Bulk and Rayleigh Waves Propagation in Three-Phase Soil with Flow-Independent Viscosity
Abstract
1. Introduction
2. Viscoelastic Dynamic Model
3. Wavefield Solution for Bulk and Rayleigh Waves
3.1. Bulk Waves
3.2. Rayleigh Wave
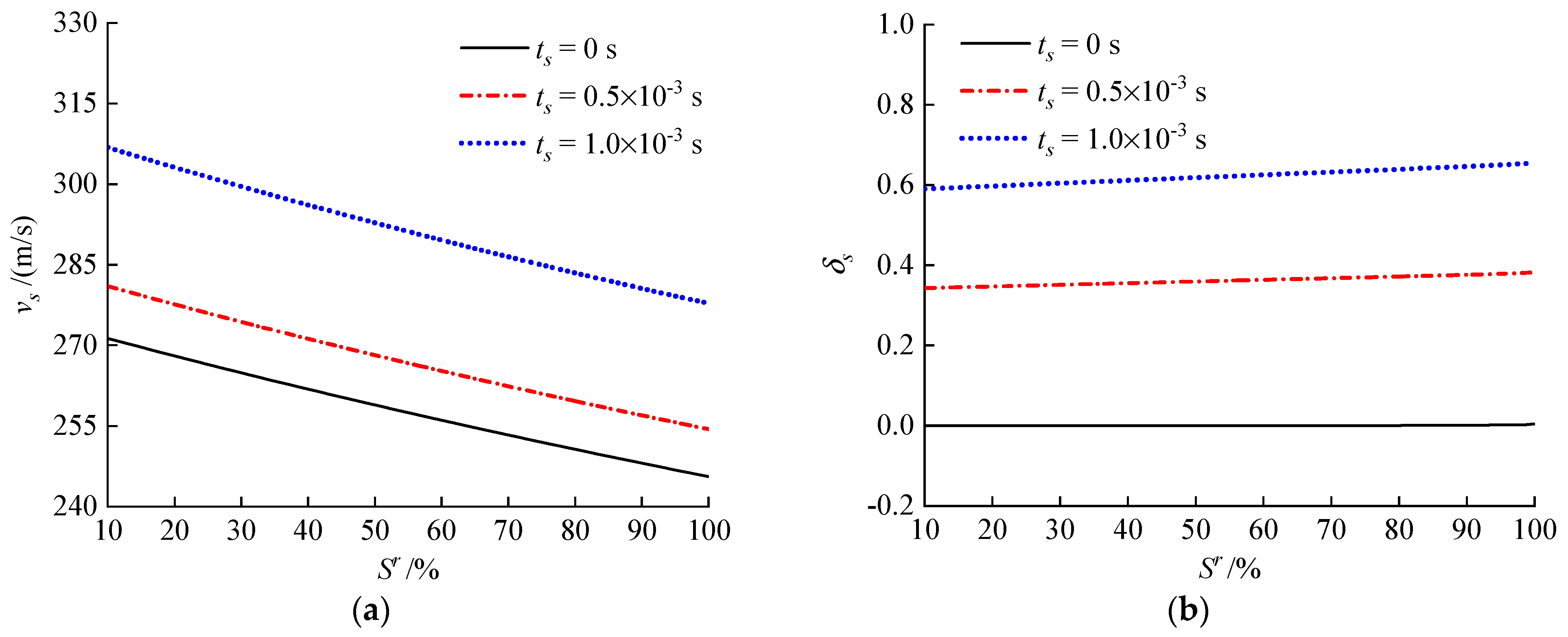
4. Numerical Examples and Parametric Analysis
5. Conclusions
Author Contributions
Funding
Institutional Review Board Statement
Informed Consent Statement
Data Availability Statement
Conflicts of Interest
Nomenclature
| Roman Symbols | |
| scalar potential amplitudes of phase | |
| vector potential amplitude of phase | |
| isotropic elastic coefficient matrix of soil skeleton | |
| isotropic viscoelastic coefficient matrix of soil skeleton | |
| fitting parameters of unsaturated soil | |
| conventional frequency | |
| imaginary unit | |
| intrinsic permeability of unsaturated soil | |
| complex wavenumber of Rayleigh wave | |
| complex wavenumber of longitudinal wave | |
| complex wavenumber of transverse wave | |
| relative permeability of gas phase | |
| relative permeability of liquid phase | |
| bulk modulus of soil skeleton | |
| bulk modulus of gas phase | |
| bulk modulus of liquid phase | |
| compression modulus of soil particles | |
| fitting parameters of unsaturated soil | |
| porosity of unsaturated soil | |
| averaged pore pressure | |
| gas pressure | |
| liquid pressure | |
| position vector | |
| gas saturation | |
| liquid saturation | |
| effective liquid saturation | |
| liquid saturation at residual state | |
| relaxation time | |
| displacement component of gas phase | |
| displacement component of liquid phase | |
| displacement component of solid phase | |
| relative displacement of gas phase | |
| relative displacement of liquid phase | |
| wave speed of P1 wave | |
| wave speed of P2 wave | |
| wave speed of P3 wave | |
| wave speed of S wave. | |
| Greek Symbols | |
| wavenumber component of P1 wave in z-direction | |
| wavenumber component of P2 wave in z-direction | |
| wavenumber component of P3 wave in z-direction | |
| wavenumber component of S wave in z-direction | |
| Kronecker delta | |
| attenuation coefficient of P1 wave | |
| attenuation coefficient of P2 wave | |
| attenuation coefficient of P3 wave | |
| attenuation coefficient of S wave | |
| volumetric strain of soil skeleton | |
| strain tensor under general state | |
| strain tensor under pore pressure | |
| elastic constant of soil | |
| viscosity constants of soil | |
| dynamic viscosity of gas phases | |
| dynamic viscosity of liquid phase | |
| mass density of gas phase | |
| mass density of liquid phase | |
| mass density of solid phase | |
| apparent density of gas phase | |
| apparent density of liquid phase | |
| apparent density of solid phase | |
| total stress | |
| effective stress tensor of unsaturated soil | |
