO2 capture and conversion to formate and methanol: Connecting two threads. Acc. Chem. Res. 2019, 52, 2892–2903. [Google Scholar] [CrossRef] [PubMed]
 - Pan, H.; Heagy, M.D. Photons to formate: A review on photocatalytic reduction of CO2 to formic acid. Nanomaterials 2020, 10, 2422. [Google Scholar] [CrossRef] [PubMed]
 - Wang, Y.; Kazumi, S.; Gao, W.; Gao, X.; Li, H.; Guo, X.; Yoneyama, Y.; Yang, G.; Tsubaki, N. Direct conversion of CO2 to aromatics with high yield via a modified Fischer-Tropsch synthesis pathway. Appl. Catal. B Environ. 2020, 269, 118792. [Google Scholar] [CrossRef]
 - Ijije, H.V.; Lawrence, R.C.; Chen, G.Z. Carbon electrodeposition in molten salts: Electrode reactions and applications. RSC Adv. 2014, 4, 35808–35817. [Google Scholar] [CrossRef] [Green Version]
 - Chery, D.; Albin, V.; Meléndez-Ceballos, A.; Lair, V.; Cassir, M. Mechanistic approach of the electrochemical reduction of CO2 into CO at a gold electrode in molten carbonates by cyclic voltammetry. Int. J. Hydrogen Energy 2016, 41, 18706–18712. [Google Scholar] [CrossRef]
 - Zhan, Z.; Zhao, L. Electrochemical reduction of CO2 in solid oxide electrolysis cells. J. Power Sources 2010, 195, 7250–7254. [Google Scholar] [CrossRef]
 - Wu, H.; Li, Z.; Ji, D.; Liu, Y.; Li, L.; Yuan, D.; Zhnag, Z.; Ren, J.; Lefler, M.; Wang, B.; et al. One-pot synthesis of nanostructured carbon materials from carbon dioxide via electrolysis in molten carbonate salts. Carbon 2016, 106, 208–217. [Google Scholar] [CrossRef]
 - Wu, H.; Ji, D.; Li, L.; Yuan, D.; Zhu, Y.; Wang, B.; Zhang, Z.; Licht, S. A new technology for efficient, high yield carbon dioxide and water transformation to methane by electrolysis in molten salts. Adv. Mater. Technol. 2016, 1, 1600092. [Google Scholar] [CrossRef]
 - Ji, D.; Li, Z.; Li, W.; Yuan, D.; Wang, Y.; Yu, Y.; Wu, H. The optimization of electrolyte composition for CH4 and H2 generation via CO2/H2O co-electrolysis in eutectic molten salts. Int. J. Hydrogen Energy 2019, 44, 5082–5089. [Google Scholar] [CrossRef]
 - Available online: https://webbook.nist.gov (accessed on 18 August 2022).
 - Li, Z.; Yuan, D.; Wu, H.; Li, W.; Gu, D. A novel route to synthesize carbon spheres and carbon nanotubes from carbon dioxide in a molten carbonate electrolyzer. Inorg. Chem. Front. 2018, 5, 208–216. [Google Scholar] [CrossRef]
 - Ji, D.; Liu, Y.; Li, Z.; Yuan, D.; Yang, G.; Jiang, M.; Wang, Y.; Yu, Y.; Wu, H. A comparative study of electrodes in the direct synthesis of CH4 from CO2 and H2O in molten salts. Int. J. Hydrogen Energy 2017, 42, 18156–18164. [Google Scholar] [CrossRef]
 - Ingram, M.D.; Baron, B.; Janz, G.J. The electrolytic deposition of carbon from fused carbonates. Electrochim. Acta 1966, 11, 1629–1639. [Google Scholar] [CrossRef]
 - Wu, H.; Liu, Y.; Ji, D.; Li, Z.; Yi, G.; Yuan, D.; Wang, B.; Zhang, Z.; Wang, P. Renewable and high efficient syngas production from carbon dioxide and water through solar energy assisted electrolysis in eutectic molten salts. J. Power Sources 2017, 362, 92–104. [Google Scholar] [CrossRef]
 - Ijije, H.V.; Sun, C.; Chen, G.Z. Indirect electrochemical reduction of carbon dioxide to carbon nanopowders in molten alkali carbonates: Process variables and product properties. Carbon 2014, 73, 163–174. [Google Scholar] [CrossRef] [Green Version]
 - Yin, H.; Mao, X.; Tang, D.; Xiao, W.; Xing, L.; Zhu, H.; Wang, D.; Sadoway, D.R. Capture and electrochemical conversion of CO2 to value-added carbon and oxygen by molten salt electrolysis. Energy Environ. Sci. 2013, 6, 1538–1545. [Google Scholar] [CrossRef]
