Stochastic Modeling of the Al Hoceima (Morocco) Aftershock Sequences of 1994, 2004 and 2016
Abstract
:1. Introduction
2. Geological Setting Overview
3. Aftershock Sequences Description
4. Seismic Series Stress Regime
5. Magnitude–Frequency Relationships
6. Temporal Stochastic Modeling for the Al Hoceima Sequences
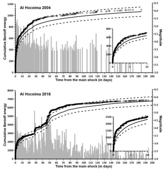
7. Stochastic Model for the Energy Release
8. Discussion
9. Conclusions
Author Contributions
Funding
Data Availability Statement
Acknowledgments
Conflicts of Interest
References
- Mogi, K. Some discussions on aftershocks, foreshocks and earthquake swarms. The fracture of a semi-infinite body caused by an inner stress origin and its relation to the earthquake phenomena. Bull. Earthq. Res. Inst. 1963, 41, 615–658. [Google Scholar]
- Gospodinov, D.; Rotondi, R. Statistical analysis of triggered seismicity in the Kresna region of SW Bulgaria (1904) and the Umbria-Marche region of central Italy (1997). Pure Appl. Geophys. 2006, 163, 1597–1615. [Google Scholar] [CrossRef]
- Omori, F. On the aftershocks of earthquake. J. Coll. Sci. Imp. Univ. Tokyo 1894, 7, 111–200. [Google Scholar]
- Utsu, T. A statistical study on the occurrence of aftershocks. Geophys. Mag. 1961, 30, 521–605. [Google Scholar]
- Ogata, Y. Statistical models for earthquake occurrence and residual analysis for point processes. J. Am. Stat. Assoc. 1988, 83, 9–27. [Google Scholar] [CrossRef]
- Vere-Jones, D.; Davies, R.B. A statistical survey of earthquakes in the main seismic region of New Zealand. Part 2. Time Series Analyses. N. Z. J. Geol. Geophys. 1966, 9, 251–284. [Google Scholar] [CrossRef]
- Vere-Jones, D. Stochastic models for earthquake occurrence (with discussion). J. Roy. Statist. Soc. Ser. 1970, 32, 1–62. [Google Scholar]
- Gospodinov, D.; Rotondi, R. RETAS: A restricted ETAS model inspired by Bath’s law. In Proceedings of the 4th International Workshop on Statistical Seismology, Kanagawa, Japan, 9–13 January 2006. [Google Scholar]
- Bath, M. Lateral inhomogeneities in the upper mantle. Tectonophysics 1965, 2, 483–514. [Google Scholar] [CrossRef]
- Bath, M. Introduction to Seismology; BirkhauserVerlag: Basel, Switzerland, 1973; 395p. [Google Scholar]
- Ogata, Y. Exploratory analysis of earthquake clusters by likelihood-based trigger models. J. Appl. Probab. 2001, 38A, 202–212. [Google Scholar] [CrossRef]
- Console, R.; Lombardi, A.M.; Murru, M.; Rhoades, D. Båth’s law and the self-similarity of earthquakes. J. Geophys. Res. 2003, 108, 2128. [Google Scholar] [CrossRef]
- Hamdache, M.; Henares, J.; Peláez, J.A.; Damerdji, J. Fractal analysis of earthquake sequences in the Ibero-Maghrebian region. Pure Appl. Geophys. 2019, 176, 1379–1416. [Google Scholar] [CrossRef]
- Panzera, F.; Zechar, J.D.; Vogfjörd, K.S.; Eberhard, D.A.J. A revised earthquake catalogue for South Iceland. Pure Appl. Geophys. 2015, 173, 97–116. [Google Scholar] [CrossRef]
- Chalouan, A.; Michard, A.; El Kadiri, K.; Negro, F.; de Lamotte, D.F.; Soto, J.I.; Saddiqi, O. The Rif Belt. In Continental Evolution: The Geology of Morocco. Lecture Notes in Earth Sciences; Michard, A., Saddiqi, O., Chalouan, A., Lamotte, D.F., Eds.; Springer: Berlin/Heidelberg, Germany, 2008; Volume 116, pp. 203–302. [Google Scholar]
