Feature Normalization Reweighting Regression Network for Sugar Content Measurement of Grapes
Abstract
:1. Introduction
1.1. Related Work
1.2. Contribution
- (a)
- A feature normalization reweighting regression network (FNRR-Net) is proposed for imbalanced distribution grape datasets, which has a high degree of confidence in predicting the sugar content of grapes.
- (b)
- We group and label the datasets in different sugar content intervals and propose a balanced loss function under the visual transformer model to accommodate the imbalanced grape datasets.
- (c)
- The non-destructive measurement of a grape’s sugar content is efficient, economical, and convenient.
2. Materials and Methods
2.1. Sample Collection
2.2. Image Pre-Processing
2.2.1. Image Extraction
2.2.2. Label Grouping with Specific Interval
2.3. FNRR Network
| Algorithm 1. Feature normalization reweighting regression model training |
| 1 for X=1; X<=Epoch; X++ |
| 2 Read a segmented grape image |
| 3 Put the image in deep learning model to obtain the Feature maps of the image |
| 4 Put the Feature maps in FC layer to obtain the matrix |
| 5 Normalize the matrix to obtain the Normalized Vector |
| 6 Compute the Output Vector with Normalized Vector and Label Vector |
| 7 Average the elements of Output Vector to obtain the final Brix Value of the image |
| 8 end for |
2.3.1. Convolutional Neural Network
2.3.2. Transfer Learning
2.3.3. Transformer Model
- , , and : The three self-attention mechanism vectors.
- : The dimension of [20].
- : The attention head obtained from Equation (1) [20].
- : Parameter matrices of the model.
- : Reference value.
- : Model estimate.
- : Probability of the category reference value.
- : Probability distribution of the category model estimate.
- : Number of images in one batch.
- : Size of the categories.

2.4. Experimental Setting and Evaluation
- : Reference value.
- : Model estimate.
- : Covariance between and .: Respective standard deviations of y.
- : Respective standard deviations of .
- : The function to pick up the max number from the data.
3. Results and Discussion
3.1. Analysis of Convolutional Neural Network Retraining Results
3.2. Analysis of Transfer Learning Results
3.3. Analysis of Transformer Model Result
4. Conclusions
Author Contributions
Funding
Institutional Review Board Statement
Informed Consent Statement
Data Availability Statement
Conflicts of Interest
References
- Failla, O.; Mariani, L.; Brancadoro, L.; Minelli, R.; Scienza, A.; Murada, G.; Mancini, S. Spatial distribution of solar radiation and its effects on vine phenology and grape ripening in an alpine environment. Am. J. Enol. Vitic. 2004, 55, 128–138. Available online: https://www.ajevonline.org/content/55/2/128 (accessed on 15 February 2022).
- Meng, X. The Effect of Light Intensity on the Fruit Coloration of Red Globe Grape. Master’s Thesis, ShiHeZi University, ShiHeZi, China, 2014. [Google Scholar] [CrossRef]
- Ren, G.; Tao, R.; Wang, C.; Sun, X.; Fang, J. Study on the relationship between grape berry coloration and UFGT and MYBA gene expression. J. Nanjing Agric. Univ. 2013, 36, 7. Available online: https://kns.cnki.net/kcms/detail/detail.aspx?dbcode=CJFD&dbname=CJFD2013&filename=NJNY201304007&uniplatform=NZKPT&v=tE8aZGJ3GHOHn8LxUnPIDvxqwNSNxBowlOqTcGASZvAFC2nwH65Rj-WjOT-Ex1lF (accessed on 15 February 2022).
