Abstract
Electrokinetic (EK) remediation methods can remove heavy metals from the soil, but the removal efficiency is generally low. In this paper, indoor remediation experiments of simulated copper-contaminated clay under four different types of electrolyte conditions (KCl, HAc, AC, and PASP (polyaspartic acid)) are carried out to validate the theory of an electrodynamically coupled steel slag permeability reactive wall (PRB). By comparison with EK remediation, it has been shown that the EK-PRB coupled remediation method can promote the removal of heavy metal copper in the soil, especially in the removal of reducible copper and exchangeable copper. The method can effectively avoid the increase in soil pH value and reduce the accumulation range of heavy metals while reducing the accumulation amount of heavy metals. This method has better energy utilization efficiency, and the unit energy consumption is smaller than the single electric remediation test.
1. Introduction
Heavy metal contamination in soil is a worldwide environmental problem [1]. The Ministry of Environmental Protection and the Ministry of Land and Resources has issued the National Soil Pollution Status Survey Bulletin, which shows that the soil environment in China is not optimistic. One-third of the contaminants in the soil are heavy metals, mainly from mining, smelting, metal processing, and industrial waste emissions [2,3].
It is difficult to remove heavy metals from contaminated soil. The development of the industry increases the contamination of soils with heavy metals. Once the heavy metals exceed the standard, they will affect the normal growth of plants, enter the bodies of animals in the food chain, and thus threaten people’s health eventually [4]. Copper is a representative heavy metal [5]. Excessive copper accumulation in the human body can cause serious damage to the nervous system, liver, and kidney. However, it is very difficult to remove Cu from the polluted soil due to the strong combination of Cu with organic matter in the soil and its precipitation with OH− [6]. At present, many remediation techniques have attempted to remove heavy metals from the soil, but they all have problems [7]. The system of biological remediation runs unsteadily, which requires strict control of reaction conditions and a longer processing time. Physical remediation of contaminated soil often implies large costs and is not suitable for large-scale soil contamination. The removal of heavy metals by chemical method requires a large number of chemical agents, which can easily cause secondary pollution [8,9]. Soil remediation should maintain no significant changes in soil properties while removing contaminants or ensure that the changes are reversible and can be restored to normal use after soil remediation. Electrokinetic remediation is an innovative recovery technology that has been applied to the treatment of heavy metals and organic contaminants and shows good application prospects. Electrokinetic remediation (EK) utilizes DC power on both sides of the soil to form a potential gradient that forces pollutants to migrate to the end of the soil column by electromigration, electroosmotic flow, electrophoresis, and diffusion [10]. Compared with other technologies, electrokinetic remediation can be performed in situ, even in low permeability soil, and is characterized by stability, high efficiency, and low cost [11].
The pH of the soil is one of the important factors affecting the efficiency of electrokinetic remediation, which can change the existing form of heavy metals in soil, and affect the process of heavy metal adsorption-desorption, and precipitation-dissolution. Generally, in the process of remediation, the electric current value increases with the increase in voltage, and it also consumes more energy. At the same time, when the voltage increases, the removal rate of heavy metals also increases significantly. Studies have shown that adding complexing agents can effectively improve the efficiency of electrokinetic remediation. As an electrolyte, the complexing agent can neutralize the OH− generated by water electrolysis and effectively control the pH value of the soil. The complexing agents can react with heavy metal ions to form metal complexes, which enhance the solubility of heavy metals.
Many studies have explored the remediation effects of EK on contaminated soil, in which sulfuric acid, KCl, and acetic acid have been used as electrolytes to remediation Cu-contaminated soil. It has been reported that no obvious removal is observed when sulfuric acid is used, and the removal efficiency reaches 15–31% and 18–30%, respectively, when KCl and acetic acid are used [12,13,14]. In order to enhance the electrokinetic remediation effect, chelating and complexing agent solutions are applied that can combine with toxic metals and convert them into soluble metal-chelating complexes and coordination complexes to improve the desorption efficiency of metals in soil. Common chelating and complexing agents include EDTA (Ethylene Diamine Tetraacetic Acid), NTA (Network Terminal Appliance), DTPA (Diethylenetriaminepentaacetic acid), EGTA (Ethylenebis (oxyethylenenitrilo) tetraacetic acid), CA (Chemical Abstracts), and PASP (polyaspartic acid), etc. [15]. The first four species are expensive and will cause secondary pollution to the environment that can increase the potential toxicity to plants, so they are not suitable for application in practical soil remediation [16]. However, CA and PASP are non-toxic, chemically stable, and have strong ionic complexation ability because they include multiple-COOH groups that can form M-complexes. Therefore, they are environmentally friendly and economical complexing agents [17,18,19]. When CA is used as the electrolyte in electrokinetic remediation, the removal efficiency of lead in the soil increases from 15.47% to 56.85% compared with KCl. Although the EK remediation has achieved good effects, the application of this technology is restricted due to poor solubility of pollutants, weak desorption capacity, and polarization phenomenon [20].
