Uncertainty Quantification for Numerical Solutions of the Nonlinear Partial Differential Equations by Using the Multi-Fidelity Monte Carlo Method
Abstract
1. Introduction
2. Multi-Fidelity Monte Carlo Method
2.1. Monte Carlo Method
2.2. Multi-Fidelity Monte Carlo Method
2.2.1. Control Variables in Multi-Fidelity Estimation
2.2.2. Multi-Fidelity Monte Carlo Framework
2.3. Data-Driven Low-Fidelity Models of Nonlinear Partial Differential Equations
2.3.1. POD Coupled with DEIM
2.3.2. Operator Reduction
3. Numerical Results
3.1. Uncertainty Analysis of NLS Equation with Initial Value
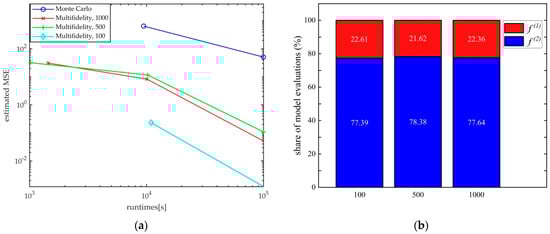
3.1.1. Estimate Analysis
3.1.2. Sensitivity Analysis
3.2. Parameter Uncertainty Analysis of Burgers’ Equation
3.2.1. Estimate Analysis
3.2.2. Sensitivity Analysis
4. Conclusions
Author Contributions
Funding
Institutional Review Board Statement
Informed Consent Statement
Data Availability Statement
Conflicts of Interest
References
- Kharazmi, E.; Zayernouri, M. Operator-based uncertainty quantification of stochastic fractional partial differential equations. J. Verif. Valid. Uncert. 2019, 4, 041006. [Google Scholar] [CrossRef]
- Chen, P. Model Order Reduction Techniques for Uncertainty Quantification Problems; EPFL: Lausanne, Switzerland, 2014. [Google Scholar]
- Baklouti, A.; Dammak, K.; El Hami, A. Uncertainty Analysis Based on Kriging Meta-Model for Acoustic-Structural Problems. Appl. Sci. 2022, 12, 1503. [Google Scholar] [CrossRef]
- Rudisill, J.W.; Cummings, P.T. Brownian dynamics simulation of model polymer fluids in shear flow. I. Dumbbell models. J. Non-Newton. Fluid 1992, 41, 275–288. [Google Scholar] [CrossRef]
- Shah, R.; Khan, H.; Kumam, P.; Arif, M. An analytical technique to solve the system of nonlinear fractional partial differential equations. Mathematics 2019, 7, 505. [Google Scholar] [CrossRef]
- Bonvin, J.; Picasso, M. Variance reduction methods for CONNFFESSIT-like simulations. J. Non-Newton. Fluid 1999, 84, 191–215. [Google Scholar] [CrossRef]
- Ng, L.W.; Willcox, K.E. Multi-fidelity approaches for optimization under uncertainty. Int. J. Numer. Meth. Eng. 2014, 100, 746–772. [Google Scholar] [CrossRef]
- Peherstorfer, B.; Willcox, K.; Gunzburger, M. Optimal model management for multi-fidelity Monte Carlo estimation. SIAM J. Sci. Comput. 2016, 38, A3163–A3194. [Google Scholar] [CrossRef]
- Peherstorfer, B.; Willcox, K.; Gunzburger, M. Survey of multi-fidelity methods in uncertainty propagation, inference, and optimization. SIAM Rev. 2018, 60, 550–591. [Google Scholar] [CrossRef]
- Peherstorfer, B.; Beran, P.S.; Willcox, K.E. Multi-fidelity Monte Carlo estimation for large-scale uncertainty propagation. In Proceedings of the 2018 AIAA Non-Deterministic Approaches Conference, Kissimmee, FL, USA, 8–12 January 2018; American Institute of Aeronautics and Astronautics: Reston, VA, USA, 2018. [Google Scholar] [CrossRef]
- Peherstorfer, B.; Cui, T.; Marzouk, Y.; Willcox, K. Multifidelity importance sampling. Comput. Methods Appl. Mech. Eng. 2016, 300, 490–509. [Google Scholar] [CrossRef]
- Fleeter, C.M.; Geraci, G.; Schiavazzi, D.E.; Kahn, A.M.; Marsden, A.L. Multilevel and multifidelity uncertainty quantification for cardiovascular hemodynamics. Comput. Methods Appl. Mech. Eng. 2020, 365, 113–130. [Google Scholar] [CrossRef]
- Cook, L.W.; Mishra, A.; Jarrett, J.P.; Willcox, K.E.; Iaccarino, G. Optimization under turbulence model uncertainty for aerospace design. Phys. Fluids 2019, 31, 105–111. [Google Scholar] [CrossRef]
