Dynamic Response of a Heavy-Haul Railway Tunnel’s Bottom Structures in Hard Rock
Abstract
:1. Introduction
2. Mechanical Characteristics of the Heavy-Haul Railway Tunnel Base
2.1. Engineering Background
2.2. Numerical Model
2.3. Train Parameters
2.4. Mechanical Parameters
2.5. Feature Points and Feature Lines
2.6. Model Verification
3. Dynamic Response under Train Load Only
3.1. Maximum Principal Stress
3.2. Minimum Principal Stress
3.3. Vertical Displacement
4. Dynamic Response under Surrounding Rock Pressure and Train Load
4.1. Maximum Principal Stress of Tunnel Structure
4.2. Minimum Principal Stress of Tunnel Structure
4.3. Maximum Principal Stress of Base Rock
4.4. Minimum Principal Stress of Base Rock
4.5. Vertical Displacement
5. Discussion
- The elastic–plastic damage model of the surrounding rock and concrete structure can be introduced into a later numerical analysis to study.
 - The infinite element boundary can be used to completely eliminate the boundary effect.
 - Defects and irregularities on the rail surface should be considered in a further study.
 - Combined with the numerical simulation results, the progressive damage of the tunnel bottom structure and surrounding rock should be further studied through a fatigue test.
 
6. Conclusions
- Like soft-rock tunnels, the bottom structure below the rail and side drain are the two main vulnerable positions of the hard-rock tunnel. The maximum principal stress caused by the static rock pressure was 1.27 MPa, which emerged in the lower part of the side drain. The maximum principal stress amplitude caused by the dynamic train load was 129.3 kPa, which emerged right below the rail.
 - In hard-rock tunnels, the probability of basement disease under the rail may be higher than that in soft-rock tunnels due to its greater dynamic response and thinner structure as compared to a soft-rock tunnel.
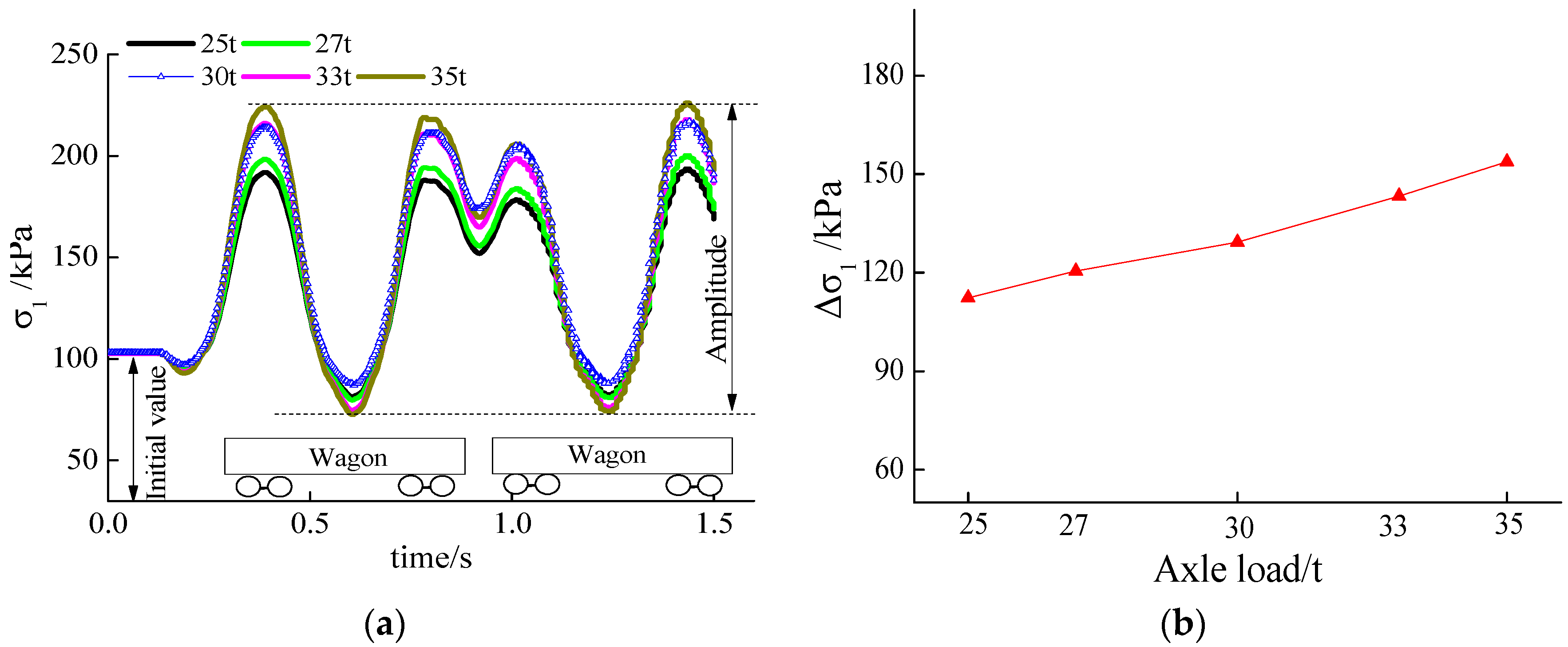
 - When the axle load increased by 1 t, the dynamic amplitude of the structure’s maximum and minimum principal stresses increased by about 4.14 kPa and 7.50 kPa, and the base rock’s maximum and minimum principal stresses increased by about 1.33 kPa and 3.61 kPa.
