Next Article in Journal
Mechanical Behavior of Large-Diameter Adjacent Shield Tunnelling Bridge Piles: A Case Study of Chunfeng Tunnel
Previous Article in Journal
Enhanced Discrimination of Seismic Geological Channels Based on Multi-Trace Variational Mode Decomposition
 
 
Font Type:
Arial Georgia Verdana
Font Size:
Aa Aa Aa
Line Spacing:
Column Width:
Background:
Article

Effect of High Content of Waste Tire Rubber and Sulfur on the Aging Behavior of Bitumen

1
Key Laboratory of Road and Traffic Engineering of Ministry of Education, Tongji University, Tongda Building, 4800 Cao’an Road, Shanghai 201804, China
2
Section of Pavement Engineering, Department of Engineering Structures, Faculty of Civil Engineering and Geosciences, Delft University of Technology, Stevinweg 1, 2628 CN Delft, The Netherlands
3
Department of Civil and Environmental Engineering, The Hong Kong Polytechnic University, Hung Hom, Kowloon, Hong Kong
*
Author to whom correspondence should be addressed.
Appl. Sci. 2022, 12(11), 5417; https://doi.org/10.3390/app12115417
Submission received: 17 May 2022 / Revised: 26 May 2022 / Accepted: 26 May 2022 / Published: 27 May 2022

Abstract

:
High content rubber modified bitumen (HCRMB) prepared from the high content of waste tire rubber and bitumen has good performance while allowing greater use of the waste tires. However, HCRMB is subject to aging during use, which can affect its performance. The purpose of this paper was to investigate the effect of high content of waste tire rubber and sulfur on the aging behavior of bitumen. The properties of all bitumen were tested using rolling thin film oven aging (RTFOT) test, pressure aging vessel (PAV) test, frequency sweep tests, temperature sweep (TS) test, multiple stress creep recovery (MSCR) test, and attenuated total reflection-Fourier transform infrared spectroscopy (ATR-FTIR) test. Test results show that the addition of sulfur to HCRMB leads to an improvement in the elasticity of HCRMB. The elasticity of HCRMB with different amounts of sulfur increases with aging. In addition, the increase in the amount of sulfur can improve the RTFOT aging resistance and the PAV aging resistance of HCRMB. Sulfur cannot reduce the degree of oxidation of HCRMB after aging, but can inhibit the degree of desulfurization of HCRMB. Furthermore, the aging process of HCRMB with different amounts of sulfur is dominated by the degradation of polybutadiene.

1. Introduction

With the rapid development of China’s automobile manufacturing industry, the popularity of automobiles in China is increasing, leading to an increasing number of waste tires, and a large number of abandoned waste tires that can cause environmental pollution, as well as great fire safety hazards in the random piles of waste tires [1,2,3]. Bituminous pavement has the advantage of good driving comfort and is widely used in China’s high-grade highways, but it is also prone to rutting and cracking, which affects the safety and comfort of driving. The crumb rubber (CR) obtained from the crushing of waste tires is added to the neat bitumen and then made into rubber modified bitumen (RMB) by mixing and shearing at high temperatures [4,5], which not only solves a large number of waste tires but also reduces the amount of neat bitumen and saves construction costs [6]. Some studies have shown that the use of RMB to pave pavements can improve high and low temperature performance and fatigue resistance, and has excellent resistance to deformation and noise reduction [7,8,9,10]. However, the interaction mechanism between CR particles and bitumen is mainly physical swelling, and it is difficult to disperse CR particles in bitumen and form a cross-linked mesh structure, which can easily lead to RMB segregation problems during storage, thus limiting its application.
Many studies have used composite modification techniques to improve the overall performance of RMB by incorporating other types of modifiers into RMB [11,12,13,14]. Jiang et al. found that the temperature sensitivity of the bitumen was improved and its bituminous pavement noise reduction performance was excellent after the composite modification of CR and styrene-butadiene-styrene (SBS) [15]. Xiang et al. studied the aging performance of CR and SBS composite modified bitumen and found that after aging the aromatic hydrocarbon content in the bitumen was reduced and the asphaltene content increased, and the improvement of the performance of the bitumen by the composite modification of SBS and CR was mainly reflected in the high temperature performance [16]. Liang et al. prepared SBS/CR composite modified bitumen by high-speed shear and studied its rheological properties and storage stability, pointing out that the addition of CR and SBS to the bitumen can significantly increase its storage modulus, loss modulus, and viscoelasticity, thus enhancing the ability of asphalt pavements to resist permanent deformation [17]. Dong et al. added CR and SBS to the neat bitumen and studied its rheological properties and microstructure and found a significant improvement in the viscoelasticity of the composite modified bitumen. The morphology of the composite modified bitumen changed significantly during the preparation process, and its phase morphology changed from one bitumen phase with a dispersive polymer phase to two continuous phases that are cross-linked with each other, while the bitumen would react chemically with SBS and CR [18]. The chemical reaction between sulfur and bitumen results in chemical bonds and chemicals that cause the bitumen molecular chain to become a three-dimensional mesh structure from a planar mesh structure and an increase in viscosity [19,20], resulting in an improvement in the mechanical properties and high temperature stability of its bitumen mixture [21,22]. The interaction between sulfur and bitumen increases over time [23], which is associated with the recrystallization of sulfur in bitumen [24], and the cross-linking of sulfur with the components in CR to form a network structure that enhances the performance of RMB [25]. RMB is subject to higher temperatures than the neat bitumen during pavement construction, which makes it more susceptible to the effects of aging, and will also experience the effects of aging during the life of the pavement, so aging occurs throughout the life cycle of RMB. The existing RMB compound modification technology is mostly based on the incorporation of modifiers into the conventional content of RMB (20% content). There is less research on high content rubber modified bitumen (HCRMB) with the addition of sulfur, and the research on its aging properties is not comprehensive.
In this paper, the effect of high content of waste tire rubber and sulfur on the aging behavior of bitumen was investigated. The rolling thin film oven aging (RTFOT) test, pressure aging vessel (PAV) test, frequency sweep tests, temperature sweep (TS) test, multiple stress creep recovery (MSCR) test, and attenuated total reflection-Fourier transform infrared spectroscopy (ATR-FTIR) test were used to analyze the changes in the properties of HCRMB containing sulfur before and after aging, respectively. Moreover, the aging resistance of HCRMB containing sulfur was evaluated by rheological aging indexes.

