Effects of Sibling Eggs Contact on Incubation Length and Hatching Synchrony in Red-Legged Partridge (Alectoris rufa)
Abstract
1. Introduction
2. Materials and Methods
2.1. Birds, Husbandry, and Sample Gathering
2.2. Experimental Design
2.3. Egg Incubation
2.4. Data Recorded
2.5. Statistical Analyses
3. Results and Discussion
4. Conclusions
Author Contributions
Funding
Institutional Review Board Statement
Informed Consent Statement
Data Availability Statement
Acknowledgments
Conflicts of Interest
References
- Riesco, G. Especies Cinegéticas. Instalaciones Para la Cría y Repoblación; Mundi-Prensa: Madrid, Spain, 2013. [Google Scholar]
- Sánchez-GaAbad, C.; Alonso, M.E.; Prieto, R.; Eguren, V.; Gaudioso, V. Una visión sobre la avicultura para la producción de caza en España. ITEA-Inf. Tec. Econ. Ag. 2009, 105, 169–183. [Google Scholar]
- González-Redondo, P.; Delgado-Pertiñez, M.; Toribio, S.; Ruiz, F.A.; Mena, Y.; Caravaca, F.P.; Castel, J.M. Characterisation and typification of the red-legged partridge (Alectoris rufa) game farms in Spain. Span. J. Agric. Res. 2010, 8, 624–633. [Google Scholar] [CrossRef]
- Ministerio de Agricultura, Pesca y Alimentación. El Sector de la Avicultura de Carne en Cifras. Principales Indicadores Económicos. 2020. Available online: https://www.mapa.gob.es/es/ganaderia/temas/produccion-y-mercados-ganaderos/indicadoreseconomicossectoravicoladecarne2020_parapublicar_tcm30-419674.pdf (accessed on 1 April 2022).
- Díaz-Fernández, S.; Viñuela, J.; Arroyo, B. Harvest of red-legged partridge in central Spain. J. Wildl. Manag. 2012, 76, 1354–1363. [Google Scholar] [CrossRef] [PubMed]
- Garcia-Hierro, J.; Barreiro, P.; Moya-Gonzalez, A.; Robla, J.I. Prospectives of monitoring biological activity in a red-legged partridge incubator with a carbon dioxide probe. Agric. Eng. Int. CIGR J. 2016, 18, 353–362. [Google Scholar]
- González-Redondo, P. Effect of long-term storage on the hatchability of red-legged partridge (Alectoris rufa) eggs. Poult. Sci. 2010, 89, 379–383. [Google Scholar] [CrossRef]
- González-Redondo, P.; Gutiérrez-Escobar, R.; Díaz-Merino, R.; Panea-Tejera, P.; Martínez-Domínguez, A.R. Duración de la incubación artificial en perdiz roja (Alectoris rufa). ITEA-Inf. Tec. Econ. Ag. 2012, 108, 289–297. [Google Scholar]
- Gómez-de-Travecedo, P.; Caravaca, F.P.; González-Redondo, P. Effects of pre-storage incubation of red-legged partridge (Alectoris rufa) eggs on hatchability and incubation length. Int. J. Agric. Biol. 2014, 16, 513–520. [Google Scholar]
