Performance and Measurement Devices for Membrane Buildings in Civil Engineering: A Review
Abstract
1. Introduction
2. Membrane Structure
3. Performance
3.1. Mechanical Performance
3.1.1. Concentrated Load
3.1.2. Uniform Load
3.1.3. Wind Load
Membrane Roof
Tensioned Membrane Structure
Skeleton Membrane Structure
Air-Supported Membrane Structure
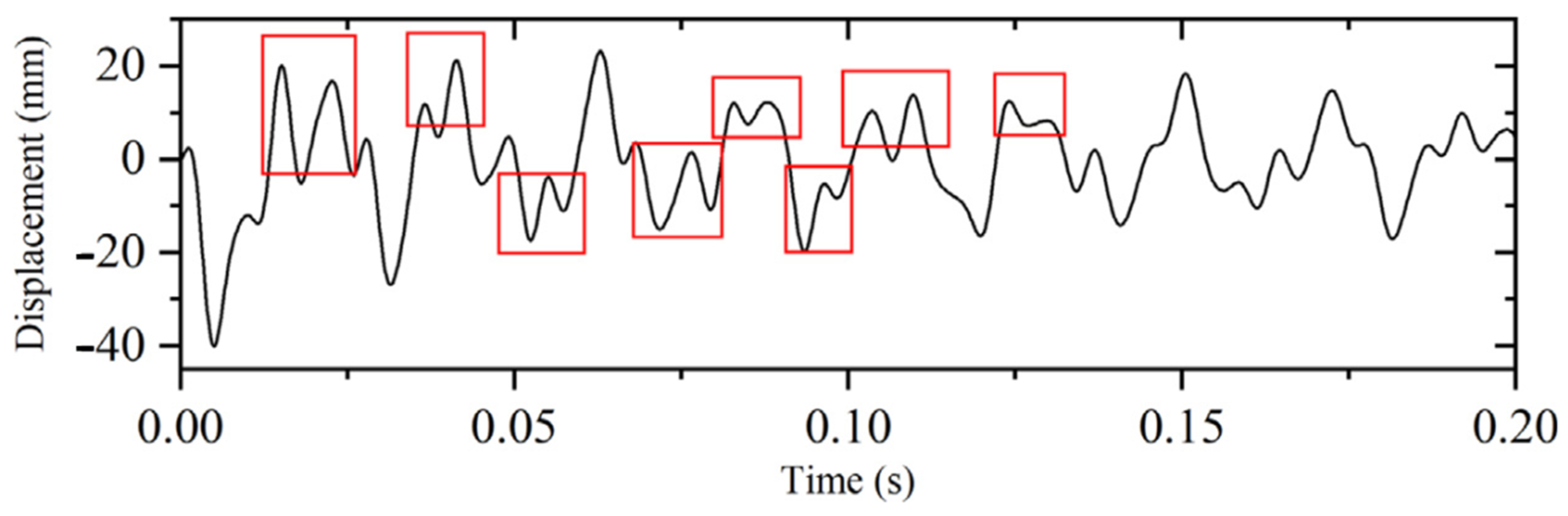
3.1.4. Impact Load
3.1.5. Wrinkle
3.2. Thermal Performance
3.2.1. Thermal Environment
3.2.2. Thermal Characteristics of the Structure
3.3. Energy Consumption
3.4. Deployment and Deflation
3.4.1. Deployment
3.4.2. Deflation
4. Development of Measurement Devices
4.1. Measurement Methods
4.2. Structural Monitoring Systems
5. Conclusions and Perspectives
5.1. Conclusions
- (1)
- The loading response of membrane structures is related to the specific structural form. Damage to the joints between the membrane and the rigid boundary and seams between the membranes are the leading causes of membrane structure failure under external loads. The presence of wrinkles significantly reduces the performance of the structure. Appropriate building configuration design is the preferred solution to enhance the mechanical performance of the structure. Furthermore, achieving this goal by attaching reinforcing elements to the inflatable structure is one of the recommended methods.
- (2)
- The proper placement of the inflatable membrane structure in its uninflated state reduces the difficulty of self-deployment, and assisted lifting during the inflation process greatly augments the deployment efficiency. Variation in the internal pressure during the deflation process begins with a sharp drop and then reaches a steady state. The magnitude and location of the external load affect the fluctuation of internal pressure and the value of residual pressure and determine the form of structural collapse.
- (3)
- Passive methods such as structural design and natural light utilization and active methods such as ventilation systems and retractable devices both substantially change the thermal environment inside the building and reduce energy consumption.
- (4)
- Non-contact sensors with no interference on membranes make them more suitable, and equipment such as cameras allow for multi-point measurements at a low cost. The measurement points for monitoring large-scale membrane structures are mainly arranged on steel cables or rigid members to provide indirect measurements of the response of the membrane surface.
5.2. Perspectives
- (1)
- Further investigation into the integration between monitoring and active control techniques to adjust parameters such as pre-tensioning, and understanding the connection between the adjusted values and the external loads allows the structure to be more robust under extreme weather conditions for the normal operation of the building.
- (2)
- The quantification of the correlation between variations in the temperature environment inside the building caused by active and passive methods and energy consumption, with an economic discrepancy resulting from them.
