Multi-Output Sequential Deep Learning Model for Athlete Force Prediction on a Treadmill Using 3D Markers
Abstract
:1. Introduction
- We describe the methodology of the study: a description of the database and variables used (in the analysis), the architectures of the evaluated models, and their performance tests, in Section 2.
- The results from the proposed analysis are shown in Section 3.
- In-depth discussion going into aspects such as future work and limitations is in Section 4.
- Finally, this paper concludes in Section 5 with the discoveries of this work.
2. Materials and Methods
2.1. Dataset
- Down-sampling: Given that the forces dataset has double the samples of the markers dataset, index numbers could eliminate odd index numbers and thus cut the dataset by half. This sequential elimination of samples removed data from the doubled dataset but allowed us to join both datasets without bias in predicting a sample using the current data.
- Up-sampling: Given that the markers dataset has half the samples of the forces dataset, blank numbers were created in odd indices, thereby expanding the dataset with empty data to predict the missing values. In this sense, linear interpolation made the dataset, given a series of odd numbers and predictions for even numbers, having one valid number, one blank number, and one valid number. This method can introduce bias due to the creation of new points, and they might not follow a linear trend as assumed, although it conserves all the data.
2.2. Loss Functions
2.3. Performance Metrics
2.4. Data Pre-Processing
2.5. Deep Learning Models
2.5.1. RNN
2.5.2. LSTM Cell
2.5.3. GRU Cell
2.6. Model Creation
- 1.
- Under-fit: The validation curve is under the training curve, as the model is not complex enough to learn the training dataset. The parameters are not good enough to model the relationship between source and target features, so the loss function does not decrease at a stable rate. This model would not be valid, as the relationship between variables is not completely understood; the model should be more complex, adding more layers of neurons.
- 2.
- Over-fit: The training curve is under the validation curve, as the model is overlearning from the training dataset by analyzing the tiniest details that do not appear when testing the model’s performance on the validation dataset. The model becomes too specific for the training dataset, making it not helpful in a real-life scenario on an unseen dataset (validation or testing dataset).
- 3.
- Ideal fit: Training and validation curves are similar; neither under-fits data nor over-fits them. The learning rate is relatively equal to the speed of generalization, so it can learn new information while still understanding the training dataset.