Studies have been conducted on the application of adsorbents (Activated carbon, fly ash, and carbonized waste) as PRB fillers and on PRB coupling with electrodynamics as remediation. In the coupled system, such PRBs can effectively reduce the pollution of heavy metals to the electrolyte and the polarization phenomenon. In addition, the removal efficiency of heavy metals (such as Cu2+, Cr6+, Cd, etc.) is increased by more than 20% [20,21,22,23].
Steel slag is characterized by porosity and large specific surface area and can release OH− and hydroxyl SOH in an aqueous solution. It is a good adsorbent for heavy metal ions. A large number of experiments have proven that steel slag can effectively remove Cd, Cu2+, Zn2+, and Pb2+ from wastewater and other metal ions; the removal rate is more than 80%, or even close to 100%. However, when the EK-PRB method is used to remediate contaminated soil, there is no report on the use of steel slag as PRB filler, and its remediation effect needs to be studied.
The objective of this paper is to offer insights into the removal efficiency of the combination of steel slag PRB and EK for copper-contaminated soil. The laboratory model tests involve a series of comparisons between EK and EK-PRB tests with various electrolytes solutions (KCl, HAc, CA, and PASP). The effects of steel slag PRB on soil pH value, contaminants removal efficiency, and residual heavy metal forms are investigated, and remediation performance through the EK-PRB system is analyzed. Meanwhile, the effects of KCl, HAc, CA, and PASP on the dissolution and transport of copper in the soil are compared, and the energy utilization efficiencies in different EK experiments have been evaluated.
2. Materials and Methods
2.1. Preparation of Soil and Steel Slag
The soil samples used in this experiment were taken from the library of the clay foundation under construction on the east campus of Northeast Electric Power University in Jilin city (buried depth of 2.0 m, below the groundwater level). The soil was air-dried and crushed, screened at 2 mm to remove weeds, leaves, and gravel, and then ground and dried. The physical properties of the soil were obtained by experimental tests. The plastic index Ip is 18.4, and the specific gravity is 2.7.
A certain amount of CuSO4 solution was added to dry soil to prepare 250 mg/kg of polluted soil, which was sealed in a plastic box and placed in a dark environment for 2 months to ensure the aging of the pollutants to simulate the real contaminated soil. Then, it was air-dried for 48 h and ground for the preparation of soil samples. The characteristics of soil samples are shown in Table 1.
Table 1.
Physical and chemical properties of the contaminated samples.
2.2. Experimental Setup
In order to analyze the electrokinetic remediation removal efficiency of a steel slag reaction wall under various electrolyte conditions, the four electrolytes of sodium chloride, acetic acid, citric acid, and PASP are selected for the comparison tests of steel slag PRB and no PRB, respectively. The test list is shown in Table 2.
Table 2.
Experimental conditions for electrokinetic remediation of Cu-contaminated soil.
Figure 1 shows the schematic diagram of an electrokinetic remediation test reactor used in this study. The system consists of a perspex reactor containing contaminated soil (length × width × height = 30 × 10 × 10 cm), two electrode compartments (length × width × height = 10 × 10 × 10 cm), two high-purity graphite electrodes (length × width × height = 10 × 0.5 × 10 cm), two peristaltic pumps, two electrolyte reservoirs (1 L), and a power supply. Two pieces of cellulose filter paper were placed between the electrolysis chamber and the soil chamber to prevent the contaminated soil from entering the electrolysis chamber.
Figure 1.
A schematic diagram of the experimental reactor for electrokinetic remediation: (1) Soil chamber, (2) Anode chamber, (3) Cathode chamber, (4) Electrolyte solution reservoir, (5) Graphite electrode, (6) Plexiglass and filter paper, (7) DC power supply, (8) PRB (9) Peristaltic pump.