 - When considering the rock pressure, the dynamic response of the tunnel bottom structure and base rock were all greater than that without considering the rock pressure. The maximum principal stress amplitudes of the tunnel structure and base rock increased by 28.4% and 56.4%, respectively.
 
Author Contributions
Funding
Institutional Review Board Statement
Informed Consent Statement
Data Availability Statement
Conflicts of Interest
References
- Tian, B. Operation and development of railway heavy haul transport technology in the world. Roll. Stock 2015, 12, 10–19. [Google Scholar]
 - Hu, Y. Current status and development trend of technology system for railway heavy haul transport in China. Chin. Railw. Sci. 2015, 36, 1–10. (In Chinese) [Google Scholar]
 - Tian, Y. The Base Treatment Process with Grouting Resin in Datong-Qinhuangdao Railway Tunnels. In Paper Collection of Heavy Haul Railway Transportation Technical Exchange; China Railway Society: Beijing, China, 2014; pp. 363–367. (In Chinese) [Google Scholar]
 - Yin, C.; Fu, B.; Ma, W. Analysis on dynamic stress of tunnel structure under heavy haul train. China Railw. Sci. 2013, 34, 47–52. [Google Scholar]
 - Li, Z.; Chen, K.; Li, Z.; Huang, W.; Wang, X. Deterioration and cavity of surrounding rocks at the bottom of tunnel under the combined action of heavy-haul load and groundwater: An experimental study. Front. Earth. Sci. 2021, 9, 779578. [Google Scholar] [CrossRef]
 - Niu, Y. The Heavy Haul Railway Tunnel Diseases Mechanism and Remediation Technology Research. Master’s Thesis, China Academy of Railway Sciences, Beijing, China, 2013. (In Chinese). [Google Scholar]
 - Lazorenko, G.; Kasprzhitskii, A.; Khakiev, Z.; Yavna, V. Dynamic behavior and stability of soil foundation in heavy haul railway tracks: A review. Constr. Build. Mater. 2019, 205, 111–136. [Google Scholar] [CrossRef]
 - Cai, X.; Zhong, Y.; Hao, X.; Zhang, Y.; Cui, R.X. Dynamic behavior of a polyurethane foam solidified ballasted track in a heavy haul railway tunnel. Adv. Struct. Eng. 2019, 22, 751–764. [Google Scholar] [CrossRef]
 - Liu, C.; Wu, B.; Li, R.; Wang, F.; Tang, Q. Fatigue test on heavy haul railway tunnel bottom structure with base cavity. Front. Earth. Sci. 2022, 10, 870710. [Google Scholar] [CrossRef]
 - Bickel, J.; Kuesel, T.; King, E. Tunnel Engineering Handbook; Springer US: New York, NY, USA, 1996. [Google Scholar]
 - Peng, L.; Shi, C. Tunnel Engineering; Central South University Press: Changsha, China, 2017. [Google Scholar]
 - Feng, J.; Qiu, W.; Wang, Y.; Wang, H. Study of defect distribution regularity in existing tunnels and the classification of tunnel environments. Mod. Tunn. Technol. 2013, 50, 35–41. [Google Scholar]
 - Shi, P.; Li, P. Mechanism of soft ground tunnel defect generation and functional degradation. Tunn. Undergr. Space Technol. 2015, 50, 334–344. [Google Scholar] [CrossRef] [Green Version]
 - Zheng, B.; Zhang, J.; Xue, J.; Ji, H. Technology Research of Disease Treatment about Solid Track Bed and Foundation Base of Enriched Water Tunnel. J. Railw. Eng. Soc. 2015, 32, 110–114. [Google Scholar]
 - Bao, X.; Xia, Z.; Ye, G.; Fu, Y.; Su, D. Numerical analysis on the seismic behavior of a large metro subway tunnel in liquefiable ground. Tunn. Undergr. Space Technol. 2017, 66, 91–106. [Google Scholar] [CrossRef]