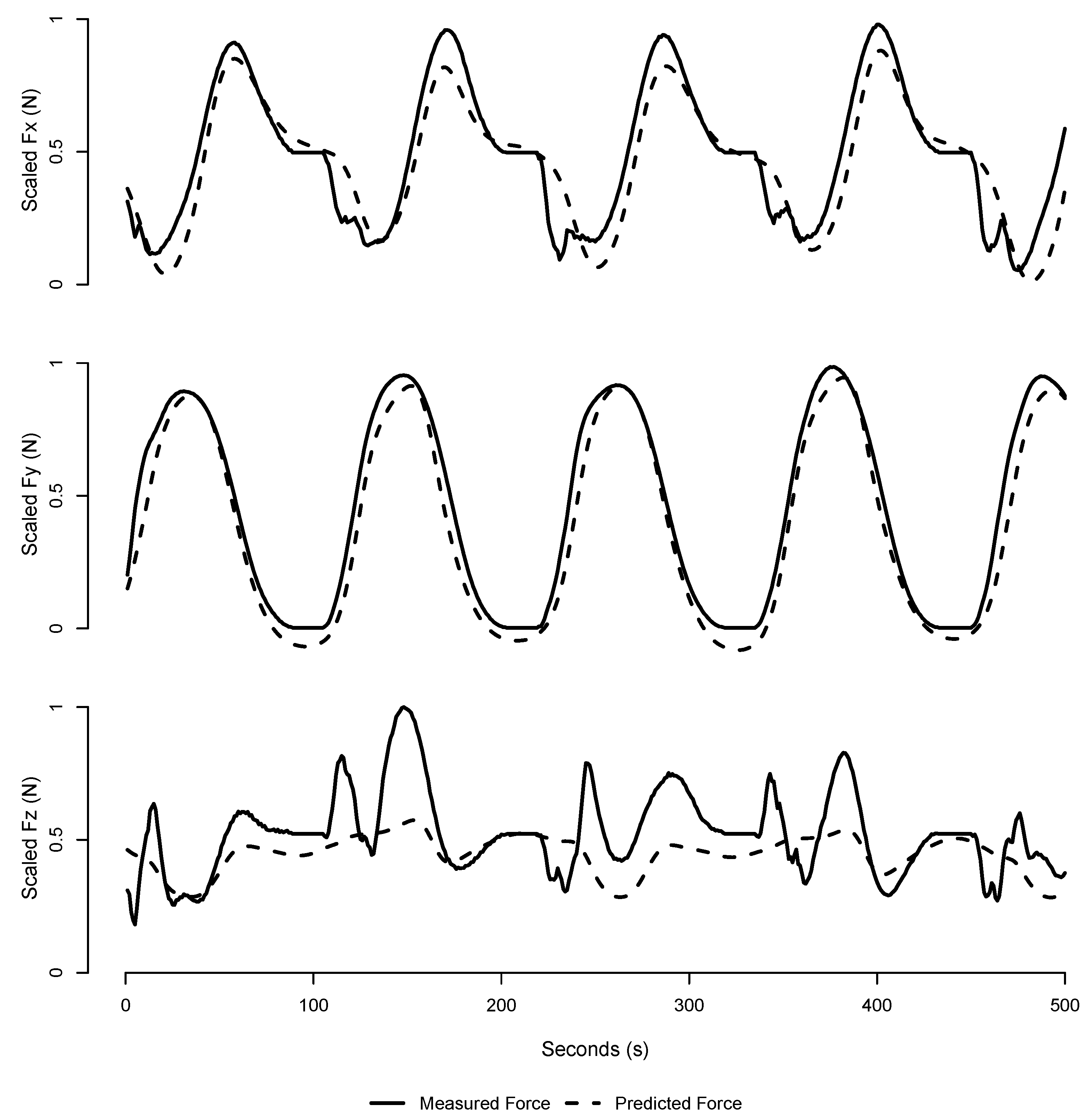
3. Results
4. Discussion
5. Conclusions
Author Contributions
Funding
Institutional Review Board Statement
Informed Consent Statement
Data Availability Statement
Conflicts of Interest
Abbreviations
| FFS | Flexible Force Sensors |
| IMU | Inertial Measurement Units |
| GRF | Ground Reaction Force |
| CMJ | Counter-Movement Jump |
| SJ | Squat Jump |
| MAE | Mean Absolute Error |
| MSE | Mean Squared Error |
| MSLE | Mean Squared Logarithmic Error |
| SSR | Sum of Squared Regression |
| SST | Sum of Squared Total |
| FIR | Finite Impulse Response |
| ML | Machine Learning |
| DL | Deep Learning |
| ANN | Artificial Neural Network |
| RNN | Recurrent Neural Network |
| CNN | Convolutional Neural Network |
| GPU | Graphical Processing Unit |
| LSTM | Long Short-Term Memory |
| GRU | Gated Recurrent Unit |
| GoP | Center of Pressure |
References
- Fotaki, A.; Triantafyllou, A.; Papagiannis, G.; Stasi, S.; Georgios, P.; Olga, S.; Tsolakis, C.K.; Koulouvaris, P. The science of biomechanics can promote dancers’ injury prevention strategies. Phys. Ther. Rev. 2021, 26, 94–101. [Google Scholar] [CrossRef]
- Polak, E.; Kulasa, J.; VencesBrito, A.; Castro, M.A.; Fernandes, O. Motion analysis systems as optimization training tools in combat sports and martial arts. Rev. Artes Marciales Asiat. 2016, 10, 105–123. [Google Scholar] [CrossRef] [Green Version]
- Suri, C.; Shojaei, I.; Bazrgari, B. Effects of School Backpacks on Spine Biomechanics During Daily Activities: A Narrative Review of Literature. Hum. Factors 2020, 62, 909–918. [Google Scholar] [CrossRef] [PubMed]
- Dingenen, B.; Malfait, B.; Nijs, S.; Peers, K.H.; Vereecken, S.; Verschueren, S.M.; Staes, F.F. Can two-dimensional video analysis during single-leg drop vertical jumps help identify non-contact knee injury risk? A one-year prospective study. Clin. Biomech. 2015, 30, 781–787. [Google Scholar] [CrossRef]
- Hollander, K. Biomechanics of Running—Implications for Running-Related Injuries and Future Areas for Research. Sport. Med. 2019, 42, 53–54. [Google Scholar] [CrossRef]
- Makdissi, M.; Davis, G. Using video analysis for concussion surveillance in Australian football. J. Sci. Med. Sport 2016, 19, 958–963. [Google Scholar] [CrossRef]
- Chiu, L.Z.; Dæhlin, T.E. Comparing Numerical Methods to Estimate Vertical Jump Height Using a Force Platform. Meas. Phys. Educ. Exerc. Sci. 2020, 24, 25–32. [Google Scholar] [CrossRef]
- Fukuchi, R.K.; Fukuchi, C.A.; Duarte, M. A public dataset of running biomechanics and the effects of running speed on lower extremity kinematics and kinetics. PeerJ 2017, 5, e3298. [Google Scholar] [CrossRef] [Green Version]