- Gómez-de-Travecedo, P.; Caravaca, F.P.; González-Redondo, P. Effects of the time to change from incubation to hatching temperature on the artificial incubation of red-legged partridge (Alectoris rufa) eggs. Span. J. Agric. Res. 2014, 12, 727–731. [Google Scholar] [CrossRef]
- González-Redondo, P.; Díaz-Merino, R. Comparison of three temperatures for the hatching phase in the artificial incubation of red-legged partridge (Alectoris rufa) eggs. Braz. J. Poult. Sci. 2016, 18, 57–62. [Google Scholar] [CrossRef][Green Version]
- González-Redondo, P.; Martínez-Domínguez, A.R. Comparison of several turning frequencies during the storage period of red-legged partridge (Alectoris rufa) hatching eggs. Braz. J. Poult. Sci. 2019, 21, eRBCA-2018-0882. [Google Scholar] [CrossRef]
- Ballesteros, F. Las Especies de Caza en España. Biología, Ecología y Conservación; Estudio y Gestión del Medio: Oviedo, Spain, 1998; pp. 138–148. [Google Scholar]
- Orcutt, A.B. Sounds produced by hatching Japanese quail (Coturnix coturnix japonica) as potential aids to synchronous hatching. Behaviour 1974, 50, 173–184. [Google Scholar] [CrossRef] [PubMed]
- Persson, I.; Andersson, G. Intraclutch hatch synchronization in pheasants and mallard ducks. Ethology 1999, 195, 1087–1096. [Google Scholar] [CrossRef]
- Setién, M. Producción cinegética: Granjas de perdices. In Manual de Ordenación y Gestión Cinegética; Fuentes, A., Sánchez, I., Pajuelo, L., Eds.; IFEBA (Institución Ferial de Badajoz): Badajoz, Spain, 1991; pp. 133–152. [Google Scholar]
- Çağlayan, T.; Alaşahan, S.; Kırıkçı, K.; Günlü, A. Effect of different egg storage periods on some egg quality characteristics and hatchability of partridges (Alectoris graeca). Poult. Sci. 2009, 88, 1330–1333. [Google Scholar] [CrossRef] [PubMed]
- Reyna, K.S. Thermal Stress during Pre-Incubation Induces Subsequent Developmental Plasticity in Northern Bobwhites. Ph.D. Thesis, University of North Texas, Denton, TX, USA, 2010. [Google Scholar]
- Ernst, R.A.; Bradley, F.A.; Abbott, U.K.; Craig, R.M. Egg Candling and Breakout Analysis. ANR Publication 8134. 2004. Available online: http://anrcatalog.ucdavis.edu/pdf/8134.pdf (accessed on 6 December 2021).
- Juárez-Caratachea, A.; Ortiz, M.A. Estudio de la incubabilidad y crianza de aves criollas de traspatio. Vet. Méx. 2001, 32, 27–32. [Google Scholar]