- (3)
- Exploring the effect of structural differences on the duration of the collapse of inflatable membrane structures affected by sudden deflation and the further derivation of corresponding design criteria to allow sufficient evacuation time for occupants.
- (4)
- Validation of the feasibility of non-contact methods to measure the response of large-scale membrane structures, especially large-span structures, such as unmanned aerial vehicle (UAV)-based measurement techniques.
Author Contributions
Funding
Institutional Review Board Statement
Informed Consent Statement
Data Availability Statement
Conflicts of Interest
References
- Llorens, J. Fabric Structures in Architecture; Elsevier: Amsterdam, The Netherlands, 2015. [Google Scholar]
- Tian, G.; Fan, Y.; Gao, M.; Wang, H.; Zheng, H.; Liu, J.; Liu, C. Indoor thermal environment of thin membrane structure Buildings: A review. Energy Build. 2021, 234, 110704. [Google Scholar] [CrossRef]
- Forster, B.; Mollaert, M. European Design Guide for Tensile Surface Structures; TensiNet: Brussels, Belgium, 2004. [Google Scholar]
- Guo, X.; Li, Q.; Zhang, D.; Gong, J. Structural behavior of an air-inflated fabric arch frame. J. Struct. Eng. 2016, 142, 04015108. [Google Scholar] [CrossRef]
- Hu, J.; Kawaguchi, K.; Ma, J. Retractable membrane ceilings for enhancing building performance of enclosed large-span swimming stadiums. Eng. Struct. 2019, 186, 336–344. [Google Scholar] [CrossRef]
- Hu, J.; Kawaguchi, K.; Ma, J. Retractable membrane ceilings for indoor thermal environment of residential buildings. Build Environ. 2018, 146, 289–298. [Google Scholar] [CrossRef]
- Xue, S. Technical Guide for Design and Construction of Inflatable Membrane Structures; China Building Industry Press: Beijing, China, 2019. [Google Scholar]
- Chavez, M.; Baskaran, A.; Feng, C.; Chowdhury, A.G. Effect of assembly construction on the wind induced pressure of membrane roofs. Eng. Struct. 2020, 221, 110725. [Google Scholar] [CrossRef]
- Heinlein, U.; Thienel, K.-C.; Freimann, T. Pre-applied bonded waterproofing membranes: A review of the history and state-of-the-art in Europe and North America. Constr. Build Mater. 2021, 296, 123751. [Google Scholar] [CrossRef]
- Chenni, R.; Makhlouf, M.; Kerbache, T.; Bouzid, A. A detailed modeling method for photovoltaic cells. Energy 2007, 32, 1724–1730. [Google Scholar] [CrossRef]
- Li, Q.; Guo, X.; Gong, J.; Qing, Q.; Li, Z. Experimental deployment behavior of air-inflated fabric arches and a full-scale fabric arch frame. Thin-Walled Struct. 2016, 103, 90–104. [Google Scholar] [CrossRef]
- Qing, Q.; Shen, S.; Gong, J. Deflation behavior and related safety assessment of an air-supported membrane structure. Thin-Walled Struct. 2018, 129, 225–236. [Google Scholar] [CrossRef]
- Zhou, X.; Han, Z.; Gu, M.; Zhang, A.-A.; Zhang, W.; Fang, W. Research on wind-induced responses of a large-scale membrane structure. Earthq. Eng. Eng. Vib. 2013, 12, 297–305. [Google Scholar] [CrossRef]
- Kandel, A.; Sun, X.; Wu, Y. Wind-induced responses and equivalent static design method of oval-shaped arch-supported membrane structure. J. Wind Eng. Ind. Aerod. 2021, 213, 104620. [Google Scholar] [CrossRef]
- Pargana, J.B.; Lloyd-Smith, D.; Izzuddin, B.A. Advanced material model for coated fabrics used in tensioned fabric structures. Eng. Struct. 2007, 29, 1323–1336. [Google Scholar] [CrossRef]
- Kato, S.; Yoshino, T.; Minami, H. Formulation of constitutive equations for fabric membranes based on the concept of fabric lattice model. Eng. Struct. 1999, 21, 691–708. [Google Scholar] [CrossRef]
- Reese, S. Meso-macro modelling of fibre-reinforced rubber-like composites exhibiting large elastoplastic deformation. Int. J. Solids Struct. 2003, 40, 951–980. [Google Scholar] [CrossRef]
- Dinh, T.D.; Rezaei, A.; Daelemans, L.; Mollaert, M.; van Hemelrijck, D.; van Paepegem, W. A hybrid micro-meso-scale unit cell model for homogenization of the nonlinear orthotropic material behavior of coated fabrics used in tensioned membrane structures. Compos. Struct. 2017, 162, 271–279. [Google Scholar] [CrossRef]