| tortuosity of gas phase | |
| tortuosity of liquid phase | |
| scalar potential of phase | |
| vector potentials of phase | |
| fitting parameters of unsaturated soil | |
| angular frequency. | |
References
- Berryman, J.G. Confirmation of Biot’s theory. Appl. Phys. Lett. 1980, 37, 382–384. [Google Scholar] [CrossRef]
- Yang, J. Rayleigh surface waves in an idealised partially saturated soil. Géotechnique 2005, 55, 409–414. [Google Scholar] [CrossRef]
- Biot, M.A. Theory of propagation of elastic waves in a fluid-saturated porous solid. I. Low-frequency range. J. Acoust. Soc. Am. 1956, 28, 168–178. [Google Scholar] [CrossRef]
- Biot, M.A. Theory of propagation of elastic waves in a fluid-saturated porous solid. II. Higher frequency range. J. Acoust. Soc. Am. 1956, 28, 179–191. [Google Scholar] [CrossRef]
- Bowen, R.M. Incompressible porous media models by use of the theory of mixtures. Int. J. of Eng. Sci. 1980, 18, 1129–1148. [Google Scholar] [CrossRef]
- Jones, J.P. Rayleigh waves in a porous, elastic, saturated solid. J. Acoust. Soc. Am. 1961, 33, 959–962. [Google Scholar] [CrossRef]
- Plona, T.J. Observation of a second bulk compressional wave in a porous medium at ultrasonic frequencies. Appl. Phys. Lett. 1980, 36, 259–261. [Google Scholar] [CrossRef]
- Berryman, J.G.; Thigpen, L.; Chin, R.C. Bulk elastic wave propagation in partially saturated porous solids. J. Acoust. Soc. Am. 1988, 84, 360–373. [Google Scholar] [CrossRef]
- Berryman, J.G. Fluid effects on shear waves in finely layered porous media. Geophysics 2005, 70, N1–N15. [Google Scholar] [CrossRef]
- Zhou, F.; Ma, Q. Propagation of Rayleigh waves in fluid-saturated non-homogeneous soils with the graded solid skeleton distribution. Int. J. Numer. Anal. Methods Geomech. 2016, 40, 1513–1530. [Google Scholar] [CrossRef]
- Straughan, B.; Tibullo, V.; Amendola, A. Nonlinear acceleration wave propagation in the DKM theory. Mech. Res. Commun. 2020, 104, 103482. [Google Scholar] [CrossRef]
- Rohan, E.; Nguyen, V.H.; Naili, S. Homogenization approach and Floquet-Bloch theory for wave analysis in fluid-saturated porous media with mesoscopic heterogeneities. Appl. Math. Model. 2021, 91, 1–23. [Google Scholar] [CrossRef]
- Tung, D.X. Surface waves in nonlocal transversely isotropic liquid-saturated porous solid. Arch. Appl. Mech. 2021, 91, 2881–2892. [Google Scholar] [CrossRef]
- Wang, B.; Zhang, X.; Sun, B. Propagation prediction of body waves in fluid-saturated soils with flow-independent viscosity. Symmetry 2022, 14, 408. [Google Scholar] [CrossRef]
- Fattah, M.Y.; Abbas, S.F.; Karim, H.H. A model for coupled dynamic elastic-plastic analysis of soils. J. GeoEngineering 2012, 7, 43–50. [Google Scholar]