- Cheng, M.; Zhu, G.; Zhang, F.; Tang, W.; Shi, J.; Yang, J.; Zhu, L. A review of flexible force sensors for human health monitoring. J. Adv. Res. 2020, 26, 53–68. [Google Scholar] [CrossRef]
- Halilaj, E.; Shin, S.; Rapp, E.; Xiang, D. American society of biomechanics early career achievement award 2020: Toward portable and modular biomechanics labs: How video and IMU fusion will change gait analysis. J. Biomech. 2021, 129, 110650. [Google Scholar] [CrossRef]
- Roriz, P.; Carvalho, L.; Frazão, O.; Santos, J.L.; Simões, J.A. From conventional sensors to fibre optic sensors for strain and force measurements in biomechanics applications: A review. J. Biomech. 2014, 47, 1251–1261. [Google Scholar] [CrossRef] [PubMed] [Green Version]
- Liu, H.; Fang, S.; Zhang, Z.; Li, D.; Lin, K.; Wang, J. MFDNet: Collaborative Poses Perception and Matrix Fisher Distribution for Head Pose Estimation. IEEE Trans. Multimed. 2021, 24, 2449–2460. [Google Scholar] [CrossRef]
- Liu, H.; Liu, T.; Zhang, Z.; Sangaiah, A.K.; Yang, B.; Li, Y.F. ARHPE: Asymmetric Relation-aware Representation Learning for Head Pose Estimation in Industrial Human–machine Interaction. IEEE Trans. Ind. Inform. 2022, 1. [Google Scholar] [CrossRef]
- Ortiz-Padilla, V.E.; Ramírez-Moreno, M.A.; Presbítero-Espinosa, G.; Ramírez-Mendoza, R.A.; Lozoya-Santos, J.d.J. Survey on Video-Based Biomechanics and Biometry Tools for Fracture and Injury Assessment in Sports. Appl. Sci. 2022, 12, 3981. [Google Scholar] [CrossRef]
- Peng, X.; Tang, L. Biomechanics analysis of real-time tennis batting images using Internet of Things and deep learning. J. Supercomput. 2021, 78, 5883–5902. [Google Scholar] [CrossRef]
- De Froda, S.F.; Thigpen, C.A.; Kriz, P.K. Two-dimensional video analysis of youth and adolescent pitching biomechanics: A tool for the common athlete. Curr. Sport. Med. Rep. 2016, 15, 350–358. [Google Scholar] [CrossRef]
- Post, A.; Koncan, D.; Kendall, M.; Cournoyer, J.; Michio Clark, J.; Kosziwka, G.; Chen, W.; de Grau Amezcua, S.; Blaine Hoshizaki, T. Analysis of speed accuracy using video analysis software. Sport. Eng. 2018, 21, 235–241. [Google Scholar] [CrossRef]
- Burton, W.S.n.; Myers, C.A.; Rullkoetter, P.J. Machine learning for rapid estimation of lower extremity muscle and joint loading during activities of daily living. J. Biomech. 2021, 123, 110439. [Google Scholar] [CrossRef]
- Hausmann, S.B.; Vargas, A.M.; Mathis, A.; Mathis, M.W. Measuring and modeling the motor system with machine learning. Curr. Opin. Neurobiol. 2021, 70, 11–23. [Google Scholar] [CrossRef]