- Yin, Y.; Chen, W.; Hu, J.; Zhao, B.; Wang, Q. In-situ measurement of structural performance of large-span air-supported dome under wind loads. Thin-Walled Struct. 2021, 169, 108476. [Google Scholar] [CrossRef]
- Tanigami, T.; Yamaura, K.; Matsuzawa, S.; Ishikawa, M.; Mizoguchi, K.; Miyasaka, K. Structural studies on ethylene-tetrafluoroethylene copolymer: 2. Transition from crystal phase to mesophase. Polymer 1986, 27, 1521–1528. [Google Scholar] [CrossRef]
- Monticelli, C.; Zanelli, A. Material saving and building component efficiency as main eco-design principles for membrane architecture: Case–studies of ETFE enclosures. Archit. Eng. Des. Manag. 2021, 17, 264–280. [Google Scholar] [CrossRef]
- Monticelli, C.; Zanelli, A. Life Cycle Design and Efficiency Principles for Membrane Architecture: Towards a New Set of Eco-design Strategies. Procedia Eng. 2016, 155, 416–425. [Google Scholar]
- CECS. Technical Specification for Membrane Structures; China Planning Press: Beijing, China, 2015. [Google Scholar]
- Estephan, J.; Feng, C.; Chowdhury, A.G.; Chavez, M.; Baskaran, A.; Moravej, M. Characterization of wind-induced pressure on membrane roofs based on full-scale wind tunnel testing. Eng. Struct. 2021, 235, 112101. [Google Scholar] [CrossRef]
- Roekens, J.; Laet, L.D.; Mollaert, M.; Luchsinger, R. Experimental and numerical investigation of a tensairity arch. Thin-Walled Struct. 2016, 105, 112–120. [Google Scholar] [CrossRef]
- Gong, J.; Li, Z.; Song, X. Research and application of the air-supported and air-inflated combined fabric structure. Spat Struct. 2013, 19, 72–78. [Google Scholar]
- Xu, C.; Wu, Y. Structural system determination and cost estimating for membrane construction. Ind. Construct. 2004, 6, 79–83. [Google Scholar]
- Nie, H. Building Construction; Peking University Press: Beijing, China, 2007. [Google Scholar]
- Ishii, K.; Wang, B. The Development of Membrane structure in Japan. World Architect. 1999, 3, 70–73. [Google Scholar]
- Hincz, K.; Gamboa-Marrufo, M. Deformed Shape Wind Analysis of Tensile Membrane Structures. J. Struct. Eng. 2016, 142, 04015153. [Google Scholar] [CrossRef]
- Kim, J.Y.; Yu, E.; Kim, D.Y.; Tamura, Y. Long-term monitoring of wind-induced responses of a large-span roof structure. J. Wind Eng. Ind. Aerodyn. 2011, 99, 955–963. [Google Scholar] [CrossRef]
- Tang, T.; Yang, D.-H.; Wang, L.; Zhang, J.-R.; Yi, T.-H. Design and application of structural health monitoring system in long-span cable-membrane structure. Earthq. Eng. Eng. Vib. 2019, 18, 461–474. [Google Scholar] [CrossRef]
- Prevatt, D.O.; Schiff, S.D.; Stamm, J.S.; Kulkarni, A.S. Wind uplift behavior of mechanically attached single-ply roofing systems: The need for correction factors in standardized tests. J. Struct. Eng. 2018, 134, 489–498. [Google Scholar] [CrossRef]
- Luchsinger, R.H.; Sydow, A.; Crettol, R. Structural behavior of asymmetric spindle-shaped Tensairity girders under bending loads. Thin-Walled Struct. 2011, 49, 1045–1053. [Google Scholar] [CrossRef]
- Galliot, C.; Luchsinger, R.H. Structural behavior of symmetric spindle-shaped Tensairity girders with reinforced chord coupling. Eng. Struct. 2013, 56, 407–416. [Google Scholar] [CrossRef]
- Bartko, M.; Molleti, S.; Baskaran, A. In situ measurements of wind pressures on low slope membrane roofs. J. Wind Eng. Ind. Aerodyn. 2016, 153, 78–91. [Google Scholar] [CrossRef]
- Brayley, K.E.; Davids, W.G.; Clapp, J.D. Bending response of externally reinforced, inflated, braided fabric arches and beams. Constr. Build Mater. 2012, 30, 50–58. [Google Scholar] [CrossRef]
- Thomas, J.-C.; Wielgosz, C. Deflections of highly inflated fabric tubes. Thin-Walled Struct. 2004, 42, 1049–1066. [Google Scholar] [CrossRef]
- Wielgosz, C.; Thomas, J.-C. Deflections of inflatable fabric panels at high pressure. Thin-Walled Struct. 2002, 40, 523–536. [Google Scholar] [CrossRef]
- Malm, C.G.; Davids, W.G.; Peterson, M.L.; Turner, A.W. Experimental characterization and finite element analysis of inflated fabric beams. Constr. Build Mater. 2009, 23, 2027–2034. [Google Scholar] [CrossRef]
- Cao, Z.; Fan, F.; Yan, J.; Zhang, X.; Chen, X. Static experimental research and finite element analysis of Tensairity. J. Build. Struct. 2012, 33, 31–37. [Google Scholar]