The following preparations are made before tests. First, prepare the electrolyte solution by mixing deionized water and the chemical substance in proportion, in which all chemicals used in the tests are of analytical grade. Secondly, mix the electrolyte solution with the air-dried contaminated soil using a mixer to prepare a saturated soil sample with a water content of 32%. Then, layer it into a perspex container and compact it by hand. The final height of the soil sample is 7 cm, and the weight is about 3.9 kg. The prepared soil samples are placed for 12 h before the repair tests. In the EK-PRB test, an additional 0.25 kg dry fine steel slag is placed near the cathode as PRB material.
At the beginning of the tests, an electrolyte solution was added to the electrolytic chamber by a peristaltic pump (iCE 3300) and replenished to the anode chamber every 12 h to maintain the continuous operation of the tests. All EK tests were performed under a constant pressure gradient (1 v/cm) for 10 days. The soil chamber was evenly divided into five sections (S1–S5) from anode to cathode. During the tests, soil samples were taken from each section at regular intervals for pH and total copper concentration tests, and the copper forms of soil samples in each section were determined at the end of the test on day 10.
In order to analyze the removal mechanism of electrokinetic remediation, the electrical conductivity, pH value, total copper content, and Cu forms of the initial contaminated soil and the soil after electrokinetic remediation were measured. Current changes can be recorded in real-time from the DC power supply. The pH values of the soil in five slices were measured with a pH meter (PHS-3E; INSTRUMENT, China) after extraction with deionized water at the ratio of 1:2.5 (soil:water).
The total Cu in the soil samples was extracted by high-pressure acid digestion, which was performed under 180 °C for 180 min after mixing 5 mL HNO3 and 5 mL HF with 0.5 g soil. The total Cu concentration in the digested soil samples solution was determined by atomic absorption spectrometry (GBC0729SensAA; Australia). Five forms are divided for the fractions of copper in the soil according to the selective sequential extraction by the Tessier method, which is water-soluble (WS), exchangeable (EXCH), reducible (RED), oxidizable (OX), and residual (RES) [24].
3. Results and Discussion
3.1. Changes in Electric Current and Energy Consumption
Figure 2 shows the change in electric current during the 10-day electrokinetic remediation. The currents of T1–T8 at the beginning of the tests are 187, 20, 32, 23, 150, 25, 50, and 31 mA, respectively. The changes in electric current in the tests are mainly attributed to variations in the conductive capacity and the ability of electrolytes to extract metal ions from contaminated soil [25]. The currents of T2–T8 increase initially and then decrease. The magnitude of the current is closely related to ion movement during electrokinetic remediation. At the initial stage of the test, the ions’ desorption in the soil and the electrolysis of the electrolyte increase the electrical conductivity of the overall system, and then the action of electromigration, electroosmotic flow, and electrophoresis gradually decrease the flow of ions in the soil. After 10 days of electrokinetic remediation, except for T2 and T6, the currents of the other six groups of tests are all lower than the initial values. The currents change significantly in the T1 and T5 tests using 0.1 m KCl as the electrolyte because the KCl solution enhances the electrolytic reaction and produces a large number of K+, Cl−, H+, and OH− ions, which can improve the conductivity of the solution. The comparison of Figure 2a,b can reflect the influence of steel slag PRB on the change of electric current during remediation. The initial current values of the tests with PRB except T5 are slightly higher, which is probably caused by the introduction of additional ions from steel slag. The reason that the initial current of T5 is less than that of T1 is that the steel slag surface has a negative charge and can absorb positive K+ ions, thus reducing the number of free ions in the EK-PRB system. After 10 days of remediation, the currents of T1–T8 is 8, 27, 22, 15, 6, 26, 20, and 11 mA, respectively. The peak values of the currents are greater, and peak points occur earlier when PRB is applied under other conditions being the same, which indicates that better electromigration is obtained with PRB.
Figure 2.
Electric current changes over 10 days. (a) EK Remediation; (b) EK-PRB Remediation.
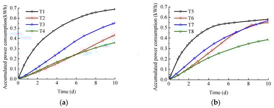
Figure 3 shows the accumulated energy consumption in eight groups of EK tests within 10 days. The energy consumption is calculated by the following equation,
where W is the electric energy consumption of removing contaminant (kWh), U isapplied voltage (V), I is current intensity (mA), and t is treatment time (h).
Figure 3.
Accumulated energy consumption over 10 days. (a) EK Remediation; (b) EK-PRB Remediation.
The Cu removal efficiency, η, is expressed as follows,
where Ct represents the Cu concentration (mg·kg−1) at time t, and C0 is initial Cu concentration (mg·kg−1).
