Integrated Design of Moon-to-Earth Transfer Trajectory Considering Re-Entry Constraints
Abstract
:1. Introduction
2. Dynamical Model and Frame Construction
3. Opportunity Determination with Re-Entry Constraints
3.1. Geometry-Based Re-Entry State Determination
3.2. Daily Optimal Transfer Trajectory Design
3.3. Transfer Opportunity Determination
4. Precise Three-Impulse Transfer Trajectory Determination
4.1. Perilune to the Boundary of SOI
4.2. Boundary of SOI to the Day before Re-Entry
5. Numerical Simulation and Analysis
5.1. Opportunity and Specific Precise Trajectory Verification
5.2. Design Parameters Analysis
5.2.1. Position of Landing Site
5.2.2. Transfer Duration
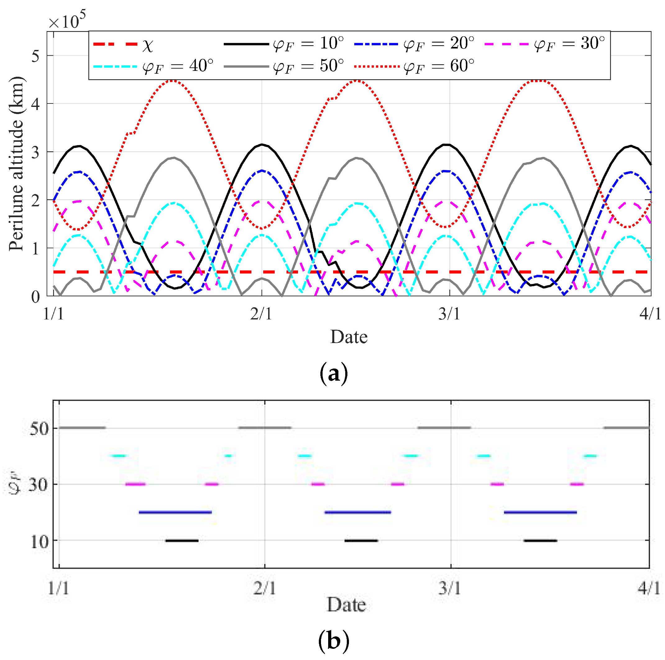
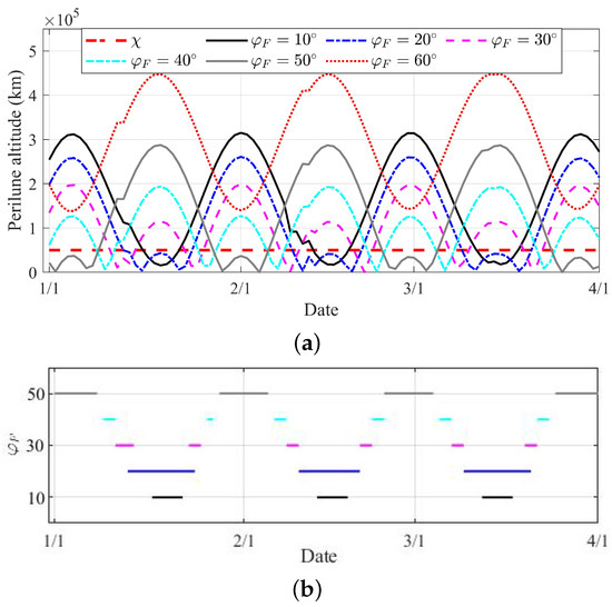
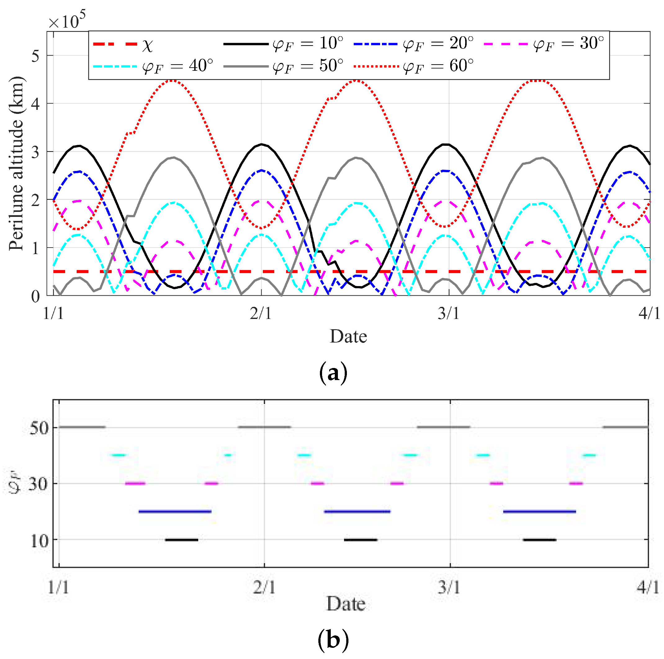
5.2.3. Altitude of Perilune
6. Conclusions
Author Contributions
Funding
Institutional Review Board Statement
Informed Consent Statement
Data Availability Statement
Conflicts of Interest
References
- Benz, W.; Slattery, W.; Cameron, A. The origin of the Moon and the single-impact hypothesis I. Icarus 1986, 66, 515–535. [Google Scholar] [CrossRef]
- Cheng, L.; Wang, Z.; Jiang, F. Real-time control for fuel-optimal Moon landing based on an interactive deep reinforcement learning algorithm. Astrodynamics 2019, 3, 375–386. [Google Scholar] [CrossRef]
- Berry, R. Launch window and translunar, lunar orbit, and transearth trajectoryplanning and control for the Apollo 11 lunar landing mission. In Proceedings of the 8th Aerospace Sciences Meeting, Gottingen, Germany, 19–21 January 1970; p. 24. [Google Scholar]
- Qiao, D.; Cui, H.; Cui, P. The design of transfer trajectory for Ivar asteroid exploration mission. Acta Astronaut. 2009, 65, 1553–1560. [Google Scholar] [CrossRef]
- Qiao, D.; Cui, P.; Cui, H. Proposal for a multiple-asteroid-flyby mission with sample return. Adv. Space Res. 2012, 50, 327–333. [Google Scholar] [CrossRef]
- Wang, Y.; Qiao, D.; Cui, P. Analysis of two-impulse capture trajectories into halo orbits of Sun–Mars system. J. Guid. Control Dynam. 2014, 37, 985–990. [Google Scholar] [CrossRef]
- Tang, Y.; WU, W.; Qiao, D.; Li, X. Effect of orbital shadow at an Earth-Moon Lagrange point on relay communication mission. Sci. China Inform. Sci. 2017, 11, 211–220. [Google Scholar] [CrossRef]
- WU, W.; Tang, Y.; Qiao, D. Design of communication relay mission for supporting lunar-farside soft landing. Sci. China Inform. Sci. 2018, 61, 040305. [Google Scholar] [CrossRef]
- Han, H.; Qiao, D.; Chen, H. Optimization of aeroassisted rendezvous and interception trajectories between non-coplanar elliptical orbits. Acta Astronaut. 2019, 163, 190–200. [Google Scholar] [CrossRef]
- Han, H.; Qiao, D.; Chen, H.; Li, X. Rapid planning for aerocapture trajectory via convex optimization. Aerosp. Sci. Technol. 2019, 84, 763–775. [Google Scholar] [CrossRef]