- Hernández-Hernández, J.L.; García-Mateos, G.; González-Esquiva, J.M.; Escarabajal-Henarejos, D.; Ruiz-Canales, A.; Molina-Martínez, J.M. Optimal color space selection method for plant/soil segmentation in agriculture. Comput. Electron. Agric. 2016, 122, 124–132. [Google Scholar] [CrossRef]
- García-Mateos, G.; Hernández-Hernández, J.; Escarabajal-Henarejos, D.; Jaén-Terrones, S.; Molina-Martínez, J. Study and comparison of color models for automatic image analysis in irrigation management applications. Agric. Water Manag. 2016, 151, 158–166. [Google Scholar] [CrossRef]
- Huang, Y.; Wang, J.; Li, N.; Yang, J.; Ren, Z. Predicting soluble solids content in “Fuji” apples of different ripening stages based on multiple information fusion. Pattern Recognit. Lett. 2021, 151, 76–84. [Google Scholar] [CrossRef]
- Sajad, S.; Ignacio, A. A visible-range computer-vision system for automated, non-intrusive assessment of the pH value in Thomson oranges. Comput. Ind. 2018, 99, 69–82. [Google Scholar] [CrossRef]
- Kondo, N.; Ahmad, U.; Monta, M.; Murase, H. Machine vision based quality evaluation of Iyokan orange fruit using neural networks. Comput. Electron. Agric. 2000, 29, 135–147. [Google Scholar] [CrossRef]
- Tang, Y. Research on the Non-Destructive Testing Technology of Red Grape Quality. Huazhong Agricultural University. 2016. Available online: https://kns.cnki.net/kcms/detail/detail.aspx?dbcode=CMFD&dbname=CMFD201701&filename=1016155352.nh&uniplatform=NZKPT&v=XQela6bRTxRWG2NKHwRnHPcVxpEJRfMwPKWe47FZCBhrdGzlLRsbionCK3lVKI6a (accessed on 15 February 2022).
- Ronneberger, O.; Fischer, P.; Brox, T. U-Net: Convolutional Networks for Biomedical Image Segmentation. Med. Image Comput. Comput-Assist. Interv. 2015, 9351, 234–241. [Google Scholar] [CrossRef] [Green Version]
- Oksuz, K.; Cam, B.C.; Kalkan, S.; Akbas, E. Imbalance Problems in Object Detection: A Review. IEEE Trans. Pattern Anal. Mach. Intell. 2020, 43, 3388–3415. [Google Scholar] [CrossRef] [PubMed] [Green Version]
- Shorten, C.; Khoshgoftaar, T. A survey on Image Data Augmentation for Deep Learning. J. Big Data 2019, 6, 60. [Google Scholar] [CrossRef]
- Lecun, Y.; Bottou, L. Gradient-based learning applied to document recognition. Proc. IEEE 1998, 86, 2278–2324. [Google Scholar] [CrossRef] [Green Version]
- Simonyan, K.; Zisserman, A. Very Deep Convolutional Networks for Large-Scale Image Recognition. In Proceedings of the 3rd International Conference on Learning Representations, ICLR 2015, San Diego, CA, USA, 7–9 May 2015; Available online: https://arxiv.org/abs/1409.1556 (accessed on 15 February 2022).
- Lin, M.; Chen, Q.; Yan, S. Network in network. In Proceedings of the International Conference for Learning Representations (ICLR), Banff, AB, Canada, 14–16 April 2014; Available online: https://arxiv.org/abs/1312.4400 (accessed on 15 February 2022).
- Weiss, K.; Khoshgoftaar, T.; Wang, D. A survey of transfer learning. J. Big Data 2016, 3, 9. [Google Scholar] [CrossRef] [Green Version]
- Ioffe, S.; Szegedy, C. Batch Normalization: Accelerating Deep Network Training by Reducing Internal Covariate Shift. In Proceedings of the 32nd International Conference on International Conference on Machine Learning, Lille, France, 6–11 July 2015; Volume 37, pp. 448–456. [Google Scholar] [CrossRef]
- Khan, S.; Naseer, M.; Hayat, M.; Zamir, S.W.; Khan, F.S.; Shah, M. Transformers in Vision: A Survey. ACM Comput. Surv. 2021. [Google Scholar] [CrossRef]
- Dosovitskiy, A.; Beyer, L.; Kolesnikov, A.; Weissenborn, D.; Zhai, X.; Unterthiner, T.; Dehghani, M.; Minderer, M.; Heigold, G.; Gelly, S.; et al. An Image is Worth 16 × 16 Words: Transformers for Image Recognition at Scale. In Proceedings of the 9th International Conference on Learning Representations, Virtual Event, Austria, 3–7 May 2021; Available online: https://openreview.net/forum?id=YicbFdNTTy (accessed on 15 February 2022).