2. Material and Methods

2.1. Materials

The RMB was made of CR and neat bitumen (PG 64-16) in this paper. CR added in the neat bitumen at contents of 20% and 40% were prepared by the terminal blend (TB) process to produce the conventional RMB and HCRMB, referring to the previous research [12], respectively. CR (30 mesh) contains 54% natural rubber and synthetic rubber from Jiangyin, China. The binders were prepared by adding sulfur to RMB and HCRMB for 120 min at 180 °C, respectively. The detail of the composition of RMB and HCRMB with different amounts of sulfur is present in Table 1.

2.2. Aging Procedures

According to JTG E20-2011, rolling thin film oven aging (RTFOT) and pressure aging vessel (PAV) were performed on the HCRMB with different amounts of sulfur [26], respectively. The aging degree of the HCRMB with different amounts of sulfur was evaluated by the complex modulus aging index (CAI) and phase angle aging index (PAI), which are as follows [27,28]:
CAI = G*aged/G*unaged
PAI = δaged δunaged

2.3. Rheological Property Tests

Master curves for different rheological indices (complex modulus (G*), phase angle (δ), storage modulus (G′), and loss modulus (G″)) were constructed by means of frequency sweep tests on the HCRMB with different amounts of sulfur at different temperatures (5 °C, 15 °C, 25 °C, 35 °C, 45 °C, 55 °C, 65 °C, and 75 °C). The frequency sweeps were performed in the range of 0.1Hz to 30 Hz. The master curves were constructed at a reference temperature of 25 °C based on the time–temperature superposition principle (TTSP) and the sigmoidal model. The temperature sweep (TS) test in the range of 34 °C to 88 °C was conducted on the HCRMB with different amounts of sulfur using a dynamic shear rheometer (DSR) at 10 rad/s and 10% strain. The multiple stress creep recovery (MSCR) tests at different temperatures (64 °C, 70 °C, 76 °C, and 82 °C) were carried out on the HCRMB with different amounts of sulfur. In these tests at DSR, parallel plates with gaps and diameters of 1 mm and 25 mm, respectively, were used for tests above 30 °C, while parallel plates with gaps and diameters of 2 mm and 8 mm, respectively, were used for tests below 30 °C.

2.4. ATR-FTIR Test

In this paper, solid bitumen samples were placed on reflectance crystal for ATR-FTIR tests to determine the functional groups of the HCRMB with different amounts of sulfur before and after aging [13,27]. The spectra were carried out in the range of 4000 to 600 cm−1 with 32 scans. The aging of bitumen is mainly reflected in the change of the carbonyl group and, therefore, the degree of oxidation in the HCRMB with different amounts of sulfur can be determined by the carbonyl index (ICA) [28]. Aging can also lead to desulfurization of CR and degradation of polybutadiene in RMB [12]. The silica index (ISi-O-Si) and the polybutadiene index (IPB) in HCRMB during aging were chosen to analyze the degree of desulfurization of CR and degradation of polybutadiene. The calculation methods for ICA, ISi-O-Si, and IPB are described below:
ICA= A1700 cm−1/A1376 cm−1
ISi-O-Si= A1100 cm−1/A1376 cm−1
IPB= A966 cm−1/A1376 cm−1

3. Results and Discussion

3.1. Master Curves Result Analysis

3.1.1. Master Curves before Aging

The G* master curves and δ master curves of the HCRMB with different amounts of sulfur are shown in Figure 1. Based on Figure 1a, the ranking of G* master curves in the high frequency region (low temperature region) is 40TB_0.2Sul< 40TB_0.4Sul < 20TB_0.2Sul < 20TB_0.4Sul < 70#, and the ranking of G* master curves in low frequency region (high temperature region) is 40TB_0.2Sul < 40TB_0.4Sul < 20TB_0.2Sul < 70# <20TB_0.4Sul. The above results show in the high frequency region (low temperature region), the G* master curves of 70# are higher than that of the HCRMB with different amounts of sulfur, and increasing the sulfur content can improve the elasticity of HCRMB. This may be due to the moderate depolymerization of the macromolecular structure in the CR in RMB during the TB process preparation process, which results in partial plasticity and viscosity, but HCRMB also loses some of the elasticity of the CR at low temperature environments, and the more CR is doped in the HCRMB, the more elasticity it loses, resulting in a lower G* value for 40TB_0.4Sul than for 20TB_0.4Sul [29]. Moreover, according to Figure 1b, the ranking of δ master curves in the high frequency region (low temperature region) is 70#< 20TB_0.4Sul < 20TB_0.2Sul < 40TB_0.4Sul < 40TB_0.2Sul. The ranking of δ master curves in low frequency region (high temperature region) is 40TB_0.4Sul< 40TB_0.2Sul < 20TB_0.4Sul < 20TB_0.2Sul < 70#. This also indicates that the elasticity of HCRMB at low temperatures is enhanced by the incorporation of sulfur. The cause of this result lies in the ability of sulfur to make the HCRMB form a cross-linked network between the CR, which can improve the elasticity of the HCRMB [30].

3.1.2. Master Curves after Aging

Figure 2 and Figure 3 show the evolution of G* master curves and δ master curves of HCRMB with different amounts of sulfur along with aging. As described in Figure 2 and Figure 3, the main G* master curves for 70# and HCRMB with different amounts of sulfur show a tendency to increase with aging, while the δ master curves for 70# and HCRMB with different amounts of sulfur change after aging in the opposite pattern to the G* master curves in Figure 2, showing a decreasing trend, which indicates that the elasticity of 70# and HCRMB with different amounts of sulfur increases with aging, due to the hardening of the bitumen.
The evolution of the master curves of G′ and G″ with aging is shown in Figure 4. The main curves of G′ and G″ for HCRMB with different amounts of sulfur increase with increasing frequency (decreasing temperature). The decrease in the logarithmic coordinate corresponding to the intersection between the G′ and G″ master curves after aging indicates that the bitumen hardens with aging. Table 2 shows the logarithmic coordinates corresponding to the intersection points of the HCRMB with different amounts of sulfur. The intersection coordinates of both 70# and HCRMB with different amounts of sulfur decrease from the unaged condition to the PAV condition, indicating that the viscous component of HCRMB with different amounts of sulfur decreases with aging.