 - Hamrouni, A.; Sbartai, B.; Dias, D. Ultimate dynamic bearing capacity of shallow strip foundations—Reliability analysis using the response surface methodology. Soil Dyn. Earthq. Eng. 2021, 144, 106690. [Google Scholar] [CrossRef]
 - Maleska, T.; Beben, D.; Nowacka, J. Seismic vulnerability of a soil-steel composite tunnel—Norway Tolpinrud Railway Tunnel Case Study. Tunn. Undergr. Space Technol. 2021, 110, 103808. [Google Scholar] [CrossRef]
 - Chai, J. Research on dynamic response characteristics for basement structure of heavy haul railway tunnel with defects. Mathematics 2021, 9, 2893. [Google Scholar] [CrossRef]
 - Wang, A.; Shi, C.; Zhao, C.; Deng, E.; Yang, W.; He, H. Response Characteristics of Cross Tunnel Lining under Dynamic Train Load. Appl. Sci. 2020, 10, 4406. [Google Scholar] [CrossRef]
 - Edirisinghe, T.; Talbot, J. A parametric study of the train-induced vibration of a single pile near an underground railway tunnel. Soil Dyn. Earthq. Eng. 2022, 158, 107274. [Google Scholar] [CrossRef]
 - Maleska, T.; Nowacka, J.; Beben, D. Application of EPS Geofoam to a Soil–Steel Bridge to Reduce Seismic Excitations. Geosciences 2019, 9, 9400448. [Google Scholar] [CrossRef] [Green Version]
 - Mahgoub, A.; El Naggar, H. Seismic design of metal arch culverts: Design codes vs. full dynamic analysis. J. Earthq. Eng. 2019, 25, 2231–2268. [Google Scholar] [CrossRef]
 - Osama, A.; El Naggar, H.; Newson, T. Seismic soil-culvert interaction. Can. Geotech. J. 2015, 52, 1649–1667. [Google Scholar]
 - Do, N.A.; Dias, D.; Oreste, P.; Djeran-Maigre, I. Behaviour of segmental tunnel linings under seismic loads studied with the hyperstatic reaction method. Soil Dyn. Earthq. Eng. 2015, 79, 108–117. [Google Scholar] [CrossRef]
 - Peng, L.; Qin, C.; Shi, C.; Huang, L. Field test study on the disease treatment of foundation base in railway tunnel. China Railw. Sci. 2005, 2, 42–46. [Google Scholar]
 - Ma, W.; Chai, J.; Zhu, Z.; Han, Z.; Ma, C.; Li, Y.; Zhu, Z.; Liu, Z.; Niu, Y.; Ma, Z.; et al. Research on Vibration Law of Railway Tunnel Substructure under Different Axle Loads and Health Conditions. Shock Vib. 2021, 2021, 9954098. [Google Scholar] [CrossRef]
 - Li, Z.; Wang, M.; Yu, L.; Zhao, Y. Study of the basement structure load under the dynamic loading of heavy-haul railway tunnel. Int. J. Pavement Eng. 2018, 21, 1362–1373. [Google Scholar] [CrossRef]
 - Li, Z.; Li, Z.; Cai, R.; Hua, Y.; Wang, L.; Gu, D. Refined model analysis of basement rock degradation mechanism of heavy-haul railway tunnel. Undergr. Space 2020, 6, 342–352. [Google Scholar] [CrossRef]
 - Kim, N.; Park, D.; Jung, H.; Kim, M. Deformation characteristics of tunnel bottom after construction under geological conditions of long-term deformation. Geomech. Eng. 2020, 21, 171–178. [Google Scholar]
 - Liu, N.; Peng, L.; Shi, C.; Lei, M. Experimental and model study on dynamic behaviour and fatigue damage of tunnel invert. Constr. Build. Mater. 2016, 126, 777–784. [Google Scholar] [CrossRef]
 - Liu, C.; Peng, L.; Lei, M.; Shi, C.; Liu, N. Fatigue Performance of Tunnel Invert in Newly Designed Heavy Haul Railway Tunnel. Appl. Sci. 2019, 9, 5514. [Google Scholar] [CrossRef] [Green Version]