- Vaswani, A.; Shazeer, N.; Parmar, N.; Uszkoreit, J.; Jones, L.; Gomez, A.N.; Kaiser, L.; Polosukhin, I. Attention is All you Need. ArXiv. In Proceedings of the 31st Conference on Neural Information Processing Systems (NIPS 2017), Long Beach, CA, USA, 4–9 December 2017; Available online: https://arxiv.org/abs/1706.03762 (accessed on 15 February 2022).
- Krizhevsky, A.; Ilya, S.; Hinton, G. Imagenet classification with deep convolutional neural networks. In Advances in Neural Information Processing Systems; Curran Associates Inc.: Red Hook, NY, USA, 2012; Volume 1, pp. 1097–1105. [Google Scholar] [CrossRef]
- He, K.; Zhang, X.; Ren, S.; Sun, J. Deep Residual Learning for Image Recognition. In Proceedings of the 2016 IEEE Conference on Computer Vision and Pattern Recognition (CVPR), Las Vegas, NV, USA, 27–30 June 2016; pp. 770–778. [Google Scholar] [CrossRef] [Green Version]
- Szegedy, C.; Vanhoucke, V.; Ioffe, S.; Shlens, J.; Wojna, Z. Rethinking the Inception Architecture for Computer Vision. In Proceedings of the 2016 IEEE Conference on Computer Vision and Pattern Recognition (CVPR), Las Vegas, NV, USA, 27–30 June 2016; pp. 2818–2826. [Google Scholar] [CrossRef] [Green Version]






| Ranking | Model | Data Division Method | Maximum Error | ||
|---|---|---|---|---|---|
| 1 | AlexNet | 0.4 | 0.9022 | 0.6061 | 1.6211 |
| 2 | AlexNet | 0.6 | 0.9054 | 0.6113 | 1.5714 |
| 3 | AlexNet | 0.8 | 0.8626 | 0.7206 | 1.4605 |
| 4 | AlexNet | 1 | 0.7838 | 0.9160 | 2.5257 |
| 5 | InceptionV3 | 0.4 | 0.9120 | 0.6174 | 1.3104 |
| 6 | InceptionV3 | 0.6 | 0.8807 | 0.7673 | 1.7756 |
| 7 | InceptionV3 | 0.8 | 0.8880 | 0.6699 | 1.5024 |
| 8 | InceptionV3 | 1 | 0.8893 | 0.6684 | 1.2362 |
| 9 | ResNet50 | 0.4 | 0.9067 | 0.6095 | 1.5320 |
| 10 | ResNet50 | 0.6 | 0.8854 | 0.6563 | 1.5658 |
| 11 | ResNet50 | 0.8 | 0.9066 | 0.6218 | 1.7013 |