As can be seen from Figure 3a,b, the order of energy consumption is T1 > T5 > T7 > T3 > T6 > T2 > T8 > T4. Compared with the tests without PRB, the tests with PRB will produce greater energy consumption except for the T5 test. In addition to the energy required for the migration of toxic metals, the energy loss will also be caused by the migration of other ions in the soil, water electrolysis, and heating effects. Energy utilization efficiency is represented by the energy consumed per unit mass of the pollutant. The smaller value of means higher energy utilization efficiency.
where is unit energy consumption, kWh·mg−1, and m is the mass of dry contaminated soil, kg.
Table 3 shows the removal efficiency, energy consumption, and unit energy consumption of copper in eight groups. The energy consumption of EK-PRB tests is generally higher, but the removal efficiencies are significantly improved. The unit energy consumption values, of the tests with PRB under the conditions of four electrolytes are all smaller than those of EK repair tests alone, the values decrease by 10.1–46.1%. Removal efficiency and unit energy consumption are different when various electrolytes are used. The order of removal efficiency of the four electrolytes is 0.1 m citric acid > 1% PASP > 0.1 m Hac > 0.1 m KCl, and the order of values is 1% PASP < 0.1 m citric acid < 0.1 m AC < 0.1 m KCl. Therefore, 0.1 M citric acid and 1% PASP are identified as better effects on Cu-contaminated soil restoration by considering the removal efficiency and unit energy consumption comprehensively.
Table 3.
Results of electrokinetic remediation of copper-contaminated soil.
3.2. The pH Values of Soil
Figure 4 shows the pH values of initial soil and after remediation for 10 days. The pH value of the soil increases from the anode to the cathode. The pH-value change in soil is mainly caused by the movement of H+ and OH− produced by water electrolysis reaction on the anode and cathode, through electromigration, electroosmotic flow, electrophoresis, and diffusion. After 10 days of remediation, the section in the soil close to the initial pH value is closer to the cathode (between S3–S4) because the migration velocity of hydrogen ions is faster than hydroxide ions [26]. The cathode will be gradually alkaline as the repair progresses by using electrokinetic remediation alone. The pH values of the soil near the cathode (S3-S5) are higher than the initial pH values on day 10 of the repair, especially for T1 and T4; they can reach 7.1 or more. This is not conducive to the removal of Cu because Cu2+ easily forms copper hydroxide precipitates with hydroxide ions, blocking the soil pores and causing the accumulation of heavy metals at higher pH values. Figure 4b shows that the pH values near the cathode of T5–T8 are all less than six, indicating that the steel slag PRB is beneficial to maintaining the soil pH value free from the influence of the catholyte, thus facilitating the removal of Cu.
Figure 4.
Changes of soil pH in different sections after electrokinetic remediation. (a) EK Remediation; (b) EK-PRB Remediation.
Metal ions in the soil are easily desorbed under acidic conditions. The initial pH value of contaminated soil is 5.4, and the pH values of soil soaked by four electrolytes for 12 h will change. The pH values of soil soaked with HAc and CA decreased slightly. After 10 days of repair, the pH values of the soil near the anode (S1) in the eight groups decreased to between 2.0 and 3.3, and the pH values of anodic electrolyte order as 1% PASP > 0.1 M citric acid > 0.1 M HAc > 0.1 M KCl, contrary to the energy consumption order, which indicates that the soil pH value in the S1 section is related to the intensity of the electrolysis reaction. Lower pH values will produce stronger electrolysis reactions. It can be seen that the pH value and current value of T1 and T5 in the S1 section are the lowest when the repairs are completed. This may be because the environment with a low pH value reduces the zeta potential of the soil and thus leads to the decrease in electroosmosis flow and limits the migration of pollutants [27]. Therefore, controlling the soil pH value is crucial for EK remediation.
3.3. Removal Efficiency of Copper
Figure 5 shows the concentration of contaminants in the S1–S5 section for eight groups of tests during the 10-day electrokinetic remediation. The contaminants accumulate in the S1 section at the beginning of the repair. Electrolytes in soil react with heavy metals and form an electronegative metal complex, which will migrate to the anode when it is under an acidic condition. Then, the metal complex disintegrates and releases the positive metal ion. These metal ions will migrate to the cathode, and some of them form a metal complex in the soil during migration, which moves to the anode again. It is the above cyclic process that produces the highest concentration of Cu in S1 in the first two days of the tests.