- Plagianakos, T.S.; Teutsch, U.; Crettol, R.; Luchsinger, R.H. Static response of a spindle-shaped tensairity column to axial compression. Eng. Struct. 2009, 31, 1822–1831. [Google Scholar] [CrossRef]
- Luchsinger, R.H.; Crettol, R. Experimental and numerical study of spindle shaped tensairity girders. Int. J. Space Struct. 2006, 21, 119–130. [Google Scholar] [CrossRef]
- Luchsinger, R.H.; Galliot, C. Structural behavior of symmetric spindle-shaped Tensairity girders. J. Struct. Eng. 2013, 139, 169–179. [Google Scholar] [CrossRef]
- RKlis; Chatzi, E.; Galliot, C.; Luchsinger, R.; Feltrin, G. Modal Identification and Dynamic Response Assessment of a Tensairity Girder. J. Struct. Eng. 2017, 143, 04016165. [Google Scholar]
- Wever, T.E.; Plagianakos, T.S.; Luchsinger, R.H.; Marti, P. Effect of fabric webs on the static response of spindle-shaped tensairity columns. J. Struct. Eng. 2010, 136, 410–418. [Google Scholar] [CrossRef]
- Wan, Z.; Cao, Z.; Sun, Y.; Fan, F. Experimental and numerical research on the structural behaviour of a Tensairity dome. Eng. Struct. 2021, 248, 113225. [Google Scholar] [CrossRef]
- Gong, J.; Yang, X.; Zhang, Z.; Zhao, J. Feasibility study for the application of air inflated membrane structure in China National Stadium. J. Shanghai Jiaotong Univ. (Sci.) 2010, 15, 267–272. [Google Scholar] [CrossRef]
- Wu, M.; Liu, J.; Zhang, Q. Experimental study on ETFE foil cushion. J. Build. Struct. 2008, 29, 126–131. [Google Scholar]
- Zhao, B.; Chen, W.; Chen, J.; Jing, Z. Experimental Evaluation on Structural Behaviors of ETFE Cushion Structures Subjected to Progressive Loading. J. Struct. Eng. 2021, 147, 04021205. [Google Scholar] [CrossRef]
- Zhao, B.; Chen, W.; Hu, J.; Chen, J.; Qiu, Z.; Zhou, J.; Gao, C. Mechanical properties of ETFE foils in form-developing of inflated cushion through flat-patterning. Constr. Build. Mater. 2016, 111, 580–589. [Google Scholar] [CrossRef]
- Hu, J.; Yin, Y.; Chen, W.; Zhao, B.; Yang, D. Nonlinear structural behavior of flat-patterning ETFE cushion structures: Experimental observations and numerical simulations. Thin–Walled Struct. 2017, 114, 107–115. [Google Scholar] [CrossRef]
- Zhao, B.; Hu, J.; Chen, W.; Chen, J.; Jing, Z. Dynamic geometrical shape measurement and structural analysis of inflatable membrane structures using a low-cost three-camera system. Autom. Constr. 2018, 96, 442–456. [Google Scholar] [CrossRef]
- Zhao, B.; Hu, J.; Chen, W.; Chen, J.; Qiu, Z.; Jing, Z. Computational method for in-situ finite element modeling of inflatable membrane structures based on geometrical shape measurement using photogrammetry. Comput. Struct. 2019, 224, 106105. [Google Scholar] [CrossRef]
- Gu, L.; Wang, P.; Chen, S.; Wang, H. Experimental study and FEA of ETFE cushion. J. Build. Struct. 2012, 33, 46–52. [Google Scholar]
- Zhao, B.; Hu, J.; Chen, W.; Chen, J.; Qiu, Z.; Zhou, J.; Gao, C. An automatic system for pressure control and load simulation of inflatable membrane structure. Autom. Constr. 2018, 90, 58–66. [Google Scholar] [CrossRef]
- Colliers, J.; Mollaert, M.; Vierendeels, J.; Laet, L.D. Collating wind data for doubly-curved shapes of tensioned surface structures (Round Robin Exercise 3). Procedia Eng. 2016, 155, 152–162. [Google Scholar] [CrossRef]
- Jiang, L.; Li, J.; Li, C. Comparative Study on Non-Gaussian Characteristics of Wind Pressure for Rigid and Flexible Structures. Shock. Vib. 2018, 2018, 9213503. [Google Scholar] [CrossRef]
- Baskaran, A.; Molleti, S.; Sexton, M. Wind performance evaluation of fully bonded roofing assemblies. Constr. Build Mater. 2008, 22, 343–363. [Google Scholar] [CrossRef][Green Version]
- Baskaran, A. Dynamic Wind Uplift Performance of Thermoplastic Roofing System with New Seaming Technology. J. Archit. Eng. 2002, 8, 97–107. [Google Scholar] [CrossRef]
- Oba, K.; Bjork, F. Wind load resistance of heat-welded seams in polymer-modified bituminous roofing membranes. Constr. Build Mater. 1996, 10, 161–168. [Google Scholar] [CrossRef]
- Zhou, Y.; Li, Y.; Yoshida, A. Effect of Added Mass on Wind-Induced Vibration of a Circular Flat Membrane by Wind Tunnel Tests. Int. J. Struct. Stab. Dyn. 2018, 12, 1850156. [Google Scholar] [CrossRef]