- Zhou, X.; Cheng, Y.; Qiao, D.; Huo, Z. An adaptive surrogate model-based fast planning for swarm safe migration along halo orbit. Acta Astronaut. 2022, 194, 309–322. [Google Scholar] [CrossRef]
- Qiao, D.; Zhou, X.; Zhao, Z.; Qin, T. Asteroid Approaching Orbit Optimization Considering Optical Navigation Observability. IEEE Trans. Aerosp. Electron. Syst. 2022. [Google Scholar] [CrossRef]
- Foing, B.; Racca, G.D.; Marini, A.; Evrard, E.; Stagnaro, L.; Almeida, M.; Koschny, D.; Frew, D.; Zender, J.; Heather, J.; et al. SMART-1 mission to the Moon: Status, first results and goals. Adv. Space Res. 2006, 37, 6–13. [Google Scholar] [CrossRef]
- Chung, M.K.; Weinstein, S. Trajectory design of lunar South Pole-Aitken Basin sample return mission. In Proceedings of the AIAA/AAS Astrodynamics Specialist Conference and Exhibit, Providence, RI, USA, 16–19 August 2004; p. 4739. [Google Scholar]
- Li, X.Y.; Qiao, D. Modeling method and preliminary model of Asteroid Toutatis from Chang’E-2 optical images. Acta Mech. Sin. 2014, 30, 310–315. [Google Scholar] [CrossRef]
- Mizutani, H.; Fujimura, A.; Tanaka, S.; Shiraishi, H.; Nakajima, T. Lunar-A mission: Goals and status. Adv. Space Res. 2003, 31, 2315–2321. [Google Scholar] [CrossRef]
- Vighnesam, N.; Sonney, A.; Gopinath, N. India’s first lunar mission Chandrayaan-1 initial phase orbit determination. Acta Astronaut. 2010, 67, 784. [Google Scholar] [CrossRef]
- Li, Z.; Ye, M.; Cai, Z.; Tang, Z. Automatic stitching method for Chang’E-2 CCD images of the Moon. J. Earth Sci. 2017, 28, 168–179. [Google Scholar] [CrossRef]
- Qiao, D.; Cui, P.; Wang, Y.; Huang, J.; Meng, L.; Jie, D. Design and analysis of an extended mission of CE-2: From lunar orbit to Sun–Earth L2 region. Adv. Space Res. 2014, 54, 2087–2093. [Google Scholar] [CrossRef]
- Huang, J.; Ji, J.; Ye, P.; Wang, X.; Yan, J.; Meng, L.; Wang, S.; Li, C.; Li, Y.; Qiao, D. The ginger-shaped asteroid 4179 Toutatis: New observations from a successful flyby of Chang’e-2. Sci. Rep. 2013, 3, 3411. [Google Scholar] [CrossRef]
- Zhu, M.; Fa, W.; Ip, W.; Huang, J.; Liu, T.; Meng, L.; Yan, J.; Xu, A.; Tang, Z.; Wang, X.; et al. Morphology of asteroid (4179) Toutatis as imaged by Chang’E-2 spacecraft. Geophys. Res. Lett. 2014, 41, 328–333. [Google Scholar] [CrossRef]
- Qiao, L.; Chen, J.; Xu, L.; Wan, S.; Cao, H.; Li, B.; Ling, Z. Geology of the Chang’e-5 landing site: Constraints on the sources of samples returned from a young nearside mare. Icarus 2021, 364, 114480. [Google Scholar] [CrossRef]
- Wang, Z.S.; Meng, Z.; Gao, S.; Peng, J. Orbit Design Elements of Chang’e 5 Mission. Space Sci. Technol. 2021, 2021, 9897105. [Google Scholar] [CrossRef]