Figure 5.
Changes in concentration of contaminants during electrokinetic remediation. (a) T1; (b) T2; (c) T3; (d) T4; (e) T5; (f) T6; (g) T7; (h) T8.
As remediation time goes on, the maximum concentration of Cu ions occurs in the S2-S4 sections because the soil near the anode is gradually acidified, causing the Cu accumulation region to migrate inward gradually. The accumulation range and amount of Cu are affected by the electrolyte solution. Cu accumulations for the cases of CA and PASP are less than those of KCl and HAc by comparing the residual amount of Cu during the remediation period. This indicates that the removal efficiencies of Cu are better when CA and PASP are used as electrolytes. This is because CA and PASP, as ideal metal complexing agents, can be applied to a wide range of pH values, and the chemical properties of the metal complexes formed by them are stable.
The removal rates, η, of Cu in the soil after the 10-day remediation of the EK and EK-PRB tests of the four electrolytes are plotted in Figure 6, which is more distinctly observed than the removal efficiencies of Cu under the conditions of various electrolytes and the addition of PRB. The application of PRB is more beneficial to the removal of heavy metals in the soil compared to EK alone. Both the amount and range of Cu accumulation reduce. The removal efficiencies for the four electrolytes increase by 56%, 40%, 22%, and 36%, respectively. In the process of EK remediation alone, copper ions and soluble salts in the soil move directionally and attach to the electrode surface under the action of the electric field, increasing the resistance of the electrode and reducing the electrical conductivity, which influences the efficiency of electrokinetic remediation. Conversely, steel slag PRB has a high adsorption capacity for Cu ions and soluble salts, which can avoid polluting electrolytes. In addition, steel slag can absorb hydroxide ions generated by the cathode, reduce the soil pH value, and avoid the formation of Cu(OH)2 that block the soil pores. Compared with the EK tests (T1–T4), the removal efficiency increased significantly after using PRB (T5–T8).
Figure 6.
Copper removal effect before and after electric repair. (a) EK Remediation; (b) EK−PRB Remediation.
It is commonly recognized that the KCl solution has good conductivity and can enhance the current and electroosmotic flow during electrokinetic remediation because it contains a large amount of Cl− and combines with Cu to form Cu-Cl, a complex that will prevent soil from re-adsorbing Cu and thus improve the desorption rate of Cu. However, the 10-day remediation results indicate that the removal efficiency of heavy metals for 0.1 m KCl solution is not ideal. The average removal efficiency of T1 and T5 is 22.32% and 34.87%, respectively, and the removal efficiency of various sections is quite different. The removal efficiency of the S1 section is the highest, reaching 75%, while Cu accumulation in the S2 section even exceeds the initial value.
When 0.1 m HAc is used as an electrolyte (T2 and T6) for EK remediation, the H+ ions in HAc can promote the dissolution of copper and form Cux(AC)y in the form of various complexes and chelates and can also adjust the pH. Thus, the copper removal efficiency is improved significantly. The average removal efficiency for T2 and T6 are 39% and 54%, respectively.
When CA is used as an electrolyte, the removal efficiency of Cu from soil can be significantly improved. The average removal rates of T3 and T7 are 51% and 62%, respectively. This is because the H+ ions produced by CA can acidify the contaminated soil, and the acidic conditions are conducive to the migration of Cu from the soil. Moreover, CA has one -OH group and three -COOH groups that can form soluble copper chelates in soil, which can promote the desorption of Cu in the soil and remove it [28].
Similar to CA, PASP has multiple -COOH groups that can form soluble, negatively charged copper chelates. They migrate toward the anode under the action of an electric field. However, the pH value of 1% PASP is 9. The alkaline conditions hinder the removal of Cu, so its removal rate is lower than that of the CA electrolyte. After 10 days of electric repair, the removal rates of T4 and T8 are 40% and 55%, respectively, with some accumulation in the S2 section.