- Dubois, R.P.; Thiel, D.V.; James, D.A. Using image processing for biomechanics measures in swimming. Procedia Eng. 2012, 34, 807–812. [Google Scholar] [CrossRef] [Green Version]
- Gholipour, A.; Arjmand, N. Artificial neural networks to predict 3D spinal posture in reaching and lifting activities; Applications in biomechanical models. J. Biomech. 2016, 49, 2946–2952. [Google Scholar] [CrossRef] [PubMed]
- Xu, Q.; Huang, G.; Yu, M.; Guo, Y. Fall prediction based on key points of human bones. Physica A 2020, 540, 123205. [Google Scholar] [CrossRef]
- Liu, Y.; Shih, S.M.; Tian, S.L.; Zhong, Y.J.; Li, L. Lower extremity joint torque predicted by using artificial neural network during vertical jump. J. Biomech. 2009, 42, 906–911. [Google Scholar] [CrossRef] [PubMed]
- Li, D.; Liu, H.; Zhang, Z.; Lin, K.; Fang, S.; Li, Z.; Xiong, N.N. CARM: Confidence-aware recommender model via review representation learning and historical rating behavior in the online platforms. Neurocomputing 2021, 455, 283–296. [Google Scholar] [CrossRef]
- Liu, T.; Wang, J.; Yang, B.; Wang, X. NGDNet: Nonuniform Gaussian-label distribution learning for infrared head pose estimation and on-task behavior understanding in the classroom. Neurocomputing 2021, 436, 210–220. [Google Scholar] [CrossRef]
- Sewdien, V.; Preece, R.; Torres, J.R.; Rakhshani, E.; van der Meijden, M. Assessment of critical parameters for artificial neural networks based short-term wind generation forecasting. Renew. Energy 2020, 161, 878–892. [Google Scholar] [CrossRef]
- Géron, A. Hands-On Machine Learning with Scikit-Learn & TensorFlow, 2nd ed.; O Reilly: Newton, MA, USA, 2019. [Google Scholar]
- Bruce, P.; Bruce, A.G.P. Practical Statistics for Data Scientists, 2nd ed.; O Reilly: Newton, MA, USA, 2020. [Google Scholar]
- Li, Z.; Liu, H.; Zhang, Z.; Liu, T.; Xiong, N.N. Learning Knowledge Graph Embedding With Heterogeneous Relation Attention Networks. IEEE Trans. Neural Netw. Learn. Syst. 2021, 1–13. [Google Scholar] [CrossRef]
- Liu, H.; Zheng, C.; Li, D.; Shen, X.; Lin, K.; Wang, J.; Zhang, Z.; Zhang, Z.; Xiong, N.N. EDMF: Efficient Deep Matrix Factorization With Review Feature Learning for Industrial Recommender System. IEEE Trans. Ind. Inform. 2022, 18, 4361–4371. [Google Scholar] [CrossRef]
- Liu, H.; Nie, H.; Zhang, Z.; Li, Y.F. Anisotropic angle distribution learning for head pose estimation and attention understanding in human–computer interaction. Neurocomputing 2021, 433, 310–322. [Google Scholar] [CrossRef]
- Savadkoohi, M.; Oladunni, T.; Thompson, L. Deep Neural Networks for Human’s Fall-risk Prediction using Force-Plate Time Series Signal. Expert Syst. Appl. 2021, 182, 115220. [Google Scholar] [CrossRef]