3.2. TS Test Result Analysis

3.2.1. G* and δ before Aging

The changes of G* and δ of the HCRMB with different amounts of sulfur are described in Figure 5. According to Figure 5a, the G* of 70# is higher than that of the HCRMB with different amounts of sulfur at temperatures below 46 °C, indicating that compared with HCRMB with different amounts of sulfur, 70# has bigger elasticity at temperatures below 46 °C. Moreover, the G* ranking is 70# < 40TB_0.2Sul < 20TB_0.2Sul < 40TB_0.4Sul < 20TB_0.4Sul when the temperature is higher than 76 °C and the G* of 70# is lower than that of the HCRMB with different amounts of sulfur. As seen in Figure 5b, the ranking of δ is 20TB_0.4Sul < 20TB_0.2Sul < 40TB_0.4Sul < 40TB_0.2Sul < 70# from 34 °C to 40 °C. The ranking of δ is 20TB_0.4Sul < 40TB_0.4Sul < 40TB_0.2Sul < 20TB_0.2Sul < 70# from 52 °C to 70 °C. Besides, the ranking of δ is 40TB_0.4Sul < 40TB_0.2Sul < 20TB_0.4Sul < 20TB_0.2Sul < 70# at 88 °C. That is to say, the addition of sulfur to HCRMB leads to an increase in G* and a decrease in δ, resulting in an improvement in the elasticity of HCRMB. This is due to the sulfur cross-linking effect enhancing the adhesion between the dispersed CRs, forming spatially cross-linked structures and improving the elasticity of HCRMB.

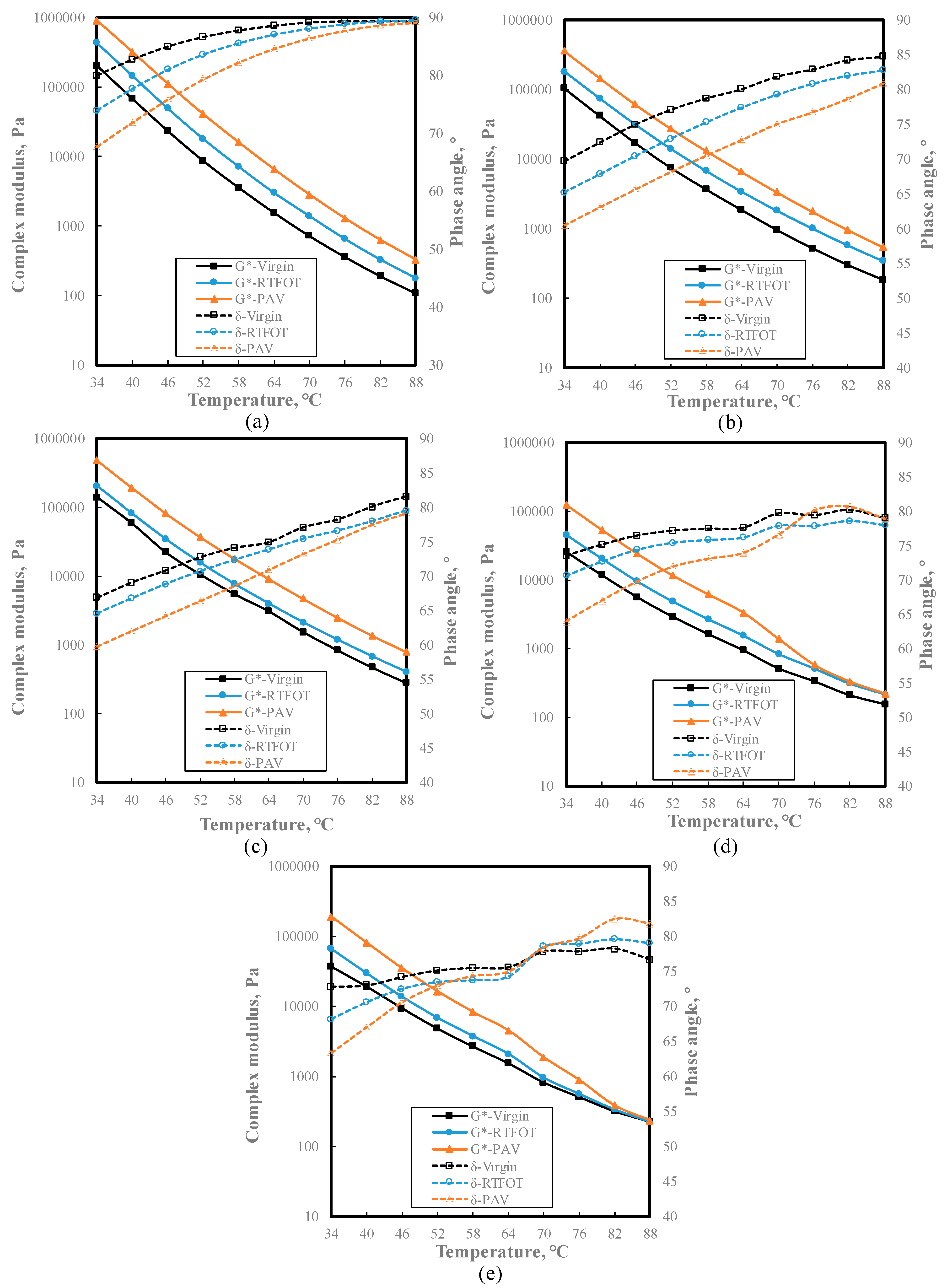
3.2.2. G* and δ after Aging

G* evolution and δ evolution of the HCRMB with different amounts of sulfur along with aging are shown in Figure 6. As described in Figure 6, the G* of the HCRMB with different amounts of sulfur decreases gradually by temperature sweep tests. Compared to 70# and 20TB_0.2Sul, 40TB_0.2Sul shows an insignificant increase in G* after RTFOT aging, indicating that the short-term aging resistance of 70# and conventional RMB is worse than that of HCRMB. Moreover, compared to 40TB_0.2Sul, 40TB_0.4Sul shows an insignificant decrease in δ after PAV aging, indicating that the long-term aging resistance of 40TB_0.2Sul is worse than that of 40TB_0.4Sul. In other words, sulfur can improve the long-term aging resistance of HCRMB.