3.4. Fractionation Changes
The Cu form in contaminated soil is analyzed by the Tessier five-step extraction method. The Tessier method is a five-step continuous extraction method proposed by Tessier et al. This method divides the distribution of various binding forms of metal elements in detail. This method divides heavy metals into five binding forms: the metal exchangeable state (exchangeable state), carbonate binding state (carbonate state), iron (manganese) oxide binding state (iron/manganese state), organic matter and sulfide binding state (organic state), and residue lattice binding state (residue state). Figure 7 and Table 4 show the fractions of copper in the initial and 10-day remediation soils. The proportion of copper in water-soluble (WS), exchangeable (EXCH), reducible (RED), oxidizable (OX), and residual (RES) stages in the initial soil are 12.6%, 16.3%, 47.9%, 9.58%, and 13.6%, respectively. After 10-days of EK remediation, the removal efficiency of WS copper is the highest in all tests, and the removal of OX and RES copper is not satisfactory. Specifically, the removal efficiency for RES is almost not influenced by PRB and electrolytes. Copper is mainly concentrated in the middle of the soil samples, and the removal efficiency in the section close to the cathode is lower than that close to the anode, obviously because Cu is easy to precipitate at high pH conditions. Conversely, water-soluble, exchangeable, and reducible copper are easily desorbed under acidic conditions, so Cu in these forms is better removed near the anode.

Figure 7.
Fractionation change of Cu after EK tests. (a) Test 1; (b) Test 2; (c) Test 3; (d) Test 4; (e) Test 5; (f) Test 6; (g) Test 7; (h) Test 8.
Table 4.
Results of fractionation change of Cu after EK tests.
Comparison of the Cu forms after EK and EK-PRB remediation demonstrates that EK-PRB remediation can remove more RED Cu; because steel slag has played a role in improving the reducibility of the electrolyte. Partial iron atoms in the steel slag are oxidized as FeO, and there exists a small amount of elemental iron itself, which makes steel slag present a certain degree of reducibility. Then the reducibility of the electrolyte will be increased due to its providing electrons to the solution, which facilitates the removal of the reducible Cu.
The EK-PRB coupling remediation method can effectively avoid the increase in soil pH; it can reduce the accumulation of heavy metals, and also reduce the accumulation range of heavy metals, and promote the removal of heavy metals in the soil; it has better energy utilization efficiency and unit energy consumption. Compared with the single EK test, the energy consumption reduction is 10.1–46.1%. More reducible copper can be removed; the removal rate is increased by 7–21%, while the removal rate of exchangeable copper is increased by 9.5–32.1%.
4. Conclusions
This paper has carried out copper-contaminated soil remediation tests by combining electrokinetics with a steel slag-permeable reactive barrier (PRB) in the conditions of various electrolytes (KCl, HAc, AC, and PASP) to investigate the influence of electrolyte and steel slag PRB on the remediation efficiencies of contaminated soil. The conclusions are as follows:
In the EK and EK-PRB remediation tests, the removal efficiency and unit energy consumption order of the four electrolytes is the same. The removal efficiency is 0.1 M CA > 1% PASP > 0.1 M Hac > 0.1 M KCl, and the unit energy consumption is 1% PASP < 0.1 M CA < 0.1 M HAc < 0.1 M KCl. It is recognized that 0.1 M CA and 1% PASP have better efficiencies in Cu-contaminated soil remediation, combining removal efficiency and unit energy consumption.
Compared with electrokinetic remediation alone, the EK-PRB system can remove Cu from contaminated soil more economically and effectively. The removal efficiencies of Cu in four various electrolytes increase by 22% to 56%, and the unit energy consumptions reduce by 10.1% to 46.1%.
In all experiments of EK and EK-PRB, the removal efficiencies of Cu in the S1 section near the anode can reach more than 65%. According to the analysis of the Cu form, acidic conditions can effectively remove water-soluble, exchangeable, and reducible copper. The reducibility of FeO and elemental iron in steel slag in EK-PRB tests is conducive to the removal of reducible Cu in soil, which is the main factor for enhancing the removal rate of Cu in EK-PRB tests.
The changes in soil pH value will cause the accumulation of Cu in the middle of the soil and the area near the cathode. Steel slag PRB is advantageous in maintaining the soil pH free from the influence of the cathode electrolyte, thus facilitating the removal of Cu near the cathode area. The pH value of the anode electrolyte should be controlled to avoid Cu accumulation in the future improvement experiment.
Author Contributions
Conceptualization, R.C. and W.W.; methodology, J.G. and L.Z.; software, D.C.; validation, D.H., R.C. and W.W.; formal analysis—review and editing, L.Z. and D.C.; visualization, D.C.; supervision, R.C.; project administration, L.Z.; funding acquisition, D.H. All authors have read and agreed to the published version of the manuscript.