- Fattah, M.Y.; Al Mosawi, M.J.; Al Ameri, A.F. Dynamic response of saturated soil-foundation system acted upon by vibration. J. Earthq. Eng. 2017, 21, 1158–1188. [Google Scholar] [CrossRef]
- Alzabeebee, S. Dynamic response and design of a skirted strip foundation subjected to vertical vibration. Geomech. Eng. 2020, 20, 345–358. [Google Scholar]
- Alzabeebee, S. Numerical analysis of the interference of two active machine foundations. Geotech. Geol. Eng. 2020, 38, 5043–5059. [Google Scholar] [CrossRef]
- Lo, W.C. Propagation and attenuation of Rayleigh waves in a semi-infinite unsaturated poroelastic medium. Adv. Water Resour. 2008, 31, 1399–1410. [Google Scholar] [CrossRef]
- Lo, W.C.; Yeh, C.L.; Lee, J.W. Effect of viscous cross coupling between two immiscible fluids on elastic wave propagation and attenuation in unsaturated porous media. Adv. Water Resour. 2015, 83, 207–222. [Google Scholar] [CrossRef]
- Liu, H.; Zhou, F.; Wang, L.; Zhang, R. Propagation of Rayleigh waves in unsaturated porothermoelastic media. Int. J. Numer. Anal. Met. 2020, 44, 1656–1675. [Google Scholar] [CrossRef]
- Liu, H.; Dai, G.; Zhou, F.; Mu, Z. Propagation behavior of homogeneous plane-P1-wave at the interface between a thermoelastic solid medium and an unsaturated porothermoelastic medium. Eur. Phys. J. Plus 2021, 136, 1163. [Google Scholar] [CrossRef]
- Liu, H.; Dai, G.; Zhou, F.; Cao, X. A mixture theory analysis for reflection phenomenon of homogeneous plane-P1-wave at the boundary of unsaturated porothermoelastic media. Geophys. J. Int. 2022, 228, 1237–1259. [Google Scholar] [CrossRef]
- Bardet, J.P. A Viscoelastic Model for the Dynamic Behavior of Saturated Poroelastic Soils. J. Appl. Mech. 1992, 59, 128–135. [Google Scholar] [CrossRef]
- Xie, K.; Liu, G.; Shi, Z. Dynamic response of partially sealed circular tunnel in viscoelastic saturated soil. Soil Dyn. Earthq. Eng. 2004, 24, 1003–1011. [Google Scholar] [CrossRef]
- Chen, W.; Wang, D.; Mou, Y.; Zhao, K.; Chen, G. Effect of flow-independent viscosity on the propagation of Rayleigh wave in porous media. Soil Dyn. Earthq. Eng. 2021, 142, 106564. [Google Scholar] [CrossRef]
- Cheng, Z.; Leong, E.C. Finite element simulations of wave propagation in soils using a Viscoelastic model. Soil Dyn. Earthq. Eng. 2016, 88, 207–214. [Google Scholar] [CrossRef]
- Sills, G.C.; Wheeler, S.J.; Thomas, S.D.; Gardner, T.N. Behaviour of offshore soils containing gas bubbles. Géotechnique 1991, 41, 227–241. [Google Scholar] [CrossRef]
- Michaels, P. In situ determination of soil stiffness and damping. J. Geotech. Geoenviron. Eng. 1998, 124, 709–719. [Google Scholar] [CrossRef]
- Militano, G.; Rajapakse, R. Dynamic response of a pile in a multi-layered soil to transient torsional and axial loading. Géotechnique 1999, 49, 91–109. [Google Scholar] [CrossRef]