- Ning, X.; Zhou, J.; Dai, B.; Jaridi, M. The assessment of material handling strategies in dealing with sudden loading: The effects of load handling position on trunk biomechanics. Appl. Ergon. 2014, 45, 1399–1405. [Google Scholar] [CrossRef] [PubMed]
- Karakolis, T.; Barrett, J.; Callaghan, J.P. A comparison of trunk biomechanics, musculoskeletal discomfort and productivity during simulated sit-stand office work. Ergonomics 2016, 59, 1275–1287. [Google Scholar] [CrossRef] [PubMed]
- Barbosa, T.M.; Barbosa, A.C.; Simbaña Escobar, D.; Mullen, G.J.; Cossor, J.M.; Hodierne, R.; Arellano, R.; Mason, B.R. The role of the biomechanics analyst in swimming training and competition analysis. Sport. Biomech. 2021, 1–18. [Google Scholar] [CrossRef] [PubMed]
- Valdivia, C.; Ortega, A.; Salazar, M.; Escobedo, J. Therapeutic Motion Analysis of Lower Limbs Using Kinovea. Int. J. Soft Comput. Eng. 2013, 3, 359–365. [Google Scholar]
- Albert, J.A.; Owolabi, V.; Gebel, A.; Brahms, C.M.; Granacher, U.; Arnrich, B. Evaluation of the pose tracking performance of the azure kinect and kinect v2 for gait analysis in comparison with a gold standard: A pilot study. Sensors 2020, 20, 5104. [Google Scholar] [CrossRef]








| Marker # | Label | Type | Name |
|---|---|---|---|
| 1 | R.ASIS | T/A | Right anterior superior lilac spine |
| 2 | L.ASIS | T/A | Left anterior superior lilac spine |
| 3 | R.PSIS | T/A | Right posterior lilac spine |
| 4 | L.PSIS | T/A | Left posterior lilac spine |
| 5 | R.Lilac.Crest | T | Right lilac crest |
| 6 | L.Lilac.Crest | T | Left lilac crest |
| 7 | R.Thigh.Top.Lateral | T | Right thigh top lateral marker |
| 8 | R.Thigh.Bottom.Lateral | T | Right thigh bottom lateral marker |
| 9 | R.Thigh.Top.Medial | T | Right thigh top medial marker |
| 10 | R.Thigh.Bottom.Medial | T | Right thigh bottom medial marker |
| 11 | R.Shank.Top.Lateral | T | Right shank top lateral marker |
| 12 | R.Shank.Bottom.Lateral | T | Right shank bottom lateral marker |
| 13 | R.Shank.Top.Medial | T | Right shank top medial marker |
| 14 | R.Shank.Bottom.Medial | T | Right shank bottom medial marker |
| 15 | R.Heel.Top | T/A | Right heel top |
| 16 | R.Heel.Bottom | T/A | Right heel bottom |
| 17 | R.Heel.Lateral | T | Right heel lateral |
| 18 | L.Thigh.Top.Lateral | T | Left thigh top lateral marker |
| 19 | L.Thigh.Bottom.Lateral | T | Left thigh bottom lateral marker |
| 20 | L.Thigh.Top.Medial | T | Left thigh top medial marker |
| 21 | L.Thigh.Bottom.Medial | T | Left thigh bottom medial marker |
| 22 | L.Shank.Top.Lateral | T | Left shank top lateral marker |
| 23 | L.Shank.Bottom.Lateral | T | Left shank bottom lateral marker |