 - Liu, C.; Lei, M.-F.; Peng, L.-M.; Shi, C.-H. Cavity influence on fatigue performance of heavy haul railway Tunnel’s bottom structure. Constr. Build. Mater. 2020, 251, 118886. [Google Scholar] [CrossRef]
 - Xue, J. Analysis of the influence of tunnel bottom compactness on structure stress and strengthening measures under 30 t axle load train. China Railw. Sci. 2015, 36, 90–95. (In Chinese) [Google Scholar]
 - Zhang, Z.; Zeng, B.; Dai, C.; He, W. Study on Structural Service Performance of Heavy-Haul Railway Tunnel with Voided Base. Adv. Civ. Eng. 2018, 2018, 3510979. [Google Scholar] [CrossRef]
 - Dong, J.; Zhong, S.; Wang, H.; Wu, Z.H. Dynamic Response Characteristics of Crossing Tunnels under Heavy-Haul Train Loads. Geomech. Eng. 2020, 20, 103–112. [Google Scholar]
 - Hernandez, Y.; Farfan, A.; De Assis, A. Three-dimensional analysis of excavation face stability of shallow tunnels. Tunn. Undergr. Space Technol. 2019, 92, 103062. [Google Scholar] [CrossRef]
 - Chappell, B. Deformational response in discontinua. Int. J. Rock Mech. Sci. Geomech. 1979, 4, 377–390. [Google Scholar] [CrossRef]
 - Yang, X.; Huang, F. Collapse mechanism of shallow tunnel based on nonlinear Hoek-Brown failure criterion. Tunn. Undergr. Space Technol. 2011, 26, 686–691. [Google Scholar] [CrossRef]
 - Yang, X.; Wang, J. Ground movement prediction for tunnels using simplified procedure. Tunn. Undergr. Space Technol. 2011, 26, 462–471. [Google Scholar] [CrossRef]
 - Anato, N.; Assogba, O.; Tang, A.; Youssouf, D. Numerical investigation of seismic isolation layer performance for tunnel lining in shanghai soft ground. Arab. J. Sci Eng. 2021, 46, 11355–11372. [Google Scholar] [CrossRef]
 - Liu, C.; Peng, L.; Lei, M.; Li, Y. Research on crossing tunnels’ seismic response characteristics. KSCE. J. Civ. Eng. 2019, 23, 4910–4920. [Google Scholar] [CrossRef]
 - Abate, G.; Massimino, M. Parametric analysis of the seismic response of coupled tunnel–soil–aboveground building systems by numerical modelling. Bull. Earthq. Eng. 2016, 15, 443–467. [Google Scholar] [CrossRef]
 - Abate, G.; Grasso, S.; Massimino, M. The role of shear wave velocity and non-linearity of soil in the seismic response of a coupled tunnel-soil-above ground building system. Geosciences 2019, 9, 473. [Google Scholar] [CrossRef] [Green Version]
 - Knothe, K.; Grassie, S. Modelling of railway track and vehicle/track interaction at high frequencies. Veh. Syst. Dyn. 1993, 22, 209–262. [Google Scholar] [CrossRef]
 - Zhai, W.; Xia, H. Train-Track-Bridge of Train Track Bridge Dynamic Interaction: Theory and Engineering Application; Science Press: Beijing, China, 2011. [Google Scholar]
 - Ghangale, D.; Arcos, R.; Clot, A.; Cayero, J.; Romeu, J. A methodology based on 2.5D FEM-BEM for the evaluation of the vibration energy flow radiated by underground railway infrastructures. Tunn. Undergr. Space Technol. 2020, 101, 103392. [Google Scholar] [CrossRef]
 - TB 10003-2016; Code for Design of Railway Tunnel. China Railway Publishing House: Beijing, China, 2016. (In Chinese)
 - Liu, C.; Peng, L.M.; Lei, M.F.; Shi, C.H. Adaptability and strengthening research of 30 t axle heavy haul railway tunnel in the new loess area. J. Railw. Sci. Eng. 2016, 13, 730–739. (In Chinese) [Google Scholar]