- Comas, M.C.; García-Dueñas, V.; Jurado, M.J. Neogene tectonic evolution of the Alboran Sea from MCS data. Geo. Mar. Lett. 1992, 12, 157–164. [Google Scholar] [CrossRef]
- Boillot, G.; Montadert, L.; Lemoine, M.; Biju-Duval, B. Les Margescontinentales Actuelles et Fossiles Autour de la France; Elsevier Masson: Amsterdam, The Netherlands, 1984; 352p. [Google Scholar]
- De Mets, C.; Gordon, R.G.; Argus, D.F. Geologically current plate motions. Geophys. J. Int. 2010, 181, 1–80. [Google Scholar] [CrossRef] [Green Version]
- Peláez, J.A.; Henares, J.; Hamdache, M.; Sanz de Galdeano, C. A seismogenic zone model for seismic hazard studies in Northwestern Africa. In Moment Tensor Solutions. A Useful Tool for Seismotectonics; D’Amico, S., Ed.; Springer Natural Hazards: Berlin/Heidelberg, Germany, 2018; pp. 643–680. [Google Scholar]
- Sparacino, F.; Palano, M.; Peláez, J.A.; Fernández, J. Geodetic deformation versus seismic crustal moment-rates: Insights from the Ibero-Maghrebian region. Remote Sens. 2020, 12, 952. [Google Scholar] [CrossRef]
- Pedrera, A.; Ruiz Constán, A.; Galindo-Zaldívar, J.; Chalouan, A.; Sanz de Galdeano, C.; Marín Lechado, C.; Ruano, P.; Benmakhlouf, M.; Akil, M.; López Garrido, C.; et al. Is there an active subduction beneath the Gibraltar orogenic arc? Constraints from Pliocene to present-day stress field. J. Geodyn. 2011, 52, 83–96. [Google Scholar] [CrossRef]
- Martínez-García, P.; Comas, M.; Lonergan, L.; Watts, A.B. From extension to shortening: Tectonic inversion distributed in time and space in the Alboran Sea, western Mediterranean. Tectonics 2017, 36, 2777–2805. [Google Scholar] [CrossRef]
- Larouzière, F.; Bolze, J.; Bordet, P.; Hernández, J.; Montenat, C.; Ott d’Estevou, P. The Betic segment of the lithospheric Trans-Alboran shear zone during the Late Miocene. Tectonophysics 1988, 152, 41–52. [Google Scholar] [CrossRef]
- Benkmakhlouf, M.; Galindo-Zaldívar, J.; Chalouan, A.; Sanz de Galdeano, C.; Ahmamou, M.; López-Garrido, A.C. Inversion of transfer faults: The Jebha-Chrafate fault (Rif, Morocco). J. Afr. Earth Sci. 2012, 73–74, 33–43. [Google Scholar] [CrossRef]
- Sautkin, A.; Talukder, A.R.; Comas, M.C.; Soto, J.I.; Alekseev, A. Mud volcanoes in the Alboran Sea: Evidence from micro paleontological and geophysical data. Mar. Geol. 2003, 195, 237–261. [Google Scholar] [CrossRef]
- Galindo Zaldívar, J.; Ercilla, G.; Estrada, F.; Catalán, M.; d’Acremont, E.; Azzouz, O.; Casas, D.; Chourak, M.; Vázquez, J.T.; Chalouan, A.; et al. Imaging the growth of recent faults: The case of 2016–2017 seismic sequence sea bottom deformation in the Alboran Sea (western Mediterranean). Tectonics 2018, 37, 2513–2530. [Google Scholar] [CrossRef]
- Stich, D.; Mancilla, F.; Baumont, D.; Morales, J. Source analysis of the Mw 6.3 2004 Al Hoceima earthquake (Morocco) using regional apparent source time functions. J. Geophys. Res. 2005, 110, B06306. [Google Scholar]
- Akoglu, M.; Cakir, Z.; Meghraoui, M.; Belabbes, S.; El Alami, S.O.; Ergintav, S.; Akyuz, H.S. The 1994–2004 Al Hoceima (Morocco) earthquake sequence: Conjugate fault ruptures deduced from InSAR. Earth Planet. Sci. Lett. 2006, 252, 467–480. [Google Scholar] [CrossRef]