| 24 | L.Shank.Top.Medial | T | Left shank top medial marker |
| 25 | L.Shank.Bottom.Medial | T | Left shank bottom medial marker |
| 26 | L.Heel.Top | T/A | Left heel top |
| 27 | L.Heel.Bottom | T/A | Left heel bottom |
| 28 | L.Heel.Lateral | T | Left heel lateral |
| 29 | R.GTR | A | Right greater trochanter |
| 30 | R.Knee | A | Right knee |
| 31 | R.Knee.Medial | A | Right knee medial |
| 32 | R.HF | A | Right head of fibula |
| 33 | R.TT | A | Right tibial tuberosity |
| 34 | R.Ankle | A | Right ankle |
| 35 | R.Ankle.Medial | A | Right ankle medial |
| 36 | R.MT1 | A | Right 1st metatarsal |
| 37 | R.MT5 | A | Right 5th metatarsal |
| 38 | R.MT2 | A | Right 2nd metatarsal |
| 39 | L.GTR | A | Left greater trochanter |
| 40 | L.Knee | A | Left knee |
| 41 | L.Knee.Medial | A | Left knee medial |
| 42 | L.HF | A | Left head of fibula |
| 43 | L.TT | A | Left tibial tuberosity |
| 44 | L.Ankle | A | Left ankle |
| 45 | L.Ankle.Medial | A | Left ankle medial |
| 46 | L.MT1 | A | Left 1st metatarsal |
| 47 | L.MT5 | A | Left 5th metatarsal |
| 48 | L.MT2 | A | Left 2nd metatarsal |
| Type of Layer | Layer | Output Shape | Total | ||
|---|---|---|---|---|---|
| LSTM | 1 | Input | (, ) | 0 | 3099 |
| 2 | LSTM | (8) | 3072 | ||
| 3 | Dense | (3) | 27 | ||
| GRU | 1 | Input | (, ) | 0 | 2355 |
| 2 | GRU | (8) | 2328 | ||
| 3 | Dense | (3) | 27 | ||
| Simple | 1 | Input | (, ) | 0 | 795 |
| 2 | Simple | (8) | 768 | ||
| 3 | Dense | (3) | 27 |
| Layer | Sampling | Loss Function | (s) | (s) | (min) |
|---|---|---|---|---|---|
| LSTM | Up | MAE | 31 | 775 | 12.92 |
| MSE | 30 | 750 | 12.5 | ||
| MSLE | 33 | 825 | 13.75 | ||
| Down | MAE | 19 | 425 | 7.08 | |
| MSE | 19 | 475 | 7.92 | ||
| MSLE | 15 | 375 | 6.25 | ||
| GRU | Up | MAE | 33 | 825 | 13.75 |
| MSE | 30 | 750 | 12.5 | ||
| MSLE | 32 | 800 | 13.34 | ||
| Down | MAE | 16 | 400 | 6.67 | |
| MSE | 17 | 425 | 7.08 | ||
| MSLE | 13 | 325 | 5.42 | ||
| Simple | Up | MAE | 76 | 1900 | 31.67 |
| MSE | 66 | 1650 | 27.5 | ||
| MSLE | 73 | 1825 | 30.42 | ||
| Down | MAE | 32 | 800 | 13.34 | |
| MSE | 40 | 1000 | 16.67 | ||
| MSLE | 32 | 800 | 13.34 |
| Metric | Layer | Up-Sampling | Down-Sampling | |||||||
|---|---|---|---|---|---|---|---|---|---|---|
| Avg | Avg | |||||||||
| GRU | MAE | 0.76 | 0.96 | 0.1 | 0.6 | 0.64 | 0.96 | 0.09 | 0.56 | |
| MSE | 0.77 | 0.96 | 0.17 | 0.63 | 0.75 | 0.95 | 0.06 | 0.58 | ||
| MSLE | 0.78 | 0.9 | 0.15 | 0.61 | 0.73 | 0.75 | 0.18 | 0.55 | ||
| LSTM | MAE | 0.81 | 0.96 | 0.11 | 0.63 | 0.79 | 0.96 | 0.15 | 0.63 | |
| MSE | 0.87 | 0.96 | 0.22 | 0.68 | 0.76 | 0.96 | 0.2 | 0.64 | ||
| MSLE | 0.82 | 0.94 | 0.2 | 0.65 | 0.71 | 0.91 | 0.18 | 0.6 | ||