3.3. MSCR Test Result Analysis

3.3.1. Jnr and R before Aging

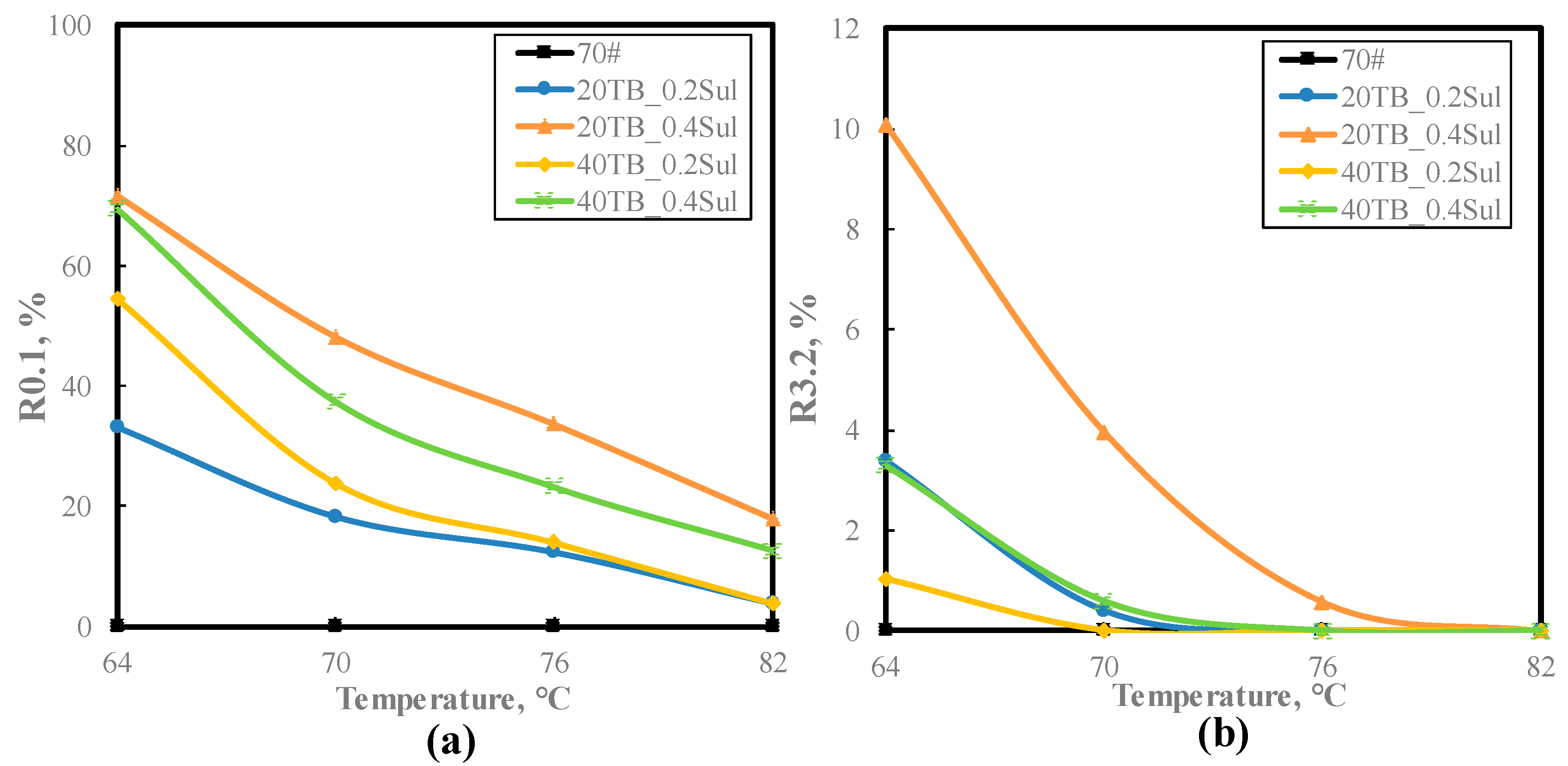
Non-recoverable creep compliance (Jnr) and recovery (R) were used to evaluate the high temperature of HCRMB with different amounts of sulfur [31]. Jnr at 0.1 kPa and 3.2 kPa are denoted as Jnr0.1 and Jnr3.2, respectively. R is defined in the same way as Jnr at different stress conditions. According to Figure 7 and Figure 8, the Jnr0.1 value is higher for 70# compared to HCRMB with different sulfur content, and the ranking of Jnr0.1 is 20TB_0.4Sul < 40TB_0.4Sul < 20TB_0.2Sul < 40TB_0.2Sul < 70#. In addition, the same ranking of R0.1 and R3.2 is 70#< 20TB_0.2Sul < 40TB_0.2Sul < 40TB_0.4Sul < 20TB_0.4Sul, indicating that the increase of sulfur doping can improve the high temperature performance of HCRMB. This is due to the increase in sulfur doping, which promotes the reaction between bitumen and sulfur, resulting in an increase in asphaltene and a change in bitumen structure to a gel-type structure, which manifests itself in the increased high temperature performance of HCRMB.

3.3.2. Jnr and R after Aging

The Jnr3.2 and R3.2 of the HCRMB with different amounts of sulfur after aging are displayed in Figure 9. As seen in Figure 9, Jnr3.2 and R3.2 of HCRMB with different amounts of sulfur become larger and smaller, respectively, with increasing temperature before and after aging. Compared to 40TB_0.2Sul, 40TB_0.4Sul shows an insignificant decrease in Jnr3.2 after RTFOT aging, indicating that the sulfur can improve the short-term aging resistance of HCRMB. Furthermore, the insignificant increase in R3.2 after PAV aging for 20TB_0.4Sul compared to 20TB_0.2Sul and the insignificant increase in R3.2 after PAV aging for 40TB_0.4Sul compared to 40TB_0.2Sul also indicates that sulfur improves the long-term aging resistance of HCRMB and conventional RMB.