- Zhang, H.; Li, J.; Wang, Z.; Guan, Y. Guidance navigation and control for Chang’E-5 powered descent. Space Sci. Technol. 2021, 2021, 9823609. [Google Scholar] [CrossRef]
- Pontani, M.; Di Roberto, R.; Graziani, F. Lunar orbit dynamics and maneuvers for Lunisat missions. Acta Astronaut. 2018, 149, 111–122. [Google Scholar] [CrossRef]
- Li, L.T.; Zhang, Z.M.; Yang, D. Study of rapid design method for cislunar transfer trajectory. Acta Aeronaut. Astronaut. Sin. 2003, 24, 152–156. [Google Scholar]
- Hill, G.W. Researches in the lunar theory. Am. J. Math. 1878, 1, 5–26. [Google Scholar] [CrossRef]
- No, T.S.; Lee, J.M.; Jeon, G.E.; Lee, D.R.; Kim, G.H. A study on earth-moon transfer orbit design. Int. J. Aeronaut. Space 2012, 13, 106–116. [Google Scholar] [CrossRef]
- Guelman, M. Earth-to-moon transfer with a limited power engine. J. Guid. Control Dyn. 1995, 18, 1133–1138. [Google Scholar] [CrossRef]
- Herman, A.L.; Conway, B.A. Optimal, low-thrust, earth-moon orbit transfer. J. Guid. Control Dyn. 1998, 21, 141–147. [Google Scholar] [CrossRef]
- Jiang, F.; Baoyin, H.; Li, J. Practical techniques for low-thrust trajectory optimization with homotopic approach. J. Guid. Control Dyn. 2012, 35, 245–258. [Google Scholar] [CrossRef]
- Wang, Y.M.; Qiao, D.; Cui, P.Y. Design of low-energy transfer from lunar orbit to asteroid in the Sun-Earth-Moon system. Acta Mech. Sin. 2014, 30, 966–972. [Google Scholar] [CrossRef]
- De Grossi, F.; Marzioli, P.; Cho, M.; Santoni, F.; Circi, C. Trajectory optimization for the Horyu-VI international lunar mission. Astrodynamics 2021, 5, 263–278. [Google Scholar] [CrossRef]
- Qi, Y.; de Ruiter, A. Trajectory correction for lunar flyby transfers to libration point orbits using continuous thrust. Astrodynamics 2021, 6, 285–300. [Google Scholar] [CrossRef]
- Jia, F.; Qiao, D.; Han, H.; Li, X. Efficient optimization method for variable-specific-impulse low-thrust trajectories with shutdown constraint. Sci. China Technol. Sci. 2022, 65, 581–594. [Google Scholar] [CrossRef]
- Circi, C.; Teofilatto, P. On the dynamics of weak stability boundary lunar transfers. Celest. Mech. Dyn. Astr. 2001, 79, 41–72. [Google Scholar] [CrossRef]
- Gómez, G.; Koon, W.S.; Lo, M.; Marsden, J.E.; Masdemont, J.; Ross, S.D. Connecting orbits and invariant manifolds in the spatial restricted three-body problem. Nonlinearity 2004, 17, 1571–1606. [Google Scholar] [CrossRef]
- Belbruno, E.; Gidea, M.; Topputo, F. Weak stability boundary and invariant manifolds. SIAM J. Appl. Dyn. Syst. 2010, 9, 1061–1089. [Google Scholar] [CrossRef]
- Zeng, H.; Zhang, J. Design of impulsive Earth-Moon Halo transfers: Lunar proximity and direct options. Astrophys. Space Sci. 2016, 361, 328. [Google Scholar] [CrossRef]
- Gao, Y.D. Research on the Earth-Moon Space Transfer Orbit of the Lunar Probe. Ph.D. Thesis, National University of Defense Technology, Changsha, China, 2008. [Google Scholar]