 - Yin, H.; Mao, X.; Tang, D.; Xiao, W.; Xing, L.; Zhu, H.; Wang, D.; Sadoway, D.R. A new solar carbon capture process: Solar thermal electrochemical photo (STEP) carbon capture. J. Phys. Chem. Lett. 2010, 1, 2363–2368. [Google Scholar]
 - Tang, D.; Yin, H.; Mao, X.; Xiao, W.; Wang, D.H. Effects of applied voltage and temperature on the electrochemical production of carbon powders from CO2 in molten salt with an inert anode. Electrochim. Acta 2013, 114, 567–573. [Google Scholar] [CrossRef]
 - Wu, H.; Zhang, Z. High photoelectrochemical water splitting performance on nitrogen doped double-wall TiO2 nanotube array electrodes. Int. J. Hydrogen Energy 2011, 36, 13481–13487. [Google Scholar] [CrossRef]
 







| T (K) | Carbonate | E°M (V) | E°C (V) | E°CO (V) | 
|---|---|---|---|---|
| 700 | Li2CO3 | 3.218 | 1.901 | 2.318 | 
| Na2CO3 | 2.791 | 2.706 | 3.392 | |
| K2CO3 | 2.853 | 3.249 | 4.116 | |
| 750 | Li2CO3 | 3.145 | 1.845 | 2.221 | 
| Na2CO3 | 2.719 | 2.655 | 3.301 | |
| K2CO3 | 2.778 | 3.191 | 4.014 | |
| 800 | Li2CO3 | 3.071 | 1.789 | 2.124 | 
| Na2CO3 | 2.649 | 2.603 | 3.209 | |
| K2CO3 | 2.703 | 3.132 | 3.913 | |
| 850 | Li2CO3 | 2.998 | 1.735 | 2.029 | 
| Na2CO3 | 2.579 | 2.552 | 3.118 | |
| K2CO3 | 2.631 | 3.074 | 3.813 | |
| 900 | Li2CO3 | 2.926 | 1.681 | 1.933 | 
| Na2CO3 | 2.508 | 2.502 | 3.027 | |
| K2CO3 | 2.557 | 3.015 | 3.712 | 
| No. | Electrolysis Parameters | Gas Content | |||
|---|---|---|---|---|---|
| Temperature (°C)  | Voltage (V)  | CH4 (%)  | CO (%)  | H2 (%)  | |
| 1 | 450 | 2.0 | 18.2 | \ | 81.7 | 
| 2 | 500 | 2.0 | 22.1 | \ | 77.6 | 
| 3 | 550 | 2.0 | 40.1 | \ | 59.5 | 
| 4 | 600 | 2.0 | 30.4 | 0.1 | 69.3 | 
| 5 | 650 | 2.0 | 27.3 | 2.4 | 69.9 | 
| 6 | 550 | 1.0 | \ | \ | 100 | 
| 7 | 550 | 1.5 | \ | \ | 100 | 
| 8 | 550 | 2.5 | 13.3 | 9.2 | 77.2 | 
| 9 | 550 | 3.0 | 5.4 | 20.2 | 74.0 | 
| 10 | 550 | 3.5 | 1.9 | 33.6 | 64.2 | 
Publisher’s Note: MDPI stays neutral with regard to jurisdictional claims in published maps and institutional affiliations.  | 
© 2022 by the authors. Licensee MDPI, Basel, Switzerland. This article is an open access article distributed under the terms and conditions of the Creative Commons Attribution (CC BY) license (https://creativecommons.org/licenses/by/4.0/).
Share and Cite
Ji, D.; Jia, Q.; Zhu, C.; Dong, W.; Wu, H.; Wang, G. A New, Efficient Conversion Technology to Transform Ambient CO2 to Valuable, Carbon-Based Fuel via Molten Salt Electrochemistry. Appl. Sci. 2022, 12, 8874. https://doi.org/10.3390/app12178874
Ji D, Jia Q, Zhu C, Dong W, Wu H, Wang G. A New, Efficient Conversion Technology to Transform Ambient CO2 to Valuable, Carbon-Based Fuel via Molten Salt Electrochemistry. Applied Sciences. 2022; 12(17):8874. https://doi.org/10.3390/app12178874
Chicago/Turabian StyleJi, Deqiang, Qingxin Jia, Chuanli Zhu, Wei Dong, Hongjun Wu, and Guanzhong Wang. 2022. "A New, Efficient Conversion Technology to Transform Ambient CO2 to Valuable, Carbon-Based Fuel via Molten Salt Electrochemistry" Applied Sciences 12, no. 17: 8874. https://doi.org/10.3390/app12178874
APA StyleJi, D., Jia, Q., Zhu, C., Dong, W., Wu, H., & Wang, G. (2022). A New, Efficient Conversion Technology to Transform Ambient CO2 to Valuable, Carbon-Based Fuel via Molten Salt Electrochemistry. Applied Sciences, 12(17), 8874. https://doi.org/10.3390/app12178874
        