| 12 | ResNet50 | 1 | 0.8686 | 0.6986 | 1.6380 |
| Ranking | Model | Data Division Method | Loss Function | Maximum Error | ||
|---|---|---|---|---|---|---|
| 1 | ViT-B_32 | 0.4 | Loss1 | 0.9223 | 0.5455 | 1.2963 |
| 2 | ViT-B_32 | 0.4 | Loss2 | 0.9111 | 0.5755 | 1.5668 |
| 3 | ViT-B_32 | 0.6 | Loss1 | 0.9186 | 0.5998 | 1.4732 |
| 4 | ViT-B_32 | 0.6 | Loss2 | 0.9217 | 0.5433 | 1.4288 |
| 5 | ViT-B_32 | 0.8 | Loss1 | 0.9196 | 0.5636 | 1.4504 |
| 6 | ViT-B_32 | 0.8 | Loss2 | 0.9162 | 0.5635 | 1.4747 |
| 7 | ViT-B_32 | 1 | Loss1 | 0.9056 | 0.6447 | 1.7061 |
| 8 | ViT-B_32 | 1 | Loss2 | 0.9101 | 0.6303 | 1.7148 |
| 9 | ViT-B_16 | 0.4 | Loss1 | 0.9307 | 0.5358 | 0.9715 |
| 10 | ViT-B_16 | 0.4 | Loss2 | 0.9361 | 0.5416 | 1.1344 |
| 11 | ViT-B_16 | 0.6 | Loss1 | 0.9422 | 0.4920 | 0.9913 |
| 12 | ViT-B_16 | 0.6 | Loss2 | 0.9455 | 0.4536 | 0.8645 |
| 13 | ViT-B_16 | 0.8 | Loss1 | 0.9367 | 0.5396 | 1.1036 |
| 14 | ViT-B_16 | 0.8 | Loss2 | 0.9401 | 0.5122 | 1.5941 |
| 15 | ViT-B_16 | 1 | Loss1 | 0.9307 | 0.5696 | 1.2348 |
| 16 | ViT-B_16 | 1 | Loss2 | 0.9371 | 0.5212 | 1.0712 |
| 17 | ViT-L_32 | 0.4 | Loss1 | 0.9210 | 0.5558 | 1.4059 |
| 18 | ViT-L_32 | 0.4 | Loss2 | 0.9055 | 0.6360 | 1.6473 |
| 19 | ViT-L_32 | 0.6 | Loss1 | 0.9370 | 0.5155 | 1.1055 |
| 20 | ViT-L_32 | 0.6 | Loss2 | 0.9146 | 0.6096 | 1.3747 |
| 21 | ViT-L_32 | 0.8 | Loss1 | 0.9306 | 0.5272 | 1.3582 |
| 22 | ViT-L_32 | 0.8 | Loss2 | 0.9305 | 0.5502 | 1.0498 |
| 23 | ViT-L_32 | 1 | Loss1 | 0.9367 | 0.5213 | 1.1703 |
| 24 | ViT-L_32 | 1 | Loss2 | 0.9350 | 0.5419 | 1.1930 |
| 25 | ViT-L_16 | 0.4 | Loss1 | 0.9371 | 0.4800 | 0.9067 |
| 26 | ViT-L_16 | 0.4 | Loss2 | 0.9498 | 0.4268 | 0.9801 |
| 27 | ViT-L_16 | 0.6 | Loss1 | 0.9491 | 0.4273 | 0.7868 |
| 28 | ViT-L_16 | 0.6 | Loss2 | 0.9590 | 0.3860 | 0.9110 |
