Assessment of the Mass and Surface Area of the Scots Pine (Pinus sylvestris L.) Needles
Abstract
:1. Introduction
2. Materials and Methods
2.1. Description of the Experimental Site
2.2. Field and Laboratory Measurements
2.3. Statistical Analysis
3. Results
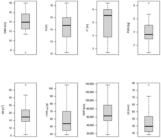
3.1. Characteristics of the Sample Trees
3.2. Mass of Needles and the LAI of the Tree Stand
4. Discussion
5. Conclusions
Author Contributions
Funding
Institutional Review Board Statement
Informed Consent Statement
Data Availability Statement
Conflicts of Interest
References
- Li, P.; Peng, C.; Wang, M.; Li, W.; Zhao, P.; Wang, P.; Yang, Y.; Zhu, Q. Quantification of the response of global terrestrial net primary production to multifactor global change. Ecol. Indic. 2017, 76, 245–255. [Google Scholar] [CrossRef]
- Sytnyk, S.; Lovynska, V.; Lakyda, I. Foliage biomass qualitative indices of selected forest forming tree species in Ukrainian Steppe. Folia Oecologica 2017, 44, 38–45. Available online: http://dspace.dsau.dp.ua/jspui/handle/123456789/405 (accessed on 10 November 2021). [CrossRef]
- Sporek, M. The Leaf Area of Scots Pine (Pinus sylvestris L.) as a Function of the Population Structure; PWN: Warszawa, Poland, 2018; ISBN 978-83-01-20366-5. (In Polish) [Google Scholar]
- Tirén, L. Ueber die Grösse der Nadelfläche einiger Kieferbestände. Medd. Från Statens Skogsförsöksanstalt 1927, 23, 295–336. [Google Scholar]
- Burger, H. Holz, Blattmenge und Zuwachs IX. Die Föhre Mitt. Schweiz. Anst. Forstl. Versuch. 1947, 25, 435–493. [Google Scholar]
- Burger, H. Fichten im gleichalterigen Hochwald. Mitt. Schweiz. Anst. Forstl. Versuch. 1953, 29, 38–130. [Google Scholar]
- Ovington, J.D. Dry-matter production by Pinus sylvestris L. Ann. Bot. 1957, 21, 287–314. [Google Scholar] [CrossRef]
- Ishii, H.; Ford, E.D.; Boscolo, M.E.; Manriquez, A.C.; Wilson, M.; Hinckley, T.M. Variation in specific needle area of old-growth Douglas-fir in relation to needle age, within-crown position and epicormic shoot production. Tree Physiol. 2002, 22, 31–40. [Google Scholar] [CrossRef]
- Xiao, C.W.; Yuste, J.C.; Janssens, I.A.; Roskams, P.; Nachtergale, L.; Carrara, A.; Sanchez, B.Y.; Ceulemans, R. Aboveand below-ground biomass and net primary production in a 73-year-old Scots pine forest. Tree Physiol. 2003, 23, 505–516. [Google Scholar] [CrossRef]
- Xiao, C.W.; Janssens, I.; Yuste, J.C.; Ceulemans, R. Variation of specific leaf area and upscaling to leaf area index in mature Scots pine. Trees 2006, 20, 304–310. [Google Scholar] [CrossRef]
- Marenych, M.M.; Hanhur, V.V.; Len, O.I.; Hangur, Y.M.; Zhornyk, I.I.; Kalinichenko, A.V. The efficiency of humic growth stimulators in pre-sowing seed treatment and foliar additional fertilizing of sown areas of grain and industrial crops. Agron. Res. 2019, 17, 194–205. [Google Scholar] [CrossRef]
- Watson, D.J. Comparative physiological studies in the growth of field crops. I. Variation in net assimilation rate and leaf area between species and varietes, and within and between years. Ann. Bot. 1947, 11, 44–76. [Google Scholar] [CrossRef]
- Stenberg, P. A note on the G-function for needle leaf canopies. Agric. For. Meteorol. 2006, 136, 76–79. [Google Scholar] [CrossRef]
- Smolander, H.; Stenberg, P. Response of LAI-2000 estimates to changes in plant surface area index in a Scots pine stand. Tree Physiol. 1996, 16, 345–349. [Google Scholar] [CrossRef] [PubMed]
- Granier, C.; Tardieu, F. Multi-scale phenotyping of leaf expansion in response to environmental changes: The whole is more than the sum of parts. Plant Cell Environ. 2009, 32, 1175–1184. [Google Scholar] [CrossRef] [PubMed]