 - Ma, W.B.; Chai, J.F.; Han, Z.L.; Ma, Z.G.; Guo, X.X.; Zou, W.H.; Li, T.F.; Niu, Y.B. Research on Design Parameters and Fatigue Life of Tunnel Bottom Structure of Single-Track Ballasted Heavy-Haul Railway Tunnel with 40-Ton Axle Load. Math. Probl. Eng. 2020, 2020, 3181480. [Google Scholar] [CrossRef]
 - Faherty, R.; Acikgoz, S.; Wong, E.; Hewitt, P.; Viggiani, G. Tunnel-soil-structure interaction mechanisms in a metallic arch bridge. Tunn. Undergr. Space Technol. 2022, 123, 104429. [Google Scholar] [CrossRef]
 - Yu, J.; Wang, Z. The dynamic interaction of the soil-tunnel-building system under seismic waves. Soil Dyn. Earthq. Eng. 2021, 144, 106686. [Google Scholar] [CrossRef]
 - Hua, N.; Tessari, A.; Khorasani, N. The effect of geologic conditions on the fire behavior of tunnels considering soil-structure interaction. Tunn. Undergr. Space Technol. 2022, 122, 104380. [Google Scholar] [CrossRef]
 - Wu, H.; Shen, S.; Yang, J.; Zhou, A. Soil-tunnel interaction modelling for shield tunnels considering shearing dislocation in longitudinal joints. Tunn. Undergr. Space Technol. 2018, 78, 168–177. [Google Scholar] [CrossRef]
 
























| Position | Stiffness Coefficient (MN/m) | Damping (kN·s/m) | ||
|---|---|---|---|---|
| kx | ky | kz | cz | |
| Primary suspension | 6.0 | 10.0 | 35.0 | 5.0 | 
| Secondary suspension | 5.3 | 5.3 | 6.6 | 5.0 | 
| Rail–Sleeper | 30.0 | 100.0 | 30.0 | 35.0 | 
| Material | Density (ρ/kg/m3) | Elastic Modulus E (GPa)  | Poisson Ratio μ | Tensile Strength ft (MPa)  | Compressive Strength fc (MPa)  | 
| Lining (C15) | 26 | 3.5 | 0.2 | 1.27 | 10.0 | 
| Tunnel base (C10) | 24 | 3.15 | 0.2 | 1.02 | 6.70 | 
| Sleeper (C50) | 27.5 | 33.5 | 0.2 | 1.78 | 16.7 | 
| Rail and train | 78 | 210 | 0.3 | 210 | 210 | 
| Material | Density (ρ/kg/m3) | Elastic Modulus E (GPa)  | Poisson Ratio μ | Cohesion c (kPa)  | Internal Friction Angle 𝜑 (°)  | 
| Surrounding rock | 21.0 | 1.5 | 0.29 | 200 | 30 | 
| Ballast bed | 20 | 0.18 | 0.35 | 15 | 18 | 
Publisher’s Note: MDPI stays neutral with regard to jurisdictional claims in published maps and institutional affiliations.  | 
© 2022 by the authors. Licensee MDPI, Basel, Switzerland. This article is an open access article distributed under the terms and conditions of the Creative Commons Attribution (CC BY) license (https://creativecommons.org/licenses/by/4.0/).
Share and Cite
Liu, C.; Tang, Q.; Wu, B.; Wan, Q.; Ye, Y. Dynamic Response of a Heavy-Haul Railway Tunnel’s Bottom Structures in Hard Rock. Appl. Sci. 2022, 12, 5721. https://doi.org/10.3390/app12115721
Liu C, Tang Q, Wu B, Wan Q, Ye Y. Dynamic Response of a Heavy-Haul Railway Tunnel’s Bottom Structures in Hard Rock. Applied Sciences. 2022; 12(11):5721. https://doi.org/10.3390/app12115721
Chicago/Turabian StyleLiu, Cong, Qianlong Tang, Bo Wu, Qiang Wan, and Yisheng Ye. 2022. "Dynamic Response of a Heavy-Haul Railway Tunnel’s Bottom Structures in Hard Rock" Applied Sciences 12, no. 11: 5721. https://doi.org/10.3390/app12115721
APA StyleLiu, C., Tang, Q., Wu, B., Wan, Q., & Ye, Y. (2022). Dynamic Response of a Heavy-Haul Railway Tunnel’s Bottom Structures in Hard Rock. Applied Sciences, 12(11), 5721. https://doi.org/10.3390/app12115721
        
                                                