- Yang, Q.; Wu, Y.; Zhu, W. Experimental study on interaction between membrane structures and wind environment. Earthq. Eng. Eng. Vib. 2010, 9, 523–532. [Google Scholar] [CrossRef]
- Han, Z.; Gu, M.; Zhou, X. Aerodynamic parameters of tensioned membrane structure based on aeroelastic wind tunnel test. J. Tongji Univ. 2015, 43, 830–837. [Google Scholar]
- Daw, D.J.; Davenport, A.G. Aerodynamic damping and stiffness of a semi-circular roof in turbulent wind. J. Wind Eng. Ind. Aerodyn. 1989, 32, 83–92. [Google Scholar] [CrossRef]
- Wu, Y.; Che, Z.; Sun, X. Research on the wind-induced aero-elastic response of closed-type saddle-shaped tensioned membrane models. J. Zhejiang Univ.-SCI A 2015, 16, 656–668. [Google Scholar] [CrossRef]
- Sygulski, R. Stability of membrane in low subsonic flow. Int. J. Non-Linear Mech. 2007, 42, 196–202. [Google Scholar] [CrossRef]
- Sun, X.; Chen, Z.; Wu, Y. Aeroelastic experiment of one-way tensioned membrane structure. J. Build Struct. 2013, 34, 63–69. [Google Scholar]
- Sun, X.; Arjun, K.; Wu, Y. Investigation on wind tunnel experiment of oval-shaped arch-supported membrane structures. J. Wind Eng. Ind. Aerodyn. 2020, 206, 104371. [Google Scholar] [CrossRef]
- Sun, X.; Yua, R.; Wu, Y. Investigation on wind tunnel experiments of ridge-valley tensile membrane structures. Eng. Struct. 2019, 187, 280–298. [Google Scholar] [CrossRef]
- Nagai, Y.; Okada, A.; Miyasato, N.; Saitoh, M. Basic study on multi-bay horn-shaped membrane roof: Evaluation of wind load and influence of supporting system on structural behavior under winds. Int. J. Space Struct. 2010, 25, 35–43. [Google Scholar] [CrossRef]
- Jiang, L.; Li, J.; Li, C. Wind Field Characteristics of Large Span Membrane Structure Based on Field Measurement. J. Vib. Meas. Diagn. 2019, 39, 68–77. [Google Scholar]
- Wood, J.N.; Breuer, M.; de Nayer, G. Experimental studies on the instantaneous fluid–structure interaction of an air-inflated flexible membrane in turbulent flow. J. Fluids Struct. 2018, 80, 405–440. [Google Scholar] [CrossRef]
- Guo, J.; Cai, J.; Chen, W. Inertial effect on RC beam subjected to impact load. Int. J. Struct. Stab. Dyn. 2017, 17, 1750053. [Google Scholar] [CrossRef]
- Liu, C.; Deng, X.; Liu, J.; Peng, T.; Yang, S.; Zheng, Z. Dynamic response of saddle membrane structure under hail impact. Eng. Struct. 2020, 214, 110597. [Google Scholar] [CrossRef]
- Zhang, Y.; Xu, J.; Zhou, Y.; Zhang, Q.; Wu, F. Central tearing behaviors of PVC coated fabrics with initial notch. Compos. Struct. 2019, 208, 618–633. [Google Scholar] [CrossRef]
- Li, C.; Wang, F.; Deng, X.; Pang, S.; Liu, J.; Wu, Y.; Xu, Z. Hailstone-induced dynamic responses of pretensioned umbrella membrane structure. Adv. Struct. Eng. 2021, 24, 3–16. [Google Scholar] [CrossRef]
- Guo, J.; Zheng, Z.; Wu, S. An Impact Vibration Experimental Research on the Pretension Rectangular Membrane Structure. Adv. Mater. Sci. Eng. 2015, 2015, 387153. [Google Scholar] [CrossRef]
- Li, D.; Zheng, Z.; Yang, R.; Zhang, P. Analytical Solutions for Stochastic Vibration of Orthotropic Membrane under Random Impact Load. Materials 2018, 11, 1231. [Google Scholar] [CrossRef] [PubMed]
- Li, D.; Zheng, Z.; Tian, Y.; Sun, J.; He, X.; Lu, Y. Stochastic nonlinear vibration and reliability of orthotropic membrane structure under impact load. Thin-Walled Struct. 2017, 119, 247–255. [Google Scholar] [CrossRef]
- Li, D.; Zheng, Z.; He, C.; Liu, C. Dynamic response of pre-stressed orthotropic circular membrane under impact load. J. Vib. Control 2018, 24, 4010–4022. [Google Scholar] [CrossRef]
- Xu, J.; Zhang, Y.; Zhao, Q.; Zhang, L. Experiment and simulation analysis on dynamic response of plane cable-membrane structure under impact load. Thin-Walled Struct. 2022, 171, 108814. [Google Scholar] [CrossRef]
- Xie, H.; Liu, C.; Wang, M.; Jiang, S.; Liu, J.; Zheng, Z. Dynamic responses of umbrella shaped tension membrane structures under the impact of hail. J. Shock. Vib. 2021, 40, 218–227. [Google Scholar]