- Zhou, F.; Liu, H.; Li, S. Propagation of thermoelastic waves in unsaturated porothermoelastic media. J. Therm. Stress. 2019, 42, 1256–1271. [Google Scholar] [CrossRef]
- Bishop, A.W.; Blight, G. Some aspects of effective stress in saturated and partly saturated soils. Géotechnique 1963, 13, 177–197. [Google Scholar] [CrossRef]
- Zhang, M.; Wang, X.; Yang, G.; Xie, L. Solution of dynamic Green’s function for unsaturated soil under internal excitation. Soil Dyn. Earthq. Eng. 2014, 64, 63–84. [Google Scholar] [CrossRef]
- Van Genuchten, M.T. A closed-form equation for predicting the hydraulic conductivity of unsaturated soils. Soil Sci. Soc. Am. J. 1980, 44, 892–898. [Google Scholar] [CrossRef]
- Capeillère, J.; Mesgouez, A.; Lefeuve-Mesgouez, G. Axisymmetric wave propagation in multilayered poroelastic grounds due to a transient acoustic point source. Soil Dyn. Earthq. Eng. 2013, 52, 70–76. [Google Scholar] [CrossRef][Green Version]
- Mualem, Y. A new model for predicting the hydraulic conductivity of unsaturated porous media. Water Resour. Res. 1976, 12, 513–522. [Google Scholar] [CrossRef]
- Murphy, W.F. Acoustic measures of partial gas saturation in tight sandstones. J. Geophys. Res. 1984, 89, 11549–11559. [Google Scholar] [CrossRef]












| Parameter | Value | Parameter | Value | Parameter | Value |
|---|---|---|---|---|---|
| ns | 0.4 | Ks | 36 GPa | λe | 120 MPa |
| Sr | 0.6 | Kl | 2.2 GPa | μe | 120 MPa |
| Sres | 0.05 | Ka | 0.1 MPa | μl | 0.001 Pa·s |
| ρs | 2650 kg·m−3 | χ | 0.0001 | μa | 1.8 × 10−5 Pa·s |
| ρl | 1000 kg·m−3 | m | 0.5 | τl | 1.0 |
| ρa | 1.3 kg·m−3 | d | 2.0 | τa | 1.0 |
| k | 1.0 × 10−11 m2 | f | 100 Hz |
Publisher’s Note: MDPI stays neutral with regard to jurisdictional claims in published maps and institutional affiliations. |
© 2022 by the authors. Licensee MDPI, Basel, Switzerland. This article is an open access article distributed under the terms and conditions of the Creative Commons Attribution (CC BY) license (https://creativecommons.org/licenses/by/4.0/).
Share and Cite
Guo, Q.; Liu, H.; Dai, G.; Li, Z. Bulk and Rayleigh Waves Propagation in Three-Phase Soil with Flow-Independent Viscosity. Appl. Sci. 2022, 12, 7166. https://doi.org/10.3390/app12147166
Guo Q, Liu H, Dai G, Li Z. Bulk and Rayleigh Waves Propagation in Three-Phase Soil with Flow-Independent Viscosity. Applied Sciences. 2022; 12(14):7166. https://doi.org/10.3390/app12147166
Chicago/Turabian StyleGuo, Qing, Hongbo Liu, Guoliang Dai, and Zhongwei Li. 2022. "Bulk and Rayleigh Waves Propagation in Three-Phase Soil with Flow-Independent Viscosity" Applied Sciences 12, no. 14: 7166. https://doi.org/10.3390/app12147166
APA StyleGuo, Q., Liu, H., Dai, G., & Li, Z. (2022). Bulk and Rayleigh Waves Propagation in Three-Phase Soil with Flow-Independent Viscosity. Applied Sciences, 12(14), 7166. https://doi.org/10.3390/app12147166