- Biggs, J.; Bergman, E.; Emmerson, B.; Funning, G.J.; Jackson, J.; Parson, B.; Wright, T.J. Fault identification for buried strike-slip earthquakes using INSAR: The 1994 and 2004 Al Hoceima, Morocco earthquakes. Geophys. J. Int. 2006, 166, 1347–1362. [Google Scholar] [CrossRef]
- Galindo Zaldívar, J.; Chalouan, A.; Azzouz, O.; Sanz de Galdeano, C.; Anahnah, F.; Ameza, L.; Ruano, P.; Pedrera, A.; Ruiz-Constan, A.; Marín-Lechado, C.; et al. Are seismological and geological observations of the Al Hoceima (Morocco Rif) 2004 earthquake (M=6.3) contradictory? Tectonophysics 2009, 475, 59–67. [Google Scholar] [CrossRef]
- Galindo Zaldívar, J.; Azzouz, O.; Chalouan, A.; Pedrera, A.; Ruano, P.; Ruiz Constán, A.; Sanz de Galdeano, C.; Marín Lechado, C.; López Garrido, A.C.; Anahnah, F.; et al. Extensional tectonics, graben development and fault terminations in the Eastern Rif (Bokoya-Ras Afrou área). Tectonophysics 2015, 663, 140–149. [Google Scholar] [CrossRef]
- El Alami, S.O.; Tadili, B.A.; Cherkaoui, T.E.; Medina, F.; Ramdani, M.; Aït Brahim, L.; Harnafi, M. The Al Hoceima earthquake of May 26, 1994 and its aftershocks: A seismotectonic study. Ann. Geophys. 1998, 41, 519–537. [Google Scholar] [CrossRef]
- Medina, F.; Cherkaoui, T.E. The south-western Alboran earthquake sequence of January-March 2016 and its associated coulomb stress changes. Open J. Earthq. Res. 2017, 26, 35–54. [Google Scholar] [CrossRef]
- Van der Woerd, J.; Dorbath, C.; Ousadou, F.; Dorbath, L.; Delouis, B.; Jacques, E.; Tapponnier, P.; Hahou, Y.; Menzhi, M.; Frogneux, M.; et al. The Al Hoceima Mw 6.4 earthquake of 24 February 2004 and its aftershocks sequence. J. Geodyn. 2014, 77, 89–109. [Google Scholar] [CrossRef]
- Kariche, J.; Meghraoui, M.; Timoulali, Y.; Cetin, E.; Toussaint, R. The Al Hoceima earthquake sequences of 1994, 2004 and 2016: Stress transfer and poroelasticity in the Rif and Alboran Sea region. Geophys. J. Int. 2018, 212, 42–53. [Google Scholar] [CrossRef]
- Buforn, E.; Pro, C.; Sanz de Galdeano, C.; Cantavella, J.V.; Cesca, S.; Caldeira, B.; Udías, A.; Mattesini, M. The 2016 south Alboran earthquake (Mw = 6.4): A reactivation of the Ibero-Maghrebian region? Tectonophysics 2017, 712, 704–715. [Google Scholar] [CrossRef]
- López Casado, C.; Garrido, J.; Delgado, J.; Peláez, J.A.; Henares, J. HVSR estimation of site effects in Melilla (Spain) and the damage pattern from the 01/25/2016 Mw 6.3 Alborán Sea earthquake. Nat. Hazards 2018, 93, S153–S167. [Google Scholar] [CrossRef]
- Mezcua, J.; Rueda, J. Seismological evidence for a delamination process in the lithosphere under the Alboran Sea. Geophys. J. Int. 1997, 129, F1–F8. [Google Scholar] [CrossRef]
- Medina, F.; El Alami, S.O. Focal Mechanisms and State of Stress in the Al Hoceima Area. Bull. L’institut Sci. Sect. Sci. Terre 2006, 28, 19–30. [Google Scholar]
- Thio, H.K.; Song, X.; Saikia, C.; Helmberger, D.V.; Woods, B.B. Seismic source and structure estimation in the western Mediterranean using sparse broadband network. J. Geophys. Res. 1999, 104, 845–861. [Google Scholar] [CrossRef]