- Davi, H.; Baret, F.; Huc, R.; Dufrêne, E. Effect of thinning on LAI variance in heterogeneous forests. Forest Ecol. Manag. 2008, 256, 890–899. [Google Scholar] [CrossRef]
- Churkina, G.; Tenhunen, J.; Thornton, P.; Falge, E.M.; Elbers, J.A.; Erhard, M.; Grunwald, T.; Kowalski, A.S.; Rannik, U.; Sprinz, D. Analyzing the ecosystem carbon dynamics of four european coniferous forests using a biogeochemistry model. Ecosystems 2003, 6, 168–184. [Google Scholar] [CrossRef]
- Zweifel, R.; Rigling, A.; Dobbertin, M. Species-specific stomatal response of trees to microclimate a functional link between vegetation dynamics and climate change. Veg. Sci. 2009, 20, 442–454. [Google Scholar] [CrossRef]
- Dobbertin, M.; Eilmann, B.; Bleuler, P.; Giuggiola, A.; Pannatier, E.G.; Landolt, W.; Schleppi, P.; Rigling, A. Effect of irrigation on needle morphology, shoot and stem growth in a drought-exposed Pinus sylvestris forest. Tree Physiol. 2010, 30, 346–360. [Google Scholar] [CrossRef]
- Hardwick, S.R.; Toumi, R.; Pfeifer, M.; Turner, E.C.; Nilus, R.; Ewers, R.M. The relationship between leaf area index and microclimate in tropical forest and oil palm plantation: Forest disturbance drives changes in microclimate. Agric. For. Meteorol. 2015, 201, 187–195. [Google Scholar] [CrossRef]
- Falster, D.D.; Westoby, M. Leaf size and angle vary widely across species: What consequences for light interception? New Phytol. 2003, 158, 509–525. [Google Scholar] [CrossRef]
- Fotis, A.T.; Morin, T.H.; Fahey, R.T.; Hardiman, B.S.; Bohrer, G.; Curtis, P.S. Forest structure in space and time: Biotic and abiotic determinants of canopy complexity and their effects on net primary productivity. Agric. For. Meteorol. 2018, 250–251, 181–191. [Google Scholar] [CrossRef]
- Le Dantec, V.; Dufrene, E.; Saugier, B. Interannual and spatial variation in maximum leaf area index of temperate deciduous stands. For. Ecol. Manag. 2000, 134, 71–81. [Google Scholar] [CrossRef]
- Turner, D.P.; Acker, S.A.; Means, J.E.; Garman, S.L. Assessing alternative allometric algorithms for estimating leaf area of Douglas-fir trees and stands. For. Ecol. Manag. 2000, 126, 61–76. [Google Scholar] [CrossRef]
- Chen, J.M.; Rich, P.M.; Gower, S.T.; Norman, J.M.; Plummer, S. Leaf area index of boreal forests: Theory, techniques and measurements. J. Geophys. Res. Atmos. 1997, 102, 429–443. [Google Scholar] [CrossRef]
- Kenefic, L.S.; Seymour, R.S. Leaf area prediction models for Tsuga canadensis in Maine. Can. J. For. Res. 1999, 29, 1574–1582. [Google Scholar] [CrossRef]
- Monserud, R.A.; Marshall, J.D. Allometric crown relations in three northern Idaho conifer species. Can. J. For. Res. 1999, 29, 521–535. [Google Scholar] [CrossRef]
- Goudie, J.W.; Parish, R.; Antos, J.A. Foliage biomass and specific leaf area equations at the branch, annual shoot and whole-tree levels for lodgepole pine and white spruce in British Columbia. Forest Ecol. Manag. 2016, 361, 286–297. [Google Scholar] [CrossRef]
- Bréda, N.J.J. Ground-based measurements of leaf area index: A review of methods, instruments and current controversies. J. Exp. Bot. 2003, 54, 2403–2417. [Google Scholar] [CrossRef]
- Jonckheere, I.; Muys, B.; Coppin, P. Allometry and evaluation of in situ optical LAI determination in Scots pine: A case study in Belgium. Tree Physiol. 2005, 25, 723–732. [Google Scholar] [CrossRef]
- Montes, F.; Pita, P.; Rubio, A.; Canellas, I. Leaf area index estimation in mountain even-aged Pinus sylvestris L. stands from hemispherical photographs. Agric. For. Meteorol. 2007, 145, 215–228. [Google Scholar] [CrossRef]
- Huang, P.; Pretzsch, H. Using terrestrial laser scanner for estimating leaf areas of individual trees in a conifer forest. Trees 2010, 24, 609–619. [Google Scholar] [CrossRef]