3.4. Aging Resistance

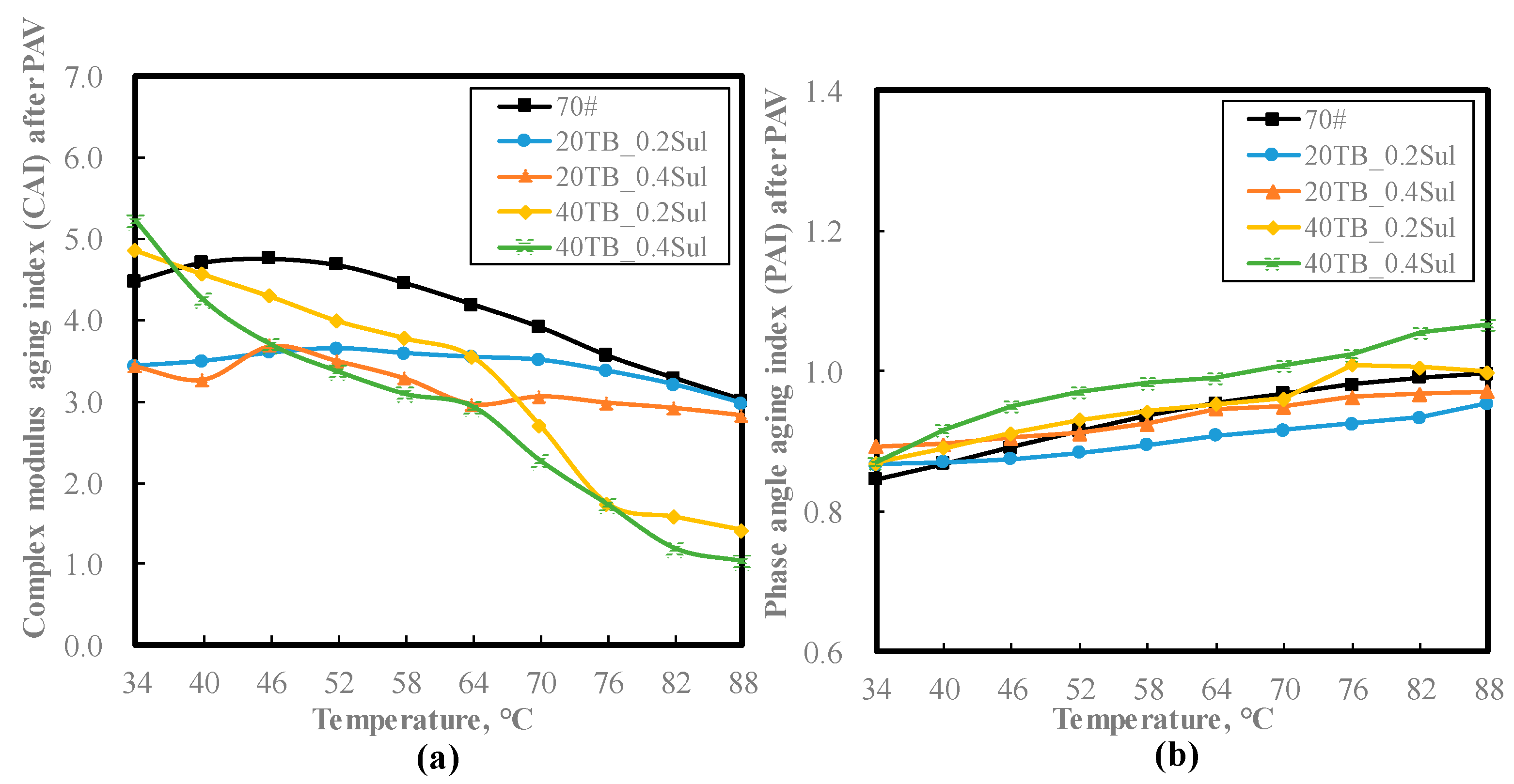
The CAI and PAI of the HCRMB with different amounts of sulfur after RTFOT aging are presented in Figure 10. Based on Figure 10a, the CAI of the HCRMB with different amounts of sulfur is lower than that of 70# below 70 °C and the ranking of the CAI at 46 °C and 52 °C is 40TB_0.4Sul < 20TB_0.4Sul < 40TB_0.2Sul < 20TB_0.2Sul < 70# after RTFOT aging, and the ranking of the CAI at 64 °C is 20TB_0.4Sul < 40TB_0.4Sul < 40TB_0.2Sul < 20TB_0.2Sul < 70# after RTFOT aging. Moreover, in accordance with Figure 10b, from 70 °C to 88 °C, the PAI values of 40TB_0.4Sul are higher than those of 40TB_0.2Sul and the PAI values of 20TB_0.4Sul are higher than those of 20TB_0.2Sul. The above data indicate that the RTFOT aging resistance of HCRMB is better than that of conventional RMB, and the increase in the amount of sulfur can improve the RTFOT aging resistance of HCRMB.
Figure 11 shows the CAI and PAI of the HCRMB with different amounts of sulfur after PAV, respectively. As described in Figure 11, compared with 70#, the CAI of the HCRMB with different amounts of sulfur after PAV decreases from 40 °C to 88 °C, and the ranking of CAI from 70 °C to 88 °C is 40TB_0.4Sul < 40TB_0.2Sul < 20TB_0.4Sul < 20TB_0.2Sul < 70# after PAV. In addition, the ranking of PAI of HCRMB with different amounts of sulfur after PAV is similar to that of PAI ranking in Figure 10b, indicating that the PAV aging resistance of HCRMB is better than that of conventional RMB and that the addition of sulfur improves the PAV aging resistance of HCRMB. This is because as the amount of CR increases, substances such as sulfur and silica from the CR enter the bitumen colloid system and play a role in improving the aging resistance of HCRMB.