- Kaps, M.; Lamberson, W.R. Biostatistics for Animal Science, 3rd ed.; CABI: Wallingford, UK, 2017. [Google Scholar]
- SPSS Inc. Manual del Usuario de SPSS Base 15.0; SPSS Inc.: Chicago, IL, USA, 2006. [Google Scholar]
- Bagliacca, M.; Mori, B.; Gualterio, L. Egg laying under artificial photoregulation in the red partridge. In Proceedings of the 18th World’s Poultry Congress, Nagoya, Japan, 4–9 September 1988; pp. 657–659. [Google Scholar]
- Paci, G.; Marzoni, M.; Benvenuti, N.; Bagliacca, M. Breeding technology of red partridges: Colonies or couples. In Proceedings of the 19th World’s Poultry Congress, Amsterdam, The Netherlands, 19–24 September 1992; Volume 3, pp. 351–352. [Google Scholar]
- Mourão, J.L.; Barbosa, A.C.; Outor-Monteiro, D.; Pinheiro, V.M. Age affects the laying performance and egg hatchability of red-legged partridges (Alectoris rufa) in captivity. Poult. Sci. 2010, 89, 2494–2498. [Google Scholar] [CrossRef]
- Gaudioso, V.R.; Alonso, M.E.; Robles, R.; Garrido, J.A.; Olmedo, J.A. Effects of housing type and breeding system on the reproductive capacity of the red-legged partridge (Alectoris rufa). Poult. Sci. 2002, 81, 169–172. [Google Scholar] [CrossRef]
- Mori, B.; Bagliacca, M.; Chiarcossi, M.; Romboli, I. Performances riproduttive della pernice rossa allevata in Liguria. Riv. Avic. 1985, 54, 27–32. [Google Scholar]
- Proudfoot, F.G. Effects of variable incubating temperatures, number, and proximity of eggs during hatching on the hatchability of chicken eggs. Can. J. Anim. Sci. 1972, 52, 459–464. [Google Scholar] [CrossRef]
- Proudfoot, F.G. Effects of genotype and storage time on hatchability when chicken eggs are in contact or separated during hatching. Can. J. Anim. Sci. 1974, 54, 713–714. [Google Scholar] [CrossRef]
- Pani, P.K.; Coleman, T.H.; Georgis, H.D.; Kulenkamp, A.W. Between family synchronization of hatching time in Bobwhite quail. Poult. Sci. 1969, 48, 665–667. [Google Scholar] [CrossRef]
- Beer, J.; Jenkinson, G. The storage of red-legged partridge eggs. A suggestion for trials. Game Conserv. Annu. Rev. 1981, 12, 80–82. [Google Scholar]
- Kirikçi, K.; Deeming, D.C.; Günlü, A. Effects of egg mass and percentage mass loss during incubation on hatchability of eggs of the rock partridge. Br. Poult. Sci. 2004, 45, 380–384. [Google Scholar] [CrossRef] [PubMed]
- Tilki, M.; Saatci, M. Effects of storage time on external and internal characteristics in partridge (Alectoris graeca) eggs. Rev. Med. Vet. 2004, 155, 561–564. [Google Scholar]