- Chaturvedi, R.K.; Singh, S.; Singh, H.; Raghubanshi, A.S. Assessment of allometric models for leaf area index estimation of Tectona grandis. Trop. Plant. Res. 2017, 4, 274–285. [Google Scholar] [CrossRef]
- Alton, P.B. Decadal trends in photosynthetic capacity and leaf area index inferred from satellite remote sensing for global vegetation types. Agric. For. Meteorol. 2018, 250–251, 361–375. [Google Scholar] [CrossRef]
- Stenberg, P.; Linder, S.; Smolander, H.; Flower-Ellis, J. Performance of the LAI-2000 plant canopy analyzer in estimating leaf area index of some Scots pine stands. Tree Physiol. 1994, 14, 981–995. [Google Scholar] [CrossRef] [PubMed]
- Majasalmi, T.; Rautiainen, M.; Stenberg, P.; Rita, H. Optimizing the sampling scheme for LAI-2000 measurements in a boreal forest. Agric. For. Meteorol. 2012, 154–155, 38–43. [Google Scholar] [CrossRef]
- Jagodziński, A.; Kałucka, I. Age-related changes in leaf area index of young Scots pine stands. Dendrobiology 2008, 59, 57–65. [Google Scholar]
- Gower, S.T.; Norman, J.M. Rapid estimation of leaf area index in conifer and broad leaf plantations. Ecology 1991, 72, 1896–1900. Available online: http://www.jstor.org/stable/1940988?origin=JSTOR-pdf (accessed on 1 March 2020). [CrossRef]
- Kershaw, J.A.; Maguire, D.A. Crown structure in western hemlock, Douglas-fir, and grand fir in western Washington: Horizontal distribution of foliage within branches. Can. J. For. Res. 1996, 26, 128–142. [Google Scholar] [CrossRef]
- Maguire, D.A.; Bennett, W.S. Patterns in vertical distribution of foliage in young coastal Douglas-fir. Can. J. For. Res. 1996, 26, 1991–2005. [Google Scholar] [CrossRef]
- Bond, B.J.; Farnsworth, B.T.; Coulombe, R.A.; Winner, W.E. Foliage physiology and biochemistry in response to light gradients in conifers with varying shade tolerance. Oecologia 1999, 120, 183–192. [Google Scholar] [CrossRef]
- Thomas, S.C.; Winer, W.E. Leaf area index of an old-growth Douglas-fir forest estimated from direct structural measurements in the canopy. Can. J. For. Res. 2000, 30, 1922–1930. [Google Scholar] [CrossRef]
- Niinemets, U.; Ellsworth, D.S.; Lukjanova, A.; Tobias, M. Site fertility and the morphological and photosynthetic acclimation of Pinus sylvestris needles to light. Tree Physiol. 2001, 21, 1231–1244. [Google Scholar] [CrossRef] [PubMed]
- Niinemets, U.; Lukjanova, A. Total foliar area and average leaf age may be more strongly associated with branching frequency than with leaf longevity in temperate conifers. New Phytol. 2003, 158, 75–89. [Google Scholar] [CrossRef]
- van Hees, A.F.M.; Bartelink, H.H. Needle area relationships of Scots pine in the Netherlands. For. Ecol. Manag. 1993, 58, 19–31. [Google Scholar] [CrossRef]
- Berninger, F.; Nikinmaa, E. Foliage area–sapwood area relationships of Scots pine (Pinus sylvestris) trees in different climates. Can. J. For. Res. 1994, 24, 2263–2268. [Google Scholar] [CrossRef]
- Oleksyn, J.; Reich, P.B.; Zytkowiak, R.; Karolewski, P.; Tjoelker, M.G. Needle nutrients in geographically diverse Pinus sylvestris L. populations. Ann. For. Sci. 2002, 59, 1–18. [Google Scholar] [CrossRef]
- Mencuccini, M.; Bonosi, L. Leaf/sapwood area ratios in Scots pine show acclimation across Europe. Can. J. For. Res. 2001, 31, 442–456. [Google Scholar] [CrossRef]
- Mäkela, A.; Virtanen, K.; Nikinmaa, E. The effects of ring width, stem position, and stand density between foliage biomass and sapwood area in Scots pine (Pinus sylvestris L.). Can. J. For. Res. 1995, 25, 970–977. [Google Scholar] [CrossRef]
- Sporek, M.; Sporek, K. Variation in pH reaction of soils. Proc. ECOpole 2007, 1/2, 249–252. [Google Scholar]
- Forest Management Plan for Tułowice Forest Division from January 1, 2014 to December 31, 2023 [in Polish].