- Bezzeghoud, M.; Buforn, E. Source parameters of the 1992 Melilla (Spain, MW = 4.8), 1994 Alhoceima (Morocco, MW = 5.8) and 1994 Mascara (Algeria, MW = 5.7) earthquakes and seismotectonic implications. Bull. Seism. Soc. Am. 1999, 89, 359–372. [Google Scholar]
- Delvaux, D.; Sperner, B. New aspects of tectonic stress inversion with reference to the TENSOR program. Geol. Soc. Lond. Spec. Publ. 2003, 212, 75–100. [Google Scholar] [CrossRef] [Green Version]
- Angelier, J.; Mechler, P. Sur une méthode graphique de recherche des contraintes principales également utilisable en tectonique et en sismologie: La méthode des diédres droits. Bull. Soc. Géol. France XIX 1977, 7, 1309–1318. [Google Scholar] [CrossRef]
- Delvaux, D.; Barth, A. African stress pattern from formal inversion of focal mechanism data. Tectonophysics 2010, 482, 105–128. [Google Scholar] [CrossRef]
- Hussein, H.M.; AbouElenean, K.M.; Marzou, I.A.; El-Nader, L.F.; Ghazala, H.; El Gabry, M.N. Present-day tectonic stress regime in Egypt and surrounding area based on inversion of earthquake focal mechanism. J. Afr. Earth. Sci. 2013, 81, 1–15. [Google Scholar] [CrossRef]
- Gephart, J.W.; Forsyth, D.W. An improved method for determining the regional stress tensor using earthquake focal mechanism data: Application to the San Fernando earthquake sequence. J. Geophys. Res. 1984, 89, 9305–9320. [Google Scholar] [CrossRef]
- Soumaya, A.; Ben Ayed, N.; Delvaux, D.; Ghanmi, M. Spatial variation of present-day stress field and tectonic regime in Tunisia and surroundings from formal inversion of focal mechanisms: Geodynamic implications for central Mediterranean. Tectonics 2015, 34, 1154–1180. [Google Scholar] [CrossRef]
- Sawires, R.; Peláez, J.A.; Ibrahim, H.A.; Fat Helbary, R.E.; Henares, J.; Hamdache, M. Delineation and characterization of a new seismic source model for seismic hazard studies in Egypt. Nat. Hazards 2016, 80, 1823–1864. [Google Scholar] [CrossRef]
- Hamdache, M.; Peláez, J.A.; Gospodinov, D.; Henares, J. Statistical features of the 2010 Beni-Ilmane, Algeria, aftershock sequence. Pure Appl. Geophys. 2018, 175, 773–792. [Google Scholar] [CrossRef]
- Henares, J.; López Casado, C.; Sanz de Galdeano, C.; Delgado, J.; Peláez, J.A. Stress field in the Ibero-Maghrebianregion. J. Seismol. 2003, 7, 65–78. [Google Scholar] [CrossRef]
- Sanz de Galdeano, C. Geologic evolution of the Betic Cordilleras in the Western Mediterranean, Miocene to the present. Tectonophysics 1990, 172, 107–119. [Google Scholar] [CrossRef]
- Sanz de Galdeano, C. The E-W segments of the contact between the External and Internal Zones of the Betic and Rif Cordilleras and the E-W corridors of the Internal Zone (A combined explanation). Estudios Geológicos 1996, 52, 123–136. [Google Scholar] [CrossRef]
- Galindo Zaldívar, J.; Jabaloy, A.; Serrano, I.; Morales, J.; González Lodeiro, F.; Torcal, F. Recent and present-day stresses in the Granada Basin (Betic Cordilleras): Example of a late Miocene-present-day extensional basin in a convergent plate boundary. Tectonics 1999, 18, 686–702. [Google Scholar] [CrossRef]
- Gutenberg, B.; Richter, C.F. Frequency of Earthquake in California. Bull. Seismol. Soc. Am. 1944, 34, 185–188. [Google Scholar] [CrossRef]