- García-Martín, E.; Dalmau, A. Reproducción de la perdiz roja y la codorniz. In Reproducción e Incubación en Avicultura; Abad, J.C., Castelló, J.A., Carbajo, E., Casanovas, P., Eds.; Real Escuela de Avicultura: Arenys de Mar, Spain, 2003; pp. 457–495. [Google Scholar]
- Vince, M.A.; Cheng, R. The retardation of hatching in Japanese quail. Anim. Behav. 1970, 18, 210–214. [Google Scholar] [CrossRef]
- Vince, M.A. Effect of rate of simulation on hatching time in Japanese quail. Brit. Poult. Sci. 1968, 9, 87–91. [Google Scholar] [CrossRef] [PubMed]
- Davies, J.C.; Cooke, F. Intraclutch hatch synchronization in the lesser snow goose. Can. J. Zool. 1983, 61, 1398–1401. [Google Scholar] [CrossRef]
- Bjärvall, A. The hatching and nest-exodus behavior in mallard. Wildfowl 1968, 19, 70–80. [Google Scholar]
- Potts, G. The effects of modern agriculture, nest predation and game management on the population ecology of partridges (Perdix perdix and Alectoris rufa). Adv. Ecol. Res. 1980, 11, 1–79. [Google Scholar]

| Sibling Contact Regime | Number of Eggs | Fertility 1 (%) | Hatchability 2 (%) | Hatchability of the Fertile Eggs 3 (%) | ||
|---|---|---|---|---|---|---|
| Incubated | Fertile | Hatched | ||||
| Without contact | 49 | 43 | 34 | 87.8 | 69.4 | 79.1 |
| Contact during incubation phase (1–20 days) | 49 | 43 | 33 | 87.8 | 67.3 | 76.7 |
| Contact during hatching phase (21 days–hatching) | 49 | 45 | 36 | 91.8 | 73.5 | 80.0 |
| Permanent contact (1 day–hatching) | 49 | 45 | 35 | 91.8 | 71.4 | 77.8 |
| Total | 196 | 176 | 138 | 89.8 | 70.4 | 78.4 |
| p-Value | 0.828 | 0.921 | 0.984 | |||
| Sibling Contact Regime | Fertile Eggs (n) | Development Stage at Embryonic Mortality 1 (% of Fertile Eggs) | |||||
|---|---|---|---|---|---|---|---|
| FND | PD | EEM | LEM | P | Total | ||
| Without contact | 43 | 2.3 | 0.0 | 2.3 | 9.3 | 7.0 | 20.9 |
| Contact during incubation phase (1–20 days) | 43 | 0.0 | 9.3 | 4.7 | 4.7 | 4.7 | 23.4 |
| Contact during hatching phase (21 days–hatching) | 45 | 0.0 | 2.2 | 2.2 | 8.9 | 6.7 | 20.0 |
| Permanent contact (1 day–hatching) | 45 | 0.0 | 4.4 | 6.7 | 4.4 | 6.7 | 22.2 |
| Total | 176 | 0.6 | 4.0 | 4.0 | 6.8 | 6.3 | 21.7 |
| SEM | 0.6 | 1.5 | 1.5 | 1.9 | 1.8 | 3.1 | |
| p-Value | 0.378 | 0.149 | 0.667 | 0.698 | 0.969 | 0.984 | |
| Sibling Contact Regime | Fertile Eggs (n) | Initial Weight (g) | Weight at 20 Days of Incubation (g) | Weight Loss at 20 Days of Incubation (%) |
|---|---|---|---|---|