Funding
This research was funded by the National Natural Science Foundation of China (51308095; 51409045; 52078108), Key Project of Science and Technology Research planning of Education Department of Jilin Province (JJKH20210103KJ), and Project of Science and Technology Innovation and Outstanding Talents of Jilin Province (20210301058RQ).
Data Availability Statement
Some or all data, models, or code that support the findings of this study are available from the corresponding author upon reasonable request.
Conflicts of Interest
The authors declare no conflict of interest.
References
- Su, C.; Jiang, L.; Zhang, W. A review on metals metal contamination in the soil worldwide: Situation, impact and remediation techniques. Env. Skep Cri. 2014, 3, 24. [Google Scholar]
- Li, Z.; Ma, Z.; van der Kuijp, T.J.; Yuan, Z.; Huang, L. A review of soil metals metal pollution from mines in China: Pollution and health risk assessment. Sci Total Environ. 2014, 468, 843–853. [Google Scholar] [CrossRef] [PubMed]
- Lee, J.C.; Kim, E.J.; Kim, H.W.; Baek, K. Oxalate-based remediation of arsenic bound to amorphous Fe and Al hydrous oxides in soil. Geoderma 2015, 270, 76–82. [Google Scholar] [CrossRef]
- Saha, J.K.; Selladurai, R.; Coumar, M.V.; Dotaniya, M.L.; Kundu, S.; Patra, A.K. Assessment of heavy metals contamination in soil. In Soil Pollution—An Emerging Threat to Agriculture; Environmental Chemistry for a Sustainable World; Springer: Singapore, 2017; Volume 10. [Google Scholar]
- Rashed, M.N. Monitoring of environmental heavy metals in fish from Nasser lake. Environ. Int. 2002, 27, 27–33. [Google Scholar] [CrossRef]
- Giannis, A.; Nikolaou, A.; Pentari, D.; Gidarakos, E. Chelating agent-assisted electrokinetic removal of cadmium, lead and copper from contaminated soils. Environ. Pollut. 2009, 157, 3379–3386. [Google Scholar] [CrossRef]
- Yao, Z.; Li, J.; Xie, H.; Yu, C. Review on remediation technologies of soil contaminated by heavy metals. Procesia Environ. Sci. 2012, 16, 722–729. [Google Scholar] [CrossRef] [Green Version]
- Lee, S.O.; Tran, T.; Jung, B.H.; Kim, S.J.; Kim, M.J. Dissolution of iron oxide using oxalic acid. Hydrometallurgy. 2007, 87, 91–99. [Google Scholar] [CrossRef]
- Acar, Y.B.; Alshawabkeh, A.N. Principles of electrokinetic remediation. Environ. Sci. Technol. 1993, 27, 2638–2647. [Google Scholar] [CrossRef]
- Chen, X.; Hou, W.H.; Song, G.L.; Wang, Q.H. Adsorption of Cu, Cd, Zn and Pb ions from aqueous solutions by electric arc furnace slag and the effects of pH and grain size. Chem. Biochem. Eng. Q. 2011, 25, 105–114. [Google Scholar]
- Acar, Y.B.; Gale, R.J.; Alshawabkeh, A.N.; Marks, R.E.; Parker, R. Electrokinetic remediation: Basics and technology status. J. Hazard. Mater. 1995, 40, 117–137. [Google Scholar] [CrossRef]
- Cameselle, C.; Alberto, P. Enhanced electromigration and electro-osmosis for the remediation of an agricultural soil contaminated with multiple heavy metals. Process Saf. Environ. Prot. 2016, 104, 209–217. [Google Scholar] [CrossRef]
- Figueroa, A.; Cameselle, C.; Gouveia, S.; Hansen, H.K. Electrokinetic treatment of an agricultural soil contaminated with heavy metals. J. Environ. Sci. Health Part A Toxic/Hazard. Subst. Environ. Eng. 2016, 51, 1–10. [Google Scholar] [CrossRef] [PubMed]
- Zhang, Y.; Chu, G.; Dong, P.; Xiao, J.; Meng, Q.; Baumgartel, M.; Xu, B.; Hao, T. Enhanced electrokinetic remediation of lead- and cadmium-contaminated paddy soil by composite electrolyte of sodium chloride and citric acid. J. Soils Sediments 2018, 18, 1915–1924. [Google Scholar] [CrossRef]