- Zhang, L.; Yu, D.; Zhang, H. Preliminary design and characteristic analysis of Moon-to-Earth transfer trajectories. Chin. Space Sci. Technol. 2011, 31, 62–73. [Google Scholar]
- Robinson, S.; Geller, D. A simple targeting procedure for lunar trans-earth injection. In Proceedings of the AIAA Guidance, Navigation, and Control Conference, Chicago, IL, USA, 10–13 August 2009; p. 6107. [Google Scholar]
- He, B.; Li, H.; Shen, H.; Peng, Q. Coupled design of landing window and point return orbit for manned lunar landing mission. J. Nat. Univ. Defense Technol. 2017, 39, 11–16. [Google Scholar]
- Feng, F.; Zhang, Y.S. Application and analysis of an improved multiconic method in trajectory design of the lunar south pole return mission. Proc. Mech. Eng. Part 2018, 232, 1063–1076. [Google Scholar] [CrossRef]
- Zheng, A.; Zhou, J. A search strategy of back windows for moon-to-earth trajectories directly returning to the earth. Acta Aeronaut. Astronaut. Sin. 2014, 35, 2243–2250. [Google Scholar]
- Cho, D.H.; Chung, Y.; Bang, H. Trajectory correction maneuver design using an improved B-plane targeting method. Acta Astronaut. 2012, 72, 47–61. [Google Scholar] [CrossRef]











| Orbital Elements | a/km | e | ||||
|---|---|---|---|---|---|---|
| Value | −4808.3 | 1.4030 | 85.0 | 291.0 | 55.3 | 0 |
| Source | Opportunity | Minimum | ||
|---|---|---|---|---|
| Paper | 3 days | 1 January–4 January, 25 January–31 January | 889.5 m/s | |
| Reference [45] | 3 days | 1 January–3 January, 26 January–31 January | 890.1 m/s |
Publisher’s Note: MDPI stays neutral with regard to jurisdictional claims in published maps and institutional affiliations. |
© 2022 by the authors. Licensee MDPI, Basel, Switzerland. This article is an open access article distributed under the terms and conditions of the Creative Commons Attribution (CC BY) license (https://creativecommons.org/licenses/by/4.0/).
Share and Cite
Jia, F.; Peng, Q.; Zhou, W.; Li, X. Integrated Design of Moon-to-Earth Transfer Trajectory Considering Re-Entry Constraints. Appl. Sci. 2022, 12, 8716. https://doi.org/10.3390/app12178716
Jia F, Peng Q, Zhou W, Li X. Integrated Design of Moon-to-Earth Transfer Trajectory Considering Re-Entry Constraints. Applied Sciences. 2022; 12(17):8716. https://doi.org/10.3390/app12178716
Chicago/Turabian StyleJia, Feida, Qibo Peng, Wanmeng Zhou, and Xiangyu Li. 2022. "Integrated Design of Moon-to-Earth Transfer Trajectory Considering Re-Entry Constraints" Applied Sciences 12, no. 17: 8716. https://doi.org/10.3390/app12178716
APA StyleJia, F., Peng, Q., Zhou, W., & Li, X. (2022). Integrated Design of Moon-to-Earth Transfer Trajectory Considering Re-Entry Constraints. Applied Sciences, 12(17), 8716. https://doi.org/10.3390/app12178716