- Smith, D.M.; Larson, B.C.; Kelty, M.J.; Ashton, P.; Mark, S. The Practice of Silviculture. Applied Forest Ecology; John Wiley & Sons Inc.: Hoboken, NJ, USA, 1997. [Google Scholar]
- Czarnowski, M.S. Investigation of the potential productive capacity of forest sites as a function of soil, climate and ecological properties of tree species. (A proposal of standardized method for the world-wide gathering action). Acta Univ. Wratisl. Pr. Bot. 1971, 134, 127–151. [Google Scholar]
- Przybylski, T. The Intensity and Differentiation of Solar Energy Binding in Pine Stands. Biometric Analysis of Pine Needles; Report No. 2 for 2001 on the Implementation of the Research Project 6PO4F02218; Institute of Dendrology, Polish Academy of Science: Kórnik, Poland, 2001. [Google Scholar]
- Czarnowski, M.S. Outline of Terrestrial Plant Ecology; PWN: Warsaw, Poland, 1989. (In Polish) [Google Scholar]
- Kaufman, L.; Rousseeuw, P.J. Finding Groups in Data. An Introduction to Cluster Analysis; Wiley: New York, NY, USA, 2005. [Google Scholar]
- Jolliffe, I.T. Principal Component Analysis, 2nd ed.; Springer: New York, NY, USA; Berlin/Heidelberg, Germany, 2002. [Google Scholar]
- The R Core Team. R: A Language and Environment for Statistical Computing, version 4.1.2; R Foundation for Statistical Computing: Vienna, Austria, 2021; Available online: https://www.R-project.org (accessed on 5 January 2022).
- Chambers, J.M.; Hastie, T.J. (Eds.) Statistical Models in S; Computer Science Series; Chapman & Hall: New York, NY, USA, 1993. [Google Scholar]
- Baldwin, V.C.; Peterson, K.D.; Burkhart, H.E.; Amateis, R.L.; Dougherty, P.M. Equations for estimating loblolly pine branch and foliage weight and surface area distributions. Can. J. For. Res. 1997, 27, 918–927. [Google Scholar] [CrossRef]
- Porte, A.; Bosc, A.; Champion, I.; Loustau, D. Estimating the foliage area of Maritime pine (Pinus pinaster Ait.) branches and crowns with application to modelling the foliage area distribution in the crown. Ann. For. Sci. 2000, 57, 73–86. [Google Scholar] [CrossRef]
- Lovynska, V.; Lakyda, P.; Sytnyk, S.; Kharytonov, M.; Piestova, I. LAI estimation by direct and indirect methods in Scots pine stands in Northern Steppe of Ukraine. J. For. Sci. 2018, 64, 514–522. [Google Scholar] [CrossRef]
- Albrektson, A.; Elfving, B.; Lundqvist, L.; Valinger, E. Skogsskötselserien—Skogsskötselns Grunder och Samband; Skogsstyrelsen: Jönköping, Sweden, 2012; p. 88. [Google Scholar]
- Cannell, M.G.R. Physiological basis of wood production: A review scand. J. For. Res. 1989, 4, 459–490. [Google Scholar] [CrossRef]
- Jack, S.B.; Long, J.N. Response of leaf area index to density for two contrasting tree species. Can. J. For. Res. 1991, 21, 1760–1764. [Google Scholar] [CrossRef]
- Lagergren, F.; Lindroth, A. Transpiration response to soil moisture in pine and spruce trees in Sweden. Agric. For. Meteorol. 2002, 112, 67–85. [Google Scholar] [CrossRef]
- Żelawski, W.; Kinelska, J.; Łotocki, A. Influence of shade on productivity of photosynthesis in seedlings of Scots pine (Pinus sylvestris L.) during the second vegetation period. Acta Soc. Bot. Pol. 1968, 3, 505–518. [Google Scholar]
- llvesniemi, H.; Liu, C. Biomass distribution in a young Scots pine stand. Borea Env. Res. 2001, 6, 3–8. [Google Scholar]