- Lingua, G.; Todeschini, V.; Grimaldi, M.; Baldantoni, D.; Proto, A.; Cicatelli, A.; Biondi, S.; Torrigiani, P.; Castiglione, S. Polyaspartate, a biodegradable chelant that improves the phytoremediation potential of poplar in a highly metal-contaminated agricultural soil. J. Environ. Manag. 2014, 132, 9–15. [Google Scholar] [CrossRef]
- Gao, Y.; Fan, L.; Ward, L.; Liu, Z. Synthesis of polyaspartic acid derivative and evaluation of its corrosion and scale inhibition performance in seawater utilization. Desalination 2015, 365, 220–226. [Google Scholar] [CrossRef]
- Li, Y.; Chen, C.; Zhang, J.; Lan, Y. Catalytic role of Cu(II) in the reduction of Cr(VI) by citric acid under an irradiation of simulated solar light. Chemosphere 2015, 127, 87–92. [Google Scholar] [CrossRef]
- Xu, Z.; Bai, S.; Liang, J.; Zhou, L.; Lan, Y. Photocatalytic reduction of Cr(VI) by citric and oxalic acids over biogenetic jarosite. Mater. Sci. Eng. C 2013, 33, 2192–2196. [Google Scholar] [CrossRef]
- Chen, N.; Lan, Y.; Wang, B.; Mao, J. Reduction of Cr (VI) by organic acids in the presence of Al (III). J. Hazard. Mater. 2013, 260, 150–156. [Google Scholar] [CrossRef]
- Zhang, P.; Jin, C.; Sun, Z.; Huang, G.; She, Z. Assessment of acid enhancement schemes for electrokinetic remediation of Cd/Pb contaminated soil. Water Air Soil Pollut. 2016, 227, 217. [Google Scholar] [CrossRef]
- Han, J.G.; Hong, K.K.; Kim, Y.W.; Lee, J.Y. Enhanced electrokinetic (E/K) remediation on copper contaminated soil by CFW (carbonized foods waste). J. Hazard. Mater. 2010, 177, 530–538. [Google Scholar] [CrossRef]
- Ma, J.W.; Wang, F.Y.; Huang, Z.H.; Wang, H. Simultaneous removal of 2, 4-dichlorophenol and cd from soils by electrokinetic remediation combined with activated bamboo charcoal. J. Hazard. Mater. 2010, 176, 715–720. [Google Scholar] [CrossRef] [PubMed]
- Zhang, J.; Xu, Y.; Li, W.; Zhou, J.; Zhao, J.; Qian, G.; Xu, Z.P. Enhanced remediation of Cr(VI)-contaminated soil by incorporating a calcined-hydrotalcite-based permeable reactive barrier with electrokinetics. J. Hazard. Mater. 2012, 239–240, 128–134. [Google Scholar] [CrossRef] [PubMed]
- Larner, B.L.; Seen, A.J.; Townsend, A.T. Comparative study of optimised BCR sequential extraction scheme and acid leaching of elements in the certified reference material NIST 2711. Anal. Chim. Acta 2006, 556, 444–449. [Google Scholar] [CrossRef] [Green Version]
- López-Vizcaíno, R.; Alonso, J.; Cañizares, P.; León, M.J.; Navarro, V.; Rodrigo, M.A.; Sáez, C. Electroremediation of a natural soil polluted with phenanthrene in a pilot plant. J. Hazard. Mater. 2014, 265, 142–150. [Google Scholar] [CrossRef] [PubMed] [Green Version]
- Demir, A.; Köleli, N. The sequential use of washing and an electrochemical reduction process for the remediation of lead-contaminated soils. Environ. Technol. 2012, 34, 799–805. [Google Scholar] [CrossRef] [PubMed]
- Peng, J.F.; Song, Y.H.; Yuan, P.; Cui, X.Y.; Qiu, G.L. The remediation of heavy metals contaminated sediment. J. Hazard. Mater. 2009, 161, 633–640. [Google Scholar] [CrossRef]
- Weng, L.; Temminghoff, E.J.M.; Lofts, S.; Tipping, E.; Riemsdijk, W.H.V. Complexation with dissolved organic matter and solubility control of heavy metals in a sandy soil. Environ. Sci. Technol. 2002, 36, 4804–4810. [Google Scholar] [CrossRef]
Publisher’s Note: MDPI stays neutral with regard to jurisdictional claims in published maps and institutional affiliations. |
© 2022 by the authors. Licensee MDPI, Basel, Switzerland. This article is an open access article distributed under the terms and conditions of the Creative Commons Attribution (CC BY) license (https://creativecommons.org/licenses/by/4.0/).