| 29 | ViT-L_16 | 0.8 | Loss1 | 0.9155 | 0.5661 | 1.4969 |
| 30 | ViT-L_16 | 0.8 | Loss2 | 0.9599 | 0.3841 | 0.9756 |
| 31 | ViT-L_16 | 1 | Loss1 | 0.9460 | 0.4580 | 0.8936 |
| 32 | ViT-L_16 | 1 | Loss2 | 0.9405 | 0.4804 | 0.9650 |
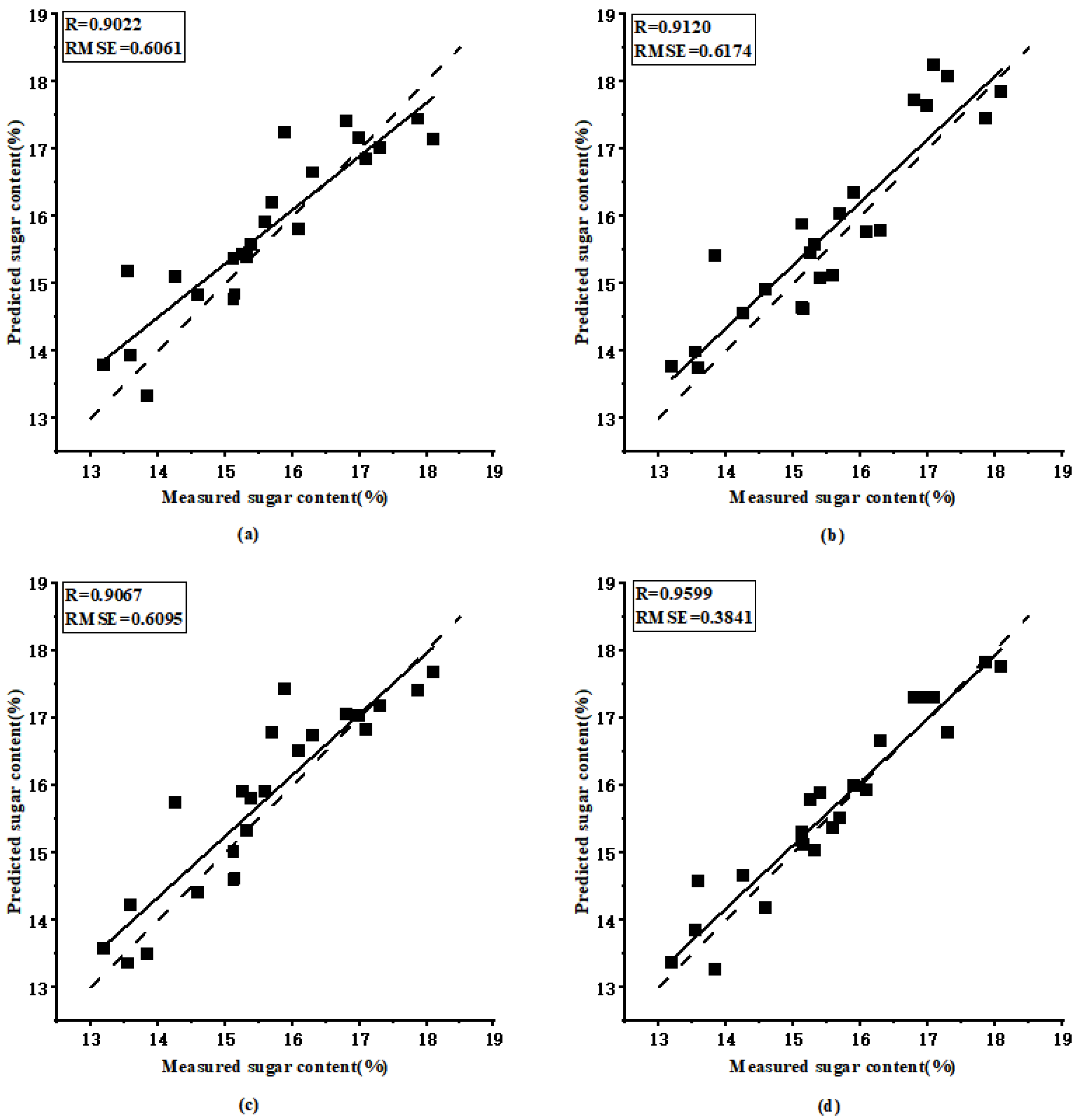
| Model | Data Division Method | Loss Function | Maximum Error | ||
|---|---|---|---|---|---|
| AlexNet | 0.4 | Loss1 | 0.9022 | 0.6061 | 1.6211 |
| InceptionV3 | 0.4 | Loss1 | 0.9120 | 0.6174 | 1.3104 |
| ResNet50 | 0.4 | Loss1 | 0.9067 | 0.6095 | 1.5320 |
| ViT-L_16 | 0.8 | Loss2 | 0.9599 | 0.3841 | 0.9756 |
Publisher’s Note: MDPI stays neutral with regard to jurisdictional claims in published maps and institutional affiliations. |
© 2022 by the authors. Licensee MDPI, Basel, Switzerland. This article is an open access article distributed under the terms and conditions of the Creative Commons Attribution (CC BY) license (https://creativecommons.org/licenses/by/4.0/).
Share and Cite
Jia, M.; Li, J.; Hu, T.; Jiang, Y.; Luo, J. Feature Normalization Reweighting Regression Network for Sugar Content Measurement of Grapes. Appl. Sci. 2022, 12, 7474. https://doi.org/10.3390/app12157474
Jia M, Li J, Hu T, Jiang Y, Luo J. Feature Normalization Reweighting Regression Network for Sugar Content Measurement of Grapes. Applied Sciences. 2022; 12(15):7474. https://doi.org/10.3390/app12157474
Chicago/Turabian StyleJia, Mei, Jiuliang Li, Tianyang Hu, Yingzhe Jiang, and Jun Luo. 2022. "Feature Normalization Reweighting Regression Network for Sugar Content Measurement of Grapes" Applied Sciences 12, no. 15: 7474. https://doi.org/10.3390/app12157474
APA StyleJia, M., Li, J., Hu, T., Jiang, Y., & Luo, J. (2022). Feature Normalization Reweighting Regression Network for Sugar Content Measurement of Grapes. Applied Sciences, 12(15), 7474. https://doi.org/10.3390/app12157474