| Without contact | 43 | 19.5 | 17.5 | 10.5 |
| Contact during incubation phase (1–20 days) | 43 | 18.8 | 16.8 | 10.3 |
| Contact during hatching phase (21 days–hatching) | 45 | 19.1 | 17.5 | 7.3 |
| Permanent contact (1 day–hatching) | 45 | 19.3 | 17.3 | 10.1 |
| Total | 176 | 19.2 | 17.3 | 9.5 |
| SEM | 0.13 | 0.13 | 0.61 | |
| p-Value | 0.206 | 0.197 | 0.187 |
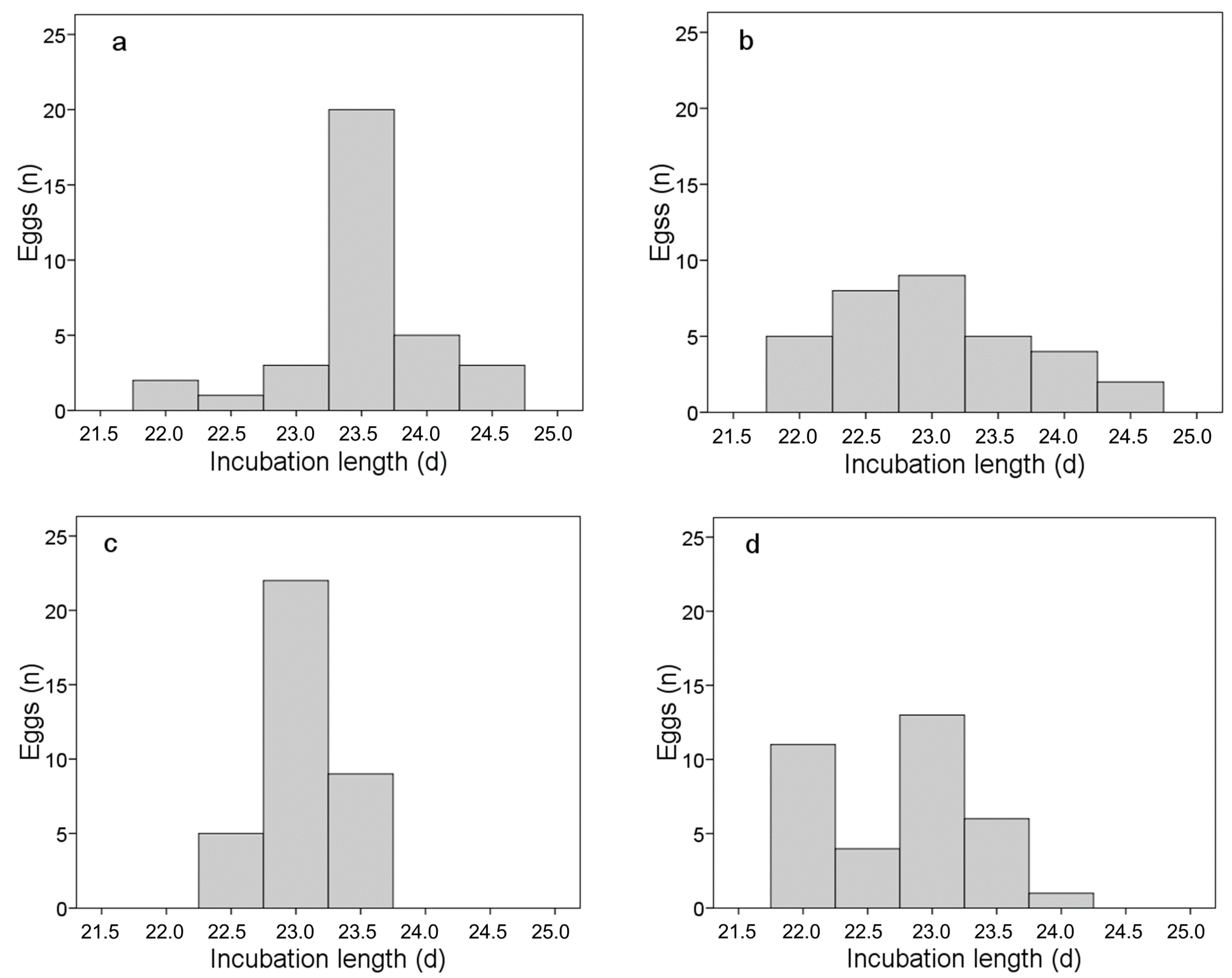
| Sibling Contact Regime | Hatched Eggs (n) | Incubation Length (Days) | ||||||
|---|---|---|---|---|---|---|---|---|
| Mean | Variance | CV (%) | Skewness (g1) | Kurtosis (g2) | Min | Max | ||
| Without contact | 34 | 23.50 a | 0.318 C | 2.40 | −0.807 | 1.958 | 22.00 | 24.50 |
| Contact during incubation phase (1–20 days) | 33 | 23.02 b,c | 0.523 A | 3.14 | 0.406 | −0.599 | 22.00 | 24.50 |
| Contact during hatching phase (21 days–hatching) | 36 | 23.06 b | 0.097 D | 1.35 | −0.071 | −0.281 | 22.50 | 23.50 |
| Permanent contact (1 day–hatching) | 35 | 22.74 c | 0.358 B | 2.63 | 0.036 | −1.129 | 22.00 | 24.00 |
| Total | 138 | 23.08 | 0.387 | 2.69 | −0.016 | −0.246 | 22.00 | 24.50 |
| p-Value | <0.001 | <0.01 | ||||||
Publisher’s Note: MDPI stays neutral with regard to jurisdictional claims in published maps and institutional affiliations. |
© 2022 by the authors. Licensee MDPI, Basel, Switzerland. This article is an open access article distributed under the terms and conditions of the Creative Commons Attribution (CC BY) license (https://creativecommons.org/licenses/by/4.0/).
Share and Cite
González-Redondo, P.; Quesada-Pérez, F. Effects of Sibling Eggs Contact on Incubation Length and Hatching Synchrony in Red-Legged Partridge (Alectoris rufa). Appl. Sci. 2022, 12, 5586. https://doi.org/10.3390/app12115586
González-Redondo P, Quesada-Pérez F. Effects of Sibling Eggs Contact on Incubation Length and Hatching Synchrony in Red-Legged Partridge (Alectoris rufa). Applied Sciences. 2022; 12(11):5586. https://doi.org/10.3390/app12115586
Chicago/Turabian StyleGonzález-Redondo, Pedro, and Fátima Quesada-Pérez. 2022. "Effects of Sibling Eggs Contact on Incubation Length and Hatching Synchrony in Red-Legged Partridge (Alectoris rufa)" Applied Sciences 12, no. 11: 5586. https://doi.org/10.3390/app12115586
APA StyleGonzález-Redondo, P., & Quesada-Pérez, F. (2022). Effects of Sibling Eggs Contact on Incubation Length and Hatching Synchrony in Red-Legged Partridge (Alectoris rufa). Applied Sciences, 12(11), 5586. https://doi.org/10.3390/app12115586