- Gutenberg, B.; Richter, C.F. Seismicity of the Earth; Princeton University Press: Princeton, NJ, USA, 1954; 310p. [Google Scholar]
- Schorlemmer, D.; Woessner, J. Probability of detecting anearthquake. Bull. Seismol. Soc. Am. 2008, 98, 2103–2117. [Google Scholar] [CrossRef]
- Mignan, A.; Werner, M.J.; Wiemer, S.; Chen, C.C.; Wu, Y.M. Bayesian estimation of the spatially varying completeness magnitude of earthquake catalogs. Bull. Seismol. Soc. Am. 2011, 101, 1371–1385. [Google Scholar] [CrossRef]
- Rydelek, P.A.; Sacks, I.S. Testing the completeness of earthquake catalogs and the hypothesis of self-similarity. Nature 1989, 337, 251–253. [Google Scholar] [CrossRef]
- Taylor, D.W.A.; Snoke, J.A.; Sacks, I.S.; Takanami, T. Non-linear frequency-magnitude relationship for the Hokkaido corner, Japan. Bull. Seismol. Soc. Am. 1990, 80, 605–609. [Google Scholar] [CrossRef]
- Woessner, J.; Wiemer, S. Assessing the quality of earthquake catalogs: Estimating the magnitude of completeness and its uncertainty. Bull. Seismol. Soc. Am. 2005, 95, 684–698. [Google Scholar] [CrossRef]
- Mignan, A.; Woessner, J. Estimating the Magnitude of Completeness for Earthquake Catalogs; Community Online Resource for Statistical Seismicity Analysis: 2012; 45p. Available online: http://www.corssa.org/en/articles/overview/ (accessed on 27 August 2022).
- Wiemer, S.; Wyss, M. Minimum magnitude of completeness in earthquake catalogs: Examples from Alaska, the Western United States, and Japan. Bull. Seismol. Soc. Am. 2000, 90, 859–869. [Google Scholar] [CrossRef]
- Ogata, Y.; Katsura, K. Analysis of the temporal and spatial heterogeneity of magnitude frequency distribution inferred from earthquake catalogs. Geophys. J. Int. 1993, 113, 727–738. [Google Scholar] [CrossRef]
- Amorese, D. Applying a change-point detection method on frequency-magnitude distribution. Bull. Seismol. Soc. Am. 2007, 97, 1742–1749. [Google Scholar] [CrossRef]
- Cao, A.M.; Gao, S.S. Temporal variation of seismic b-values beneath northeastern Japan island arc. Geophys. Res. Lett. 2002, 29, 48-1–48-3. [Google Scholar] [CrossRef]
- Leptokaropoulos, K.M.; Karakostas, V.G.; Papadimitriou, E.E.; Adamaki, A.K.; Tan, O.; İnan, S. A Homogeneous Earthquake Catalog for Western Turkey and Magnitude of Completeness Determination. Bull. Seismol. Soc. Am. 2013, 103, 2739–2751. [Google Scholar] [CrossRef]
- Wiemer, S. A software package to analyze seismicity: Zmap. Seismol. Res. Lett. 2001, 72, 373–382. [Google Scholar] [CrossRef]
- Aki, K. Maximum likelihood estimate of b in the formula Log N = a − bM and its confidence limits. Bull. Earthq. Res. Inst. Tokyo Univ. 1965, 43, 237–239. [Google Scholar]
- Shi, Y.; Bolt, B.A. The standard error of the magnitude frequency b value. Bull. Seismol. Soc. Am. 1982, 72, 1677–1687. [Google Scholar] [CrossRef]
- Marzocchi, W.; Sandri, L. A review and new insights on the estimation of the b-value and its uncertainty. Ann. Geophys. 2003, 46, 1271–1282. [Google Scholar]
- Márquez-Ramírez, V.H.; Nava, F.A.; Zúñiga, F.R. Correcting the Gutenberg-Richter b value for effects of rounding and noise. Earthq. Sci. 2015, 28, 129–134. [Google Scholar] [CrossRef]