- Wang, M.; Liu, C.; Liu, J.; Xie, H.; Jiang, S.; Xu, Z. Theoretical and experimental study on dynamic response analysis of an umbrella-shaped membrane structure under the load of heavy rainfall. J. Shock. Vib. 2021, 40, 70–79. [Google Scholar]
- Li, D.; Lai, Z.; Liu, C.; Guo, J.; Yang, X.; Guan, M. Random vibration of pretensioned rectangular membrane structures under heavy rainfall excitation. Thin-Walled Struct. 2021, 164, 107856. [Google Scholar] [CrossRef]
- Zheng, Z.; Zhang, G.; Li, D.; Liu, C. Dynamic response of rectangular membrane excited by heavy rainfall. J. Vib. Control 2019, 25, 777–792. [Google Scholar] [CrossRef]
- Liu, C.; Wang, F.; He, L.; Deng, X.; Liu, J.; Wu, Y. Experimental and numerical investigation on dynamic responses of the umbrella membrane structure excited by heavy rainfall. J. Vib. Control 2020, 1–10. [Google Scholar] [CrossRef]
- Liu, Y.; Wang, C.; Tan, H.; Wadee, M.K. The interactive bending wrinkling behaviour of inflated beams. Proc. R. Soc. A 2016, 472, 20160504. [Google Scholar] [CrossRef]
- Xue, Z.; Wang, C.; Kang, J.; Tan, H. Buckling analysis of an inflated arch including wrinkling based on Pseudo Curved Beam model. Thin-Walled Struct. 2018, 131, 336–346. [Google Scholar] [CrossRef]
- Lecieux, Y.; Bouzidi, R. Experimental analysis on membrane wrinkling under biaxial load–Comparison with bifurcation analysis. Int. J. Solids Struct. 2010, 47, 2459–2475. [Google Scholar] [CrossRef]
- Luo, Y.; Xing, J.; Kang, Z.; Zhan, J.; Li, M. Uncertainty of membrane wrinkling behaviors considering initial thickness imperfections. Int. J. Solids Struct. 2020, 191–192, 264–277. [Google Scholar] [CrossRef]
- Li, Y.; Lu, M.; Tan, H.; Tan, Y. A study on wrinkling characteristics and dynamic mechanical behavior of membrane. Acta Mech. Sin. 2012, 28, 201–210. [Google Scholar] [CrossRef]
- Dai, X.; Yuan, T.; Zu, Z.; Shao, X.; Li, L.; Cheng, X.; Zhou, J.; Yang, F.; He, X. Experimental study of wrinkling behavior of membrane structures via visual method. Thin-Walled Struct. 2020, 149, 106537. [Google Scholar] [CrossRef]
- Ye, Y.; Gan, J.; Ran, X.; Liu, H.; Wu, W. Bending and wrinkling behaviours of polyester fabric membrane structures under inflation. J. Ind. Text. 2022, 51, 1007S–1033S. [Google Scholar] [CrossRef]
- Wang, C.; Liu, M.; Kang, J.; Xue, Z.; Tan, H. Bending wrinkling and kink behaviors of inflated beam under local uniform loadings. Int. J. Mech. Sci. 2017, 120, 136–148. [Google Scholar] [CrossRef]
- Ji, Q.; Wang, C.; Tan, H. Multi-scale wrinkling analysis of the inflated beam under bending. Int. J. Mech. Sci. 2017, 126, 1–11. [Google Scholar] [CrossRef]
- Wang, C.; Tan, H. Experimental and numerical studies on wrinkling control of an inflated beam using SMA wires. Smart Mater. Struct. 2010, 19, 105019. [Google Scholar] [CrossRef]
- Tao, Q.; Wang, C.; Xue, Z.; Xie, Z.; Tan, H. Wrinkling and collapse of mesh reinforced membrane inflated beam under bending. Acta Astronaut. 2016, 128, 551–559. [Google Scholar] [CrossRef]
- Liu, M.; Huang, J.; Liu, M. Wrinkling reduction of membrane structure by trimming edges. AIP Adv. 2017, 7, 055116. [Google Scholar] [CrossRef]
- He, J.; Hoyano, A. Measurement and simulation of the thermal environment in the built space under a membrane structure. Build. Environ. 2009, 44, 1119–1127. [Google Scholar] [CrossRef]
- Suo, H.; Angelotti, A.; Zanelli, A. Thermal-physical behavior and energy performance of air-supported membranes for sports halls: A comparison among traditional and advanced building envelopes. Energy Build. 2015, 109, 35–46. [Google Scholar] [CrossRef]
- Hu, J.; Chen, W.; Ren, S.; Zhang, S.; Qu, Y.; Yin, Y.; Yang, D. Building performance monitoring and analysis of a large-span aerogel-membrane airport terminal. Eng. Struct. 2020, 219, 110837. [Google Scholar] [CrossRef]
- Bai, Y.; Zhao, L.; Tang, R.; Kang, X. Study on winter thermal comfort of membrane structure gymnasium in severe cold region of China. Sci. Technol. Built Environ. 2020, 28, 1–14. [Google Scholar] [CrossRef]
- Hu, J.; Chen, W.; Zhang, S.; Yin, Y.; Li, Y.; Yang, D. Thermal characteristics and comfort assessment of enclosed large-span membrane stadiums. Appl. Energy. 2018, 229, 728–735. [Google Scholar] [CrossRef]