3.5. ATR-FTIR Analysis

The FTIR spectra of the HCRMB with different amounts of sulfur are presented in Figure 12 and the values of ICA, ISi-O-Si, and IPB are shown in Figure 13. ΔICA and ΔISi-O-Si are used to analyze the oxidation degree of RMB and the level of CR’s desulfurization [28]. The difference between the ICA of unaged RMB and aged RMB is ΔICA. ΔISi-O-Si is calculated by referring to ΔICA. ΔICA and ΔISi-O-Si are presented in Table 3 and Table 4. As shown in Figure 13a, the ICA of the HCRMB with different amounts of sulfur under RTFOT and PAV is less than that of the 70#. In addition, according to Table 3, the ΔICA of the HCRMB with different amounts of sulfur after aging is lower than that of the 70#, indicating that the oxidation degree of HCRMB with different amounts of sulfur is smaller than that of 70#. The ΔICA ranking is 20TB_0.2Sul < 20TB_0.4Sul < 40TB_0.2Sul < 40TB_0.4Sul < 70# after RTFOT aging and the ΔICA ranking is 20TB_0.2Sul < 20TB_0.4Sul < 40TB_0.2Sul <40TB_0.4Sul < 70# after PAV aging. This indicates that the carbonyl group of conventional RMB is less affected by aging than that of HCRMB and that sulfur cannot reduce the degree of oxidation of HCRMB after aging.
Based on Figure 13b and Table 4, the ISi-O-Si ranking before aging is 20TB_0.2Sul < 20TB_0.4Sul < 40TB_0.4Sul< 40TB_0.2Sul, indicating compared to 70#, HCRMB with different amounts of sulfur has silica and the amount of silica in RMB increases as the amount of CR in RMB increases. The ΔISi-O-Si ranking after RTFOT and PAV is 40TB_0.4Sul < 40TB_0.2Sul < 20TB_0.4Sul < 20TB_0.2Sul, indicating under the influence of aging, conventional RMB is more easily desulfurized than HCRMB, and sulfur can inhibit the degree of desulfurization of HCRMB. Furthermore, as described in Figure 13c, compared to HCRMB with different amounts of sulfur, 70# had lower IPB values under unaged conditions, and the IPB ranking under unaged conditions was 20TB_0.4Sul < 20TB_0.2Sul < 40TB_0.4Sul < 40TB_0.2Sul, indicating that high content of CR leads to an increase in the polybutadiene polymer content of RMB. The IPB values of HCRMB with different amounts of sulfur decreases with aging, whereas in conventional RMB, there is an increase in IPB values during aging, suggesting that the aging process of HCRMB with different amounts of sulfur is dominated by the degradation of polybutadiene, whereas there is a certain CR desulfurization in conventional RMB aging [13].

4. Conclusions

In this research, the effect of high content of waste tire rubber and sulfur on the aging behavior of bitumen was investigated. Tests related to bitumen, such as frequency sweep tests, temperature sweep tests, MSCR tests, ATR-FTIR test, RTFOT, and PAV, were carried out. The main conclusions were drawn as following:
  • The addition of sulfur to HCRMB leads to an increase in G*, R0.1, and R3.2 and a decrease in δ, Jnr0.1, and Jnr3.2, resulting in an improvement in the elasticity of HCRMB. Moreover, in the low temperature region, the G* master curves of 70# are higher than that of the HCRMB with different amounts of sulfur;
  • The elasticity of 70# and HCRMB with different amounts of sulfur increases with aging. In addition, the RTFOT aging resistance and the PAV aging resistance of HCRMB is better than that of conventional RMB, and the increase in the amount of sulfur can improve the RTFOT aging resistance and the PAV aging resistance of HCRMB;
  • The carbonyl group of conventional RMB is less affected by aging than that of HCRMB. Under the influence of aging, conventional RMB is more easily desulfurized than HCRMB, and sulfur cannot reduce the degree of oxidation of HCRMB after aging, but can inhibit the degree of desulfurization of HCRMB. Furthermore, the aging process of HCRMB with different amounts of sulfur is dominated by the degradation of polybutadiene, whereas there is a certain CR desulfurization in conventional RMB aging.

Author Contributions

Conceptualization, S.W.; methodology, S.W.; validation, W.H.; investigation, X.L.; writing—original draft, S.W.; writing—review and editing, P.L.; visualization, P.L.; supervision, S.W.; formal analysis, S.R. and Y.L. All authors have read and agreed to the published version of the manuscript.

Funding

This research was developed within the Projects of National Natural Science Foundation of China under Grant number 51978518 and China Scholarship Council (CSC No. 202106260114).

Institutional Review Board Statement

Not applicable.

Informed Consent Statement

Not applicable.

Data Availability Statement

The data presented in this study are available on request from the corresponding author.

Acknowledgments

The authors would like to appreciate the financial support from the National Natural Science Foundation of China under Grant number 51978518. Also, the first author acknowledges the financial support from the China Scholarship Council (CSC No. 202106260114).

Conflicts of Interest

No potential conflicts of interest were reported by the authors.