- Ng, L.W.; Willcox, K.E. Monte Carlo information-reuse approach to aircraft conceptual design optimization under uncertainty. J. Aircr. 2016, 53, 427–438. [Google Scholar] [CrossRef]
- Peherstorfer, B. Multifidelity Monte Carlo estimation with adaptive low-fidelity models. SIAM/ASA J. Uncertain. Quantif. 2019, 7, 579–603. [Google Scholar] [CrossRef]
- Marques, A.N.; Opgenoord, M.M.; Lam, R.R.; Chaudhuri, A.; Willcox, K.E. Multifidelity method for locating aeroelastic flutter boundaries. AIAA J. 2020, 58, 1772–1784. [Google Scholar] [CrossRef]
- Feldstein, A.; Lazzara, D.; Princen, N.; Willcox, K. Multifidelity data fusion: Application to blended-wing-body multidisciplinary analysis under uncertainty. AIAA J. 2020, 58, 889–906. [Google Scholar] [CrossRef]
- Law, F.; Cerfon, A.; Peherstorfer, B. Accelerating the estimation of collisionless energetic particle confinement statistics in stellarators using multifidelity Monte Carlo. Nucl. Fusion 2022, 62, 076019. [Google Scholar] [CrossRef]
- Konrad, J.; Farcaş, I.G.; Peherstorfer, B.; Di Siena, A.; Jenko, F.; Neckel, T.; Bungartz, H.J. Data-driven low-fidelity models for multi-fidelity Monte Carlo sampling in plasma microturbulence analysis. J. Comput. Phys. 2022, 451, 110898. [Google Scholar] [CrossRef]
- Benner, P.; Gugercin, S.; Willcox, K. A survey of projection-based model reduction methods for parametric dynamical systems. SIAM Rev. 2015, 57, 483–531. [Google Scholar] [CrossRef]
- Swischuk, R.; Mainini, L.; Peherstorfer, B.; Willcox, K. Projection-based model reduction: Formulations for physics-based machine learning. Comput. Fluids 2019, 179, 704–717. [Google Scholar] [CrossRef]
- Park, C.; Haftka, R.T.; Kim, N.H. Remarks on multi-fidelity surrogates. Struct. Multidiscip. Optim. 2017, 55, 1029–1050. [Google Scholar] [CrossRef]
- Durlofsky, L.J.; Chen, Y. Uncertainty quantification for subsurface flow problems using coarse-scale models. In Numerical Analysis of Multiscale Problems; Springer: Berlin/Heidelberg, Germany, 2012; pp. 163–202. [Google Scholar] [CrossRef]
- Sirovich, L. Turbulence and the dynamics of coherent structures. I. Coherent structures. Quart. Appl. Math. 1987, 45, 561–571. [Google Scholar] [CrossRef]
- Peherstorfer, B.; Willcox, K. Data-driven operator inference for nonintrusive projection-based model reduction. Comput. Methods Appl. Mech. Eng. 2016, 306, 196–215. [Google Scholar] [CrossRef]
- Chen, J.; Han, D.; Yu, B.; Sun, D.; Wei, J. A POD-Galerkin reduced-order model for isotropic viscoelastic turbulent flow. Int. Commun. Heat Mass Transf. 2017, 84, 121–133. [Google Scholar] [CrossRef]
- Quarteroni, A.; Manzoni, A.; Negri, F. Reduced Basis Methods for Partial Differential Equations: An Introduction; Springer International Publishing: Cham, Switzerland, 2015; pp. 115–242. [Google Scholar]
- Chaturantabut, S.; Sorensen, D.C. Nonlinear model reduction via discrete empirical interpolation. SIAM J. Sci. Comput. 2010, 32, 2737–2764. [Google Scholar] [CrossRef]
- Buffoni, M.; Willcox, K. Projection-based model reduction for reacting flows. In Proceedings of the 40th Fluid Dynamics Conference and Exhibit, Chicago, IL, USA, 28 June–1 July 2010; American Institute of Aeronautics and Astronautics: Reston, VA, USA, 2012. [Google Scholar] [CrossRef]
- Qian, E.Y. A Scientific Machine Learning Approach to Learning Reduced Models for Nonlinear Partial Differential Equations; Massachusetts Institute of Technology: Cambridge, MA, USA, 2021; pp. 17–164. Available online: http://dspace.mit.edu/handle/1721.1/7582 (accessed on 1 February 2021).