- Goude, M.; Nilsson, U.; Holmström, E. Comparing direct and indirect leaf area measurements for Scots pine and Norway spruce plantations in Sweden. Eur. J. For. Res. 2019, 138, 1033–1047. [Google Scholar] [CrossRef]




| FMN | SN | DBH | H | H* | ||
|---|---|---|---|---|---|---|
| (kg) | (m2) | (cm) | (m) | (m) | ||
| SN (m2) | Pearson’s r | 0.9384 | - | |||
| p-value | <0.0001 | - | ||||
| DBH (cm) | Pearson’s r | 0.8481 | 0.7267 | - | ||
| p-value | <0.000 | <0.001 | - | |||
| H (m) | Pearson’s r | 0.5870 | 0.4808 | 0.6276 | - | |
| p-value | <0.010 | <0.043 | <0.005 | - | ||
| H* (m) | Pearson’s r | 0.6956 | 0.6774 | 0.7002 | 0.2012 | - |
| p-value | <0.001 | <0.002 | <0.001 | <0.423 | - |
| Model Formula | β0 | SEβ0 | p-Value | CIβ0 | β1 | SEβ1 | p-Value | CIβ1 | Rd |
|---|---|---|---|---|---|---|---|---|---|
| SN = β0SN + β1SN·DBH | −15.6 | 8.1 | 0.003 | −32.8–1.5 | 2.43 | 0.57 | <0.001 | 1.2–3.7 | 0.53 |
| FMN = β0FMN + β1FMN·DBH | −4.8 | 1.4 | 0.003 | −7.7–−1.9 | 0.627 | 0.098 | <0.001 | 0.42–0.83 | 0.72 |
| Number of Plots | LAI | SN | FMN | Stand Density |
|---|---|---|---|---|
| (m2·m−2) | (m2· ha−1) | (kg·ha−1) | (pcs·ha−1) | |
| 4 | 3.2 | 32,310 | 6458 | 2500 |
| 12 | 3.4 | 33,570 | 7160 | 2000 |
| 23 | 3.5 | 34,760 | 7617 | 1800 |
| 6 | 3.5 | 35,760 | 7724 | 2000 |
| 21 | 3.5 | 35,060 | 7393 | 2200 |
| 16 | 3.5 | 35,090 | 7250 | 2400 |
| 7 | 3.6 | 36,110 | 7890 | 1900 |
| 3 | 3.6 | 36,380 | 7308 | 2100 |
| 24 | 3.7 | 36,970 | 8038 | 2000 |
| 8 | 3.7 | 37,350 | 8060 | 2100 |
| 15 | 3.7 | 37,250 | 7957 | 2200 |
| 18 | 3.7 | 36,580 | 7484 | 2600 |
| 1 | 3.8 | 37,660 | 7837 | 2500 |
| 22 | 3.9 | 39,080 | 8356 | 2300 |
| 9 | 4.0 | 39,800 | 8013 | 3000 |
| 10 | 4.0 | 39,850 | 7727 | 3400 |
| 5 | 4.2 | 42,160 | 8925 | 2600 |
| 2 | 4.2 | 41,950 | 8720 | 2800 |
| 25 | 4.4 | 44,240 | 9387 | 2700 |
| 19 | 4.6 | 46,020 | 10,071 | 2400 |
| 13 | 4.8 | 47,810 | 10,082 | 3000 |
| 20 | 4.9 | 48,860 | 9638 | 2700 |
| 17 | 4.9 | 48,920 | 10,480 | 3100 |
| 14 | 5.1 | 51,180 | 11,102 | 2800 |
| 11 | 5.4 | 54,140 | 11,037 | 3900 |
Publisher’s Note: MDPI stays neutral with regard to jurisdictional claims in published maps and institutional affiliations. |
© 2022 by the authors. Licensee MDPI, Basel, Switzerland. This article is an open access article distributed under the terms and conditions of the Creative Commons Attribution (CC BY) license (https://creativecommons.org/licenses/by/4.0/).
Share and Cite
Sporek, M.; Sporek, K.; Stebila, J.; Kučerka, M.; Kminiak, R.; Lubis, M.A.R. Assessment of the Mass and Surface Area of the Scots Pine (Pinus sylvestris L.) Needles. Appl. Sci. 2022, 12, 8204. https://doi.org/10.3390/app12168204
Sporek M, Sporek K, Stebila J, Kučerka M, Kminiak R, Lubis MAR. Assessment of the Mass and Surface Area of the Scots Pine (Pinus sylvestris L.) Needles. Applied Sciences. 2022; 12(16):8204. https://doi.org/10.3390/app12168204
Chicago/Turabian StyleSporek, Monika, Kazimierz Sporek, Ján Stebila, Martin Kučerka, Richard Kminiak, and Muhammad Adly Rahandi Lubis. 2022. "Assessment of the Mass and Surface Area of the Scots Pine (Pinus sylvestris L.) Needles" Applied Sciences 12, no. 16: 8204. https://doi.org/10.3390/app12168204
APA StyleSporek, M., Sporek, K., Stebila, J., Kučerka, M., Kminiak, R., & Lubis, M. A. R. (2022). Assessment of the Mass and Surface Area of the Scots Pine (Pinus sylvestris L.) Needles. Applied Sciences, 12(16), 8204. https://doi.org/10.3390/app12168204