References

  1. Lo Presti, D.; Airey, G.; Partal, P. Manufacturing Terminal and Field Bitumen-Tyre Rubber Blends: The Importance of Processing Conditions. Procedia-Soc. Behav. Sci. 2012, 53, 485–494. [Google Scholar] [CrossRef] [Green Version]
  2. Thodesen, C.; Xiao, F.; Amirkhanian, S.N. Modeling viscosity behavior of crumb rubber modified binders. Constr. Build. Mater. 2009, 23, 3053–3062. [Google Scholar] [CrossRef]
  3. Thodesen, C.; Shatanawi, K.; Amirkhanian, S. Effect of crumb rubber characteristics on crumb rubber modified (CRM) binder viscosity. Constr. Build. Mater. 2009, 23, 295–303. [Google Scholar] [CrossRef]
  4. Szerb, E.I.; Nicotera, I.; Teltayev, B.; Vaiana, R.; Rossi, C.O. Highly stable surfactant-crumb rubber-modified bitumen: NMR and rheological investigation. Road Mater. Pavement Des. 2018, 19, 1192–1202. [Google Scholar] [CrossRef]
  5. Ibrahim, I.M.; Fathy, E.S.; El-Shafie, M.; Elnaggar, M.Y. Impact of incorporated gamma irradiated crumb rubber on the short-term aging resistance and rheological properties of asphalt binder. Constr. Build. Mater. 2015, 81, 42–46. [Google Scholar] [CrossRef]
  6. Kim, S.; Loh, S.; Zhai, H.; Bahia, H.U. Advanced Characterization of Crumb Rubber-Modified Asphalts, Using Protocols Developed for Complex Binders. Transp. Res. Rec. J. Transp. Res. Board 2001, 1767, 15–24. [Google Scholar] [CrossRef]
  7. Lo Presti, D. Recycled Tyre Rubber Modified Bitumens for road asphalt mixtures: A literature review. Constr. Build. Mater. 2013, 49, 863–881. [Google Scholar] [CrossRef]
  8. Bressi, S.; Fiorentini, N.; Huang, J.; Losa, M. Crumb Rubber Modifier in Road Asphalt Pavements: State of the Art and Statistics. Coatings 2019, 9, 384. [Google Scholar] [CrossRef] [Green Version]
  9. Veropalumbo, R.; Viscione, N.; Russo, F. Rheological and Mechanical Properties of HMA Containing Fly Ashes as Alternative Filler. In Proceedings of the 5th International Symposium on Asphalt Pavements & Environment (APE); Pasetto, M., Partl, M.N., Tebaldi, G., Eds.; Springer International Publishing: Cham, Switzerland, 2020; pp. 88–97. [Google Scholar]
  10. Picado-Santos, L.G.; Capitão, S.D.; Neves, J.M.C. Crumb rubber asphalt mixtures: A literature review. Constr. Build. Mater. 2020, 247, 118577. [Google Scholar] [CrossRef]
  11. Wang, S.; Huang, W.; Lin, P. Low-Temperature and Fatigue Characteristics of Degraded Crumb Rubber–Modified Bitumen Before and After Aging. J. Mater. Civ. Eng. 2022, 34, 04021493. [Google Scholar] [CrossRef]
  12. Wang, S.; Huang, W. Investigation of aging behavior of terminal blend rubberized asphalt with SBS polymer. Constr. Build. Mater. 2021, 267, 120870. [Google Scholar] [CrossRef]
  13. Wang, S.; Huang, W.; Kang, A. Laboratory evaluation of the properties of high-cured crumb rubber modified asphalt containing sulfur and polymer after the oxidative aging procedure. Constr. Build. Mater. 2021, 304, 124611. [Google Scholar] [CrossRef]
  14. Wang, S.; Huang, W.; Lin, P.; Wu, Z.; Kou, C.; Wu, B. Chemical, Physical, and Rheological Evaluation of Aging Behaviors of Terminal Blend Rubberized Asphalt Binder. J. Mater. Civ. Eng. 2021, 33, 04021302. [Google Scholar] [CrossRef]
  15. Jiang, Z.; Easa, S.M.; Hu, C.; Zheng, X. Understanding damping performance and mechanism of crumb rubber and styrene-butadiene-styrene compound modified asphalts. Constr. Build. Mater. 2019, 206, 151–159. [Google Scholar] [CrossRef]
  16. Xiang, L.; Cheng, J.; Kang, S. Thermal oxidative aging mechanism of crumb rubber/SBS composite modified asphalt. Constr. Build. Mater. 2015, 75, 169–175. [Google Scholar] [CrossRef]
  17. Liang, M.; Xin, X.; Fan, W.; Luo, H.; Wang, X.; Xing, B. Investigation of the rheological properties and storage stability of CR/SBS modified asphalt. Constr. Build. Mater. 2015, 74, 235–240. [Google Scholar] [CrossRef]
  18. Dong, F.; Yu, X.; Liu, S.; Wei, J. Rheological behaviors and microstructure of SBS/CR composite modified hard asphalt. Constr. Build. Mater. 2016, 115, 285–293. [Google Scholar] [CrossRef]
  19. Gedik, A.; Lav, A.H. Morphological evaluation and quantitative effect of sulphuric extension on B160/220 rheological behaviour at high temperatures. Constr. Build. Mater. 2016, 127, 457–465. [Google Scholar] [CrossRef]
  20. Gedik, A.; Lav, A.H. Analytical, morphological, and rheological behavior of sulphur-extended-binder. Can. J. Civ. Eng. 2016, 43, 532–541. [Google Scholar] [CrossRef] [Green Version]
  21. D’Melo, D.; Raju, S.; Bhattacharya, S.; Subramani, S. Self-assembly of amorphous sulphur in bitumen–sulphur mixtures and its impact on properties. Constr. Build. Mater. 2016, 126, 976–982. [Google Scholar] [CrossRef]
  22. Gladkikh, V.; Korolev, E.; Smirnov, V.; Sukhachev, I. Modeling the Rutting Kinetics of the Sulfur-extended Asphalt. Procedia Eng. 2016, 165, 1417–1423. [Google Scholar] [CrossRef]
  23. Zhou, T.; Xie, S.; Kabir, S.F.; Cao, L.; Fini, E.H. Effect of Sulfur on Bio-Modified Rubberized Bitumen. Constr. Build. Mater. 2021, 273, 122034. [Google Scholar] [CrossRef]
  24. Zhang, J.; Sakhaeifar, M.; Little, D.N.; Bhasin, A.; Kim, Y.-R. Characterization of Crack Growth Rate of Sulfur-Extended Asphalt Mixtures Using Cyclic Semicircular Bending Test. J. Mater. Civ. Eng. 2018, 30, 04018311. [Google Scholar] [CrossRef]
  25. Zhang, F.; Hu, C. The research for SBS and SBR compound modified asphalts with polyphosphoric acid and sulfur. Constr. Build. Mater. 2013, 43, 461–468. [Google Scholar] [CrossRef]
  26. JTG E20-2011; Standard Test Methods of Bitumen and Bituminous Mixtures for Highway Engineering. Research Institute of Highway Ministry of Transport: Beijing, China, 2011.