| Simple | MAE | 0.69 | 0.96 | 0.06 | 0.57 | 0.57 | 0.93 | −0.19 | 0.43 | |
| MSE | 0.65 | 0.93 | 0.01 | 0.53 | 0.56 | 0.91 | −0.04 | 0.48 | ||
| MSLE | 0.65 | 0.6 | 0.19 | 0.48 | 0.72 | 0.8 | 0.01 | 0.51 | ||
| GRU | MAE | 0.89 | 0.98 | 0.41 | 0.76 | 0.83 | 0.98 | 0.4 | 0.74 | |
| MSE | 0.89 | 0.98 | 0.48 | 0.79 | 0.87 | 0.97 | 0.37 | 0.74 | ||
| MSLE | 0.9 | 0.98 | 0.5 | 0.79 | 0.86 | 0.97 | 0.49 | 0.77 | ||
| LSTM | MAE | 0.92 | 0.98 | 0.51 | 0.8 | 0.9 | 0.98 | 0.45 | 0.78 | |
| MSE | 0.94 | 0.98 | 0.54 | 0.82 | 0.89 | 0.98 | 0.51 | 0.79 | ||
| MSLE | 0.92 | 0.98 | 0.51 | 0.8 | 0.87 | 0.98 | 0.49 | 0.78 | ||
| Simple | MAE | 0.87 | 0.98 | 0.43 | 0.76 | 0.76 | 0.96 | 0.45 | 0.72 | |
| MSE | 0.82 | 0.97 | 0.42 | 0.73 | 0.77 | 0.97 | 0.32 | 0.69 | ||
| MSLE | 0.86 | 0.96 | 0.54 | 0.78 | 0.87 | 0.96 | 0.39 | 0.74 | ||
Publisher’s Note: MDPI stays neutral with regard to jurisdictional claims in published maps and institutional affiliations. |
© 2022 by the authors. Licensee MDPI, Basel, Switzerland. This article is an open access article distributed under the terms and conditions of the Creative Commons Attribution (CC BY) license (https://creativecommons.org/licenses/by/4.0/).
Share and Cite
Candela-Leal, M.O.; Gutiérrez-Flores, E.A.; Presbítero-Espinosa, G.; Sujatha-Ravindran, A.; Ramírez-Mendoza, R.A.; Lozoya-Santos, J.d.J.; Ramírez-Moreno, M.A. Multi-Output Sequential Deep Learning Model for Athlete Force Prediction on a Treadmill Using 3D Markers. Appl. Sci. 2022, 12, 5424. https://doi.org/10.3390/app12115424
Candela-Leal MO, Gutiérrez-Flores EA, Presbítero-Espinosa G, Sujatha-Ravindran A, Ramírez-Mendoza RA, Lozoya-Santos JdJ, Ramírez-Moreno MA. Multi-Output Sequential Deep Learning Model for Athlete Force Prediction on a Treadmill Using 3D Markers. Applied Sciences. 2022; 12(11):5424. https://doi.org/10.3390/app12115424
Chicago/Turabian StyleCandela-Leal, Milton Osiel, Erick Adrián Gutiérrez-Flores, Gerardo Presbítero-Espinosa, Akshay Sujatha-Ravindran, Ricardo Ambrocio Ramírez-Mendoza, Jorge de Jesús Lozoya-Santos, and Mauricio Adolfo Ramírez-Moreno. 2022. "Multi-Output Sequential Deep Learning Model for Athlete Force Prediction on a Treadmill Using 3D Markers" Applied Sciences 12, no. 11: 5424. https://doi.org/10.3390/app12115424
APA StyleCandela-Leal, M. O., Gutiérrez-Flores, E. A., Presbítero-Espinosa, G., Sujatha-Ravindran, A., Ramírez-Mendoza, R. A., Lozoya-Santos, J. d. J., & Ramírez-Moreno, M. A. (2022). Multi-Output Sequential Deep Learning Model for Athlete Force Prediction on a Treadmill Using 3D Markers. Applied Sciences, 12(11), 5424. https://doi.org/10.3390/app12115424