- Peherstorfer, B.; Willcox, K. Dynamic data-driven reduced-order models. Comput. Methods Appl. Mech. Eng. 2015, 291, 21–41. [Google Scholar] [CrossRef]
- Uy, W.I.T.; Peherstorfer, B. Operator inference of non-Markovian terms for learning reduced models from partially observed state trajectories. J. Sci. Comput. 2021, 88, 91. [Google Scholar] [CrossRef]
- Brunton, S.L.; Kutz, J.N. Data-Driven Science and Engineering: Machine Learning, Dynamical Systems, and Control; Cambridge University Press: Cambridge, UK, 2019; pp. 438–504. [Google Scholar]
- Bhatti, M.I. Plane Wave Solutions of a Quantum Fractional Schrödinger Equation and Uncertainty Principle. Curr. Sci. 2017, 6, 707–709. [Google Scholar]
- Qian, E.; Peherstorfer, B.; O’Malley, D.; Willcox, K. Multi-fidelity Monte Carlo estimation of variance and sensitivity indices. SIAM/ASA J. Uncertain. Quantif. 2018, 6, 683–706. [Google Scholar] [CrossRef]
- Homma, T.; Saltelli, A. Importance measures in global sensitivity analysis of nonlinear models. Reliab. Eng. Syst. Saf. 1996, 52, 1–17. [Google Scholar] [CrossRef]
- Kucherenko, S.; Delpuech, B.; Iooss, B.; Tarantola, S. Application of the control variate technique to estimation of total sensitivity indices. Reliab. Eng. Syst. Saf. 2015, 134, 251–259. [Google Scholar] [CrossRef]
- Jornet, M. Uncertainty quantification for the random viscous Burgers’ partial differential equation by using the differential transform method. Nonlinear Anal. 2021, 209, 112340. [Google Scholar] [CrossRef]









| Models | |||
| High-fidelity (FD) | 1 | 480 | 204 |
| Low-fidelity (POD + DEIM) | 0.2082 | 3 | 698 |
| Models | ||
| High-fidelity (FD) | 1 | 214.1663 |
| Low-fidelity (POD + DEIM) | 0.9989 | 214.3100 |
| Models | 100 Samples | 500 Samples | 1000 Samples |
|---|---|---|---|
| High-fidelity (FD) | 1.0000 | 1.0000 | 1.0000 |
| Low-fidelity (POD + DEIM) | 0.1904 | 0.1968 | 0.2082 |
| Models | 100 Samples | 500 Samples | 1000 Samples |
|---|---|---|---|
| High-fidelity (FD) | 212.3323 | 218.7528 | 232.9878 |
| Low-fidelity (POD + DEIM) | 317.5544 | 336.1835 | 337.2713 |
| Ratios | 0.6686 | 0.6507 | 0.6908 |
| Models | |||
|---|---|---|---|
| High-fidelity (FD) | 1 | 385 | 2597 |
| Low-fidelity (DEIM) | 0.0233 | 0.001 | 8475 |
| Low-fidelity (OR + DEIM) | 0.0221 | 11,784 |
Publisher’s Note: MDPI stays neutral with regard to jurisdictional claims in published maps and institutional affiliations. |
© 2022 by the authors. Licensee MDPI, Basel, Switzerland. This article is an open access article distributed under the terms and conditions of the Creative Commons Attribution (CC BY) license (https://creativecommons.org/licenses/by/4.0/).
Share and Cite
Du, W.; Su, J. Uncertainty Quantification for Numerical Solutions of the Nonlinear Partial Differential Equations by Using the Multi-Fidelity Monte Carlo Method. Appl. Sci. 2022, 12, 7045. https://doi.org/10.3390/app12147045
Du W, Su J. Uncertainty Quantification for Numerical Solutions of the Nonlinear Partial Differential Equations by Using the Multi-Fidelity Monte Carlo Method. Applied Sciences. 2022; 12(14):7045. https://doi.org/10.3390/app12147045
Chicago/Turabian StyleDu, Wenting, and Jin Su. 2022. "Uncertainty Quantification for Numerical Solutions of the Nonlinear Partial Differential Equations by Using the Multi-Fidelity Monte Carlo Method" Applied Sciences 12, no. 14: 7045. https://doi.org/10.3390/app12147045
APA StyleDu, W., & Su, J. (2022). Uncertainty Quantification for Numerical Solutions of the Nonlinear Partial Differential Equations by Using the Multi-Fidelity Monte Carlo Method. Applied Sciences, 12(14), 7045. https://doi.org/10.3390/app12147045