- Utsu, T. A method for determining the value of b in theformula Log n = a − bm showing the magnitude-frequency relation for earthquakes. Geophys. Bull. Hokkaido Univ. 1965, 13, 99–103. (In Japanese) [Google Scholar]
- Utsu, T.; Ogata, Y.; Matsu’ura, R.S. The centenary of the Omori formula for a decay law of aftershock activity. J. Phys. Earth 1995, 43, 1–33. [Google Scholar] [CrossRef]
- Enescu, B.; Mori, J.; Masatoshi, M.; Kano, Y. Omori-Utsu law c-values associated with recent moderate earthquakes in Japan. Bull. Seismol. Soc. Am. 2009, 99, 884–891. [Google Scholar] [CrossRef]
- Kisslinger, C.; Jones, L.M. Properties of aftershocks in Southern California. J. Geophys. Res. 1991, 96, 11947–11958. [Google Scholar] [CrossRef]
- Nyffengger, P.; Frolich, C. Recommendations for determining p values for aftershock sequence and catalogs. Bull. Seismol. Soc. Am. 1998, 88, 1144–1154. [Google Scholar]
- Nyffengger, P.; Frolich, C. Aftershock occurrence rate decay properties for intermediate and deep earthquake sequences. Geophys. Res. Lett. 2000, 27, 1215–1218. [Google Scholar] [CrossRef]
- Daley, D.J.; Vere Jones, D. An Introduction to the Theory of Point Processes. Vol. I. Elementary Theory and Methods; Springer: Berlin/Heidelberg, Germany, 2003; 471. [Google Scholar]
- Zhuang, J.; Werner, M.J.; Hainzl, S.; Harte, D.; Zhou, S. Basic Models of Seismicity: Spatiotemporal Models; Community Online Resource for Statistical Seismicity Analysis. 2011. Available online: http://www.corssa.org/en/articles/overview/ (accessed on 27 August 2022).
- Gospodinov, D.; Karakostas, V.; Papadimitriou, E. Seismicity rate modeling for prospective stochastic forecasting. The case of 2014 Kefalonia, Greece, seismic excitation. Nat. Hazards 2015, 79, 1039–1058. [Google Scholar] [CrossRef] [Green Version]
- Utsu, T. Seismological evidence for anomalous structure of island arcs with special reference to the Japanese region. Rev. Geophys. 1971, 9, 839–890. [Google Scholar] [CrossRef]
- Akaike, H. A new look at the statistical model identification. IEEE Trans. Autom. Control 1974, 19, 716–723. [Google Scholar] [CrossRef]
- Gospodinov, D.; Rotondi, R. Exploratory analysis of marked Poisson processes applied to Balkan earthquake sequences. J. Balkan Geophys. Soc. 2001, 4, 61–68. [Google Scholar]
- Ross, S.M. Introduction to Probability Models; Academic Press: Berkeley, CA, USA, 2010; 842p. [Google Scholar]
- Taylor, H.M.; Karlin, S. An Introduction to Stochastic Modeling; Academic Press: Cambridge, MA, USA, 1984; 410p. [Google Scholar]
- Tzanis, A.; Vallianatos, F. Distributed power-law seismicity changes and crustal deformation in the SW Hellenic arc. Nat. Hazards Earth Syst. Sci. 2003, 3, 179–195. [Google Scholar] [CrossRef]
- Kanamori, H.; Anderson, D.L. Theoretical basis of some empirical relations in seismology. Bull. Seismol. Soc. Am. 1975, 65, 1073–1095. [Google Scholar]
- Hamdache, M.; Peláez, J.A.; Talbi, A. Scaling properties of aftershock sequences in Algeria Morocco Region. In Earthquake Research and Analysis—New Advances in Seismology; D’Amico, S., Ed.; Intech Open: London, UK, 2013. [Google Scholar] [CrossRef]
- Marzocchi, W.; Taroni, M.; Falcone, G. Earthquake forecasting during the complex Amatrice-Norcia seismic sequence. Sci. Adv. 2017, 3, e1701239. [Google Scholar] [CrossRef]