- Yin, Y.; Hu, J.; Chen, W.; Li, Y. Indoor Thermal Environment Measurement of Enclosed Gymnasium with Membrane Structure in Winter. J. Shanghai Jiaotong Univ. 2018, 52, 1452–1458. [Google Scholar]
- Yin, Y.; Song, Y.; Chen, W.; Yan, Y.; Wang, X.; Hu, J.; Zhao, B.; Ren, S. Thermal environment analysis of enclosed dome with double-layered PTFE fabric roof integrated with aerogel-glass wool insulation mats: On-site test and numerical simulation. Energy Build. 2022, 254, 111621. [Google Scholar] [CrossRef]
- He, J.; Hoyano, A. Measurement and evaluation of the summer microclimate in the semi-enclosed space under a membrane structure. Build. Environ. 2010, 45, 230–242. [Google Scholar] [CrossRef]
- Tang, H.; Zhang, T.; Liu, X.; Liu, X.; Xiang, X.; Jiang, Y. On-site measured performance of a mechanically ventilated double ETFE cushion structure in an aquatics center. Sol. Energy. 2018, 162, 289–299. [Google Scholar] [CrossRef]
- Tian, G.; Fan, Y.; Wang, H.; Zheng, H.; Gao, M.; Liu, J.; Liu, C. Experimental study on indoor thermal environment of industrial building spaces enclosed by fabric membranes. Sci. Technol. Built Environ. 2021, 27, 451–461. [Google Scholar] [CrossRef]
- Tian, G.; Fan, Y.; Wang, H.; Peng, K.; Zhang, X.; Zheng, H. Studies on the thermal environment and natural ventilation in the industrial building spaces enclosed by fabric membranes: A case study. J. Build. Eng. 2020, 32, 101651. [Google Scholar] [CrossRef]
- Hu, J.; Kawaguchi, K.; Ma, J. Long-term building thermal performance of enclosed large-span swimming stadiums with retractable membrane ceilings. Energy Build. 2020, 207, 109363. [Google Scholar] [CrossRef]
- Bouzidi, R.; Buytet, S.; le Van, A. A numerical and experimental study of the quasi-static deployment of membrane tubes. Int. J. Solids Struct. 2013, 50, 651–661. [Google Scholar] [CrossRef]
- Fajman, P.; Polák, M.; Máca, J.; Plachý, T. The Experimental Observation of the Prestress Forces in the Structural Elements of a Tension Fabric Structure. Appl. Mech. Mater. 2014, 486, 189–194. [Google Scholar] [CrossRef]
- Beusker, E.; Stoy, C.; Pollalis, S.N. Estimation model and benchmarks for heating energy consumption of schools and sport facilities in Germany. Build. Environ. 2012, 49, 324–335. [Google Scholar] [CrossRef]
- Gürlich, D.; Reber, A.; Biesinger, A.; Eicker, U. Daylight performance of a translucent textile membrane roof with thermal insulation. Buildings 2018, 8, 118. [Google Scholar] [CrossRef]
- Tiwari, G.; Mishra, R.; Solanki, S. Photovoltaic modules and their applications: A review on thermal modelling. Appl. Energ. 2011, 88, 2287–2304. [Google Scholar] [CrossRef]
- Parida, B.; Iniyan, S.; Goic, R. A review of solar photovoltaic technologies Renew. Sust. Energ. Rev. 2011, 15, 1625–1636. [Google Scholar] [CrossRef]
- Hu, J.; Chen, W.; Zhao, B.; Song, H. Experimental studies on summer performance and feasibility of a BIPV/T ethylene tetrafluoroethylene (ETFE) cushion structure system. Energy Build. 2014, 69, 394–406. [Google Scholar] [CrossRef]
- Hu, J.; Chen, W.; Yang, D.; Zhao, B.; Song, H.; Ge, B. Energy performance of ETFE cushion roof integrated photovoltaic/thermal system on hot and cold days. Appl. Energy 2016, 173, 40–51. [Google Scholar] [CrossRef]
- Li, Q.; Guo, X.; Qing, Q.; Gong, J. Dynamic deflation assessment of an air inflated membrane structure. Thin-Walled Struct. 2015, 94, 446–456. [Google Scholar] [CrossRef]
- Qing, Q.; Gong, J. Test study and numerical simulation of deflation process of an air-supported membrane structure. Adv. Struct. Eng. 2015, 18, 761–774. [Google Scholar] [CrossRef]
- Xue, S.; Yan, F.; Sun, G. Deflation and collapse of air-supported membrane structures. Thin-Walled Struct. 2021, 169, 108338. [Google Scholar] [CrossRef]
- Qing, Q.; Guo, X.; Gong, J.; Li, Z. Structural behavior of joined hemispherical-cylindrical air-supported membrane structure under vertical loading deflation. Adv. Struct. Eng. 2020, 23, 549–564. [Google Scholar] [CrossRef]
- Liu, C.-J.; Todd, M.D.; Zheng, Z.-L.; Wu, Y.-Y. A nondestructive method for the pretension detection in membrane structures based on nonlinear vibration response to impact. Struct. Health Monit. 2018, 17, 67–79. [Google Scholar] [CrossRef]