- Jordan, T.H.; Chen, Y.-T.; Gasparini, P.; Madariaga, R.; Main, I.; Marzocchi, W.; Papadopoulos, G.; Sobolev, G.; Yamaoka, K.; Zschau, J. Operational earthquake forecasting. State of knowledge and guidelines for utilization. Ann. Geophys. 2011, 54, 4. [Google Scholar] [CrossRef]
- Gospodinov, D.; Papadimitriou, E.E.; Karakostas, V.G.; Ranguelov, B. Analysis of relaxation temporal patterns in Greece through the RETAS model approach. Phys. Earth Planet. Int. 2007, 165, 158–175. [Google Scholar] [CrossRef] [Green Version]
















| Sequence | n | Mmin | mc | a ± σ | b ± σ | Sequence |
|---|---|---|---|---|---|---|
| 1994 | 263 | 2.0 | 2.8 | 5.05 ± 0.02 | 1.01 ± 0.07 | 1994 |
| 2004 | 969 | 1.5 | 3.4 | 6.56 ± 0.02 | 1.14 ± 0.05 | 2004 |
| 2016 | 2577 | 0.8 | 2.0 | 4.86 ± 0.03 | 0.82 ± 0.02 | 2016 |
| Sequence | σ1 | σ2 | σ3 | R | F5 |
|---|---|---|---|---|---|
| 1994 main event | 327° N/13° | 226° N/40° | 072° N/47° | 0.19 | 7.1 |
| 1994 aftershocks | 132° N/44° | 349° N/39° | 242° N/20° | 0.38 | 3.5 |
| 2004 all, without ‘eastern’ cluster | 330° N/25° | 149° N/65° | 239° N/00° | 0.59 | 2.6 |
| 2004 ‘eastern’ cluster | 020° N/79° | 141° N/06° | 232° N/09° | 0.82 | 5.6 |
| 2016 main cluster | 332° N/06° | 224° N/72° | 064° N/17° | 0.74 | 1.6 |
| 2016 secondary cluster | 330° N/23° | 062° N/04° | 161° N/67° | 0.49 | 3.3 |
| Sequence | Mtr | Best Model | AIC | K0 | α | c | p |
|---|---|---|---|---|---|---|---|
| 1994 | 3.9 | RETAS | −12.4 | 1.727 | 0.0630 | 0.024 | 0.909 |
| 2004 | 3.4 | ETAS | −1222.5 | 3.426 | 0.0035 | 0.082 | 1.070 |
| 2016 | 2.0 | ETAS | −7209.0 | 1.477 | 0.0380 | 0.039 | 1.183 |
Publisher’s Note: MDPI stays neutral with regard to jurisdictional claims in published maps and institutional affiliations. |
© 2022 by the authors. Licensee MDPI, Basel, Switzerland. This article is an open access article distributed under the terms and conditions of the Creative Commons Attribution (CC BY) license (https://creativecommons.org/licenses/by/4.0/).
Share and Cite
Hamdache, M.; Peláez, J.A.; Gospodinov, D.; Henares, J.; Galindo-Zaldívar, J.; Sanz de Galdeano, C.; Ranguelov, B. Stochastic Modeling of the Al Hoceima (Morocco) Aftershock Sequences of 1994, 2004 and 2016. Appl. Sci. 2022, 12, 8744. https://doi.org/10.3390/app12178744
Hamdache M, Peláez JA, Gospodinov D, Henares J, Galindo-Zaldívar J, Sanz de Galdeano C, Ranguelov B. Stochastic Modeling of the Al Hoceima (Morocco) Aftershock Sequences of 1994, 2004 and 2016. Applied Sciences. 2022; 12(17):8744. https://doi.org/10.3390/app12178744
Chicago/Turabian StyleHamdache, Mohamed, José A. Peláez, Dragomir Gospodinov, Jesús Henares, Jesús Galindo-Zaldívar, Carlos Sanz de Galdeano, and Boyko Ranguelov. 2022. "Stochastic Modeling of the Al Hoceima (Morocco) Aftershock Sequences of 1994, 2004 and 2016" Applied Sciences 12, no. 17: 8744. https://doi.org/10.3390/app12178744
APA StyleHamdache, M., Peláez, J. A., Gospodinov, D., Henares, J., Galindo-Zaldívar, J., Sanz de Galdeano, C., & Ranguelov, B. (2022). Stochastic Modeling of the Al Hoceima (Morocco) Aftershock Sequences of 1994, 2004 and 2016. Applied Sciences, 12(17), 8744. https://doi.org/10.3390/app12178744