- Jin, S.-W.; Ohmori, H. Development of membrane stress measurement equipment for membrane structures: Proposal of measuring method and its experimental verification. Meas. Sci. Technol. 2011, 22, 115704. [Google Scholar] [CrossRef]
- Huda, F.; Kajiwara, I.; Hosoya, N. Vibration test and health monitoring of membrane structure using non-contact laser excitation. Proc. SPIE 2014, 9064, 90640U. [Google Scholar]
- Sibert, T.; Becker, T.; Spiltthof, K.; Neumann, I.; Krupka, R. High-speed digital image correlation: Error estimations and applications. Proc. SPIE 2007, 46, 051004. [Google Scholar] [CrossRef]
- Zappa, E.; Matinmanesh, A.; Mazzoleni, P. Evaluation and improvement of digital image correlation uncertainty in dynamic conditions. Opt. Lasers Eng. 2014, 59, 82–92. [Google Scholar] [CrossRef]
- Jurjo, D.L.B.R.; Magluta, C.; Roitman, N.; Goncalves, P.B. Analysis of the structural behavior of a membrane using digital image processing. Mech. Syst. Signal Proc. 2015, 54–55, 394–404. [Google Scholar] [CrossRef]
- Zhao, B.; Chen, W.; Hu, J.; Chen, J.; Qiu, Z.; Zhou, J.; Gao, C. An innovative methodology for measurement of stress distribution of inflatable membrane structures. Meas. Sci. Technol. 2016, 27, 025002. [Google Scholar] [CrossRef]
- Zhao, B.; Chen, W.; Hu, J.; Chen, J.; Qiu, Z.; Zhou, J. In situ determination of stress distribution of inflatable membrane structure using force finding method. J. Eng. Mech. 2017, 143, 04017042. [Google Scholar] [CrossRef]
- Zhao, B.; Chen, W.-J.; Hu, J.-H.; Qiu, Z.-Y.; Zhao, J.-Z. Finite element modelling of inflatable membrane structure based on photogrammetry. Eng. Mech. 2017, 34, 141–148. [Google Scholar]
- Sun, X.; Wu, H.; Shan, B. Application of stereovision on a saddle-shaped membrane structure in aero-elastic wind tunnel test. Rev. Sci. Instrum. 2020, 91, 035104. [Google Scholar] [CrossRef]
- Sun, X.; Wu, H.; Wu, Y. Vibration monitoring of an open-type one-way tensioned membrane structure based on stereovision. Rev. Sci. Instrum. 2019, 90, 075112. [Google Scholar] [CrossRef]
- Gharehbaghi, V.R.; Farsangi, E.N.; Noori, M.; Yang, T.Y.; Li, S.F.; Nguyen, A.; Malaga-Chuquitaype, C.; Gardoni, P.; Mirjalili, S. A Critical Review on Structural Health Monitoring: Definitions. Methods, and Perspectives. Arch. Comput. Method Eng. 2021, 29, 1–27. [Google Scholar] [CrossRef]
- Basu, B.; Bursi, O.S.; Casciati, F.; Casciati, S.; del Grosso, A.E.; Domaneschi, M.; Faravelli, L.; Holnicki-Szulc, J.; Irschik, H.; Krommer, M.; et al. A European association for the control of structures joint perspective. Recent studies in civil structural control across Europe. Struct. Control Health Monit. 2014, 21, 1414–1436. [Google Scholar] [CrossRef]























Publisher’s Note: MDPI stays neutral with regard to jurisdictional claims in published maps and institutional affiliations. |
© 2022 by the authors. Licensee MDPI, Basel, Switzerland. This article is an open access article distributed under the terms and conditions of the Creative Commons Attribution (CC BY) license (https://creativecommons.org/licenses/by/4.0/).
Share and Cite
Huang, H.; Li, X.; Xue, S.; Luo, Y.; Shi, D.; Hou, X.; Liu, Y.; Li, N. Performance and Measurement Devices for Membrane Buildings in Civil Engineering: A Review. Appl. Sci. 2022, 12, 8648. https://doi.org/10.3390/app12178648
Huang H, Li X, Xue S, Luo Y, Shi D, Hou X, Liu Y, Li N. Performance and Measurement Devices for Membrane Buildings in Civil Engineering: A Review. Applied Sciences. 2022; 12(17):8648. https://doi.org/10.3390/app12178648
Chicago/Turabian StyleHuang, Haonan, Xiongyan Li, Suduo Xue, Yaozhi Luo, Da Shi, Xianghua Hou, Yiwei Liu, and Ning Li. 2022. "Performance and Measurement Devices for Membrane Buildings in Civil Engineering: A Review" Applied Sciences 12, no. 17: 8648. https://doi.org/10.3390/app12178648
APA StyleHuang, H., Li, X., Xue, S., Luo, Y., Shi, D., Hou, X., Liu, Y., & Li, N. (2022). Performance and Measurement Devices for Membrane Buildings in Civil Engineering: A Review. Applied Sciences, 12(17), 8648. https://doi.org/10.3390/app12178648