  27. Wang, S.; Huang, W.; Kang, A. Evaluation of Aging Characteristics of High-Viscosity Asphalt: Rheological Properties, Rutting Resistance, Temperature Sensitivity, Homogeneity, and Chemical Composition. J. Mater. Civ. Eng. 2021, 33, 04021149. [Google Scholar] [CrossRef]
  28. Hu, M.; Ma, J.; Sun, D.; Ling, S.; Lu, T.; Ni, H. Understanding the Aging Depth Gradient Distribution of High Viscosity Modified Asphalt under the Effect of Solar Radiation and Diffuse Oxygen. ACS Sustain. Chem. Eng. 2021, 9, 15175–15189. [Google Scholar] [CrossRef]
  29. Ābele, A.; Merijs-Meri, R.; Bērziņa, R.; Zicāns, J.; Haritonovs, V.; Ivanova, T. Effect of bio-oil on rheological and calorimetric properties of RTFOT aged bituminous compositions. Int. J. Pavement Res. Technol. 2021, 14, 537–542. [Google Scholar] [CrossRef]
  30. Chen, J.S.; Huang, C.C. Fundamental characterization of SBS-modified asphalt mixed with sulfur. J. Appl. Polym. Sci. 2007, 103, 2817–2825. [Google Scholar] [CrossRef] [Green Version]
  31. D’Angelo, J.A. The Relationship of the MSCR Test to Rutting. Road Mater. Pavement Des. 2009, 10, 61–80. [Google Scholar] [CrossRef]
Figure 1. Master curves of G* and δ of HCRMB with different amounts of sulfur: (a) G* master curves and (b) δ master curves.
Figure 1. Master curves of G* and δ of HCRMB with different amounts of sulfur: (a) G* master curves and (b) δ master curves.
Applsci 12 05417 g001
Figure 2. G* master curves evolution of HCRMB with different amounts of sulfur along with aging.
Figure 2. G* master curves evolution of HCRMB with different amounts of sulfur along with aging.
Applsci 12 05417 g002
Figure 3. Master curves evolution of HCRMB with different amounts of sulfur along with aging.
Figure 3. Master curves evolution of HCRMB with different amounts of sulfur along with aging.
Applsci 12 05417 g003
Figure 4. Evolution of the master curves of G’ and G’’ of HCRMB with different amounts of sulfur with aging.
Figure 4. Evolution of the master curves of G’ and G’’ of HCRMB with different amounts of sulfur with aging.
Applsci 12 05417 g004
Figure 5. G* and δ of HCRMB with different amounts of sulfur: (a) G* and (b) δ.
Figure 5. G* and δ of HCRMB with different amounts of sulfur: (a) G* and (b) δ.
Applsci 12 05417 g005
Figure 6. G* and δ of HCRMB with different amounts of sulfur after aging: (a) 70#, (b) 20TB_0.2Sul, (c) 20TB_0.4Sul, (d) 40TB_0.2Sul, and (e) 40TB_0.4Sul.
Figure 6. G* and δ of HCRMB with different amounts of sulfur after aging: (a) 70#, (b) 20TB_0.2Sul, (c) 20TB_0.4Sul, (d) 40TB_0.2Sul, and (e) 40TB_0.4Sul.
Applsci 12 05417 g006
Figure 7. Jnr of HCRMB with different amounts of sulfur: (a) Jnr0.1 and (b) Jnr3.2.
Figure 7. Jnr of HCRMB with different amounts of sulfur: (a) Jnr0.1 and (b) Jnr3.2.
Applsci 12 05417 g007
Figure 8. R of HCRMB with different amounts of sulfur: (a) R0.1 and (b) R3.2.
Figure 8. R of HCRMB with different amounts of sulfur: (a) R0.1 and (b) R3.2.
Applsci 12 05417 g008
Figure 9. Jnr3.2 and R3.2 of HCRMB with different amounts of sulfur after RTFOT and PAV: (a) 70#, (b) 20TB_0.2Sul, (c) 20TB_0.4Sul, (d) 40TB_0.2Sul, and (e) 40TB_0.4Sul.
Figure 9. Jnr3.2 and R3.2 of HCRMB with different amounts of sulfur after RTFOT and PAV: (a) 70#, (b) 20TB_0.2Sul, (c) 20TB_0.4Sul, (d) 40TB_0.2Sul, and (e) 40TB_0.4Sul.
Applsci 12 05417 g009
Figure 10. CAI and PAI of HCRMB with different amounts of sulfur after RTFOT: (a) CAI and (b) PAI.
Figure 10. CAI and PAI of HCRMB with different amounts of sulfur after RTFOT: (a) CAI and (b) PAI.
Applsci 12 05417 g010
Figure 11. CAI and PAI of HCRMB with different amounts of sulfur after PAV: (a) CAI and (b) PAI.
Figure 11. CAI and PAI of HCRMB with different amounts of sulfur after PAV: (a) CAI and (b) PAI.
Applsci 12 05417 g011
Figure 12. ATR-FTIR spectra of HCRMB with different amounts of sulfur before and after aging.
Figure 12. ATR-FTIR spectra of HCRMB with different amounts of sulfur before and after aging.
Applsci 12 05417 g012
Figure 13. ICA, ISi-O-Si, and IPB of HCRMB with different amounts of sulfur before and after aging: (a) ICA, (b) ISi-O-Si, and (c) IPB.
Figure 13. ICA, ISi-O-Si, and IPB of HCRMB with different amounts of sulfur before and after aging: (a) ICA, (b) ISi-O-Si, and (c) IPB.
Applsci 12 05417 g013
Table 1. Description of the composition of RMB and HCRMB with different amounts of sulfur.
Table 1. Description of the composition of RMB and HCRMB with different amounts of sulfur.
Binder TypeModification Plan
Sulfur, %CR, %
70#00
20TB_0.2Sul0.220
20TB_0.4Sul0.420
40TB_0.2Sul0.240
40TB_0.4Sul0.440
Table 2. Intersection points of HCRMB with different amounts of sulfur.
Table 2. Intersection points of HCRMB with different amounts of sulfur.
Sample NameThe Logarithm of Frequency Corresponding to the Intersection Point, Hz
VirginRTFOTPAV
70#2.0791.6801.112
20TB_0.2Sul2.2891.8341.569
20TB_0.4Sul2.2101.7661.348
40TB_0.2Sul3.5873.5083.045
40TB_0.4Sul3.5983.2462.641
Table 3. ICA of HCRMB with different amounts of sulfur before and after aging.
Table 3. ICA of HCRMB with different amounts of sulfur before and after aging.
Sample70#20TB_0.2Sul20TB_0.4Sul40TB_0.2Sul40TB_0.4Sul
ICAΔICAICAΔICAICAΔICAICAΔICAICAΔICA
Unaged0.049 0.024 0.016 0.008 0.015
RTFOT aging0.1260.0770.0460.0220.0520.0360.0590.0510.0730.058
PAV aging0.2490.2000.1790.1560.1800.1640.1740.1660.1840.169
Table 4. ISi-O-Si of HCRMB with different amounts of sulfur before and after aging.
Table 4. ISi-O-Si of HCRMB with different amounts of sulfur before and after aging.
Sample20TB_0.2Sul20TB_0.4Sul40TB_0.2Sul40TB_0.4Sul
ISi-O-SiΔISi-O-SiISi-O-SiΔISi-O-SiISi-O-SiΔISi-O-SiISi-O-SiΔISi-O-Si
Unaged0.225-0.290-0.443-0.438-
RTFOT aging0.3310.1060.3280.0380.4640.0210.4500.012
PAV aging0.3350.1100.3570.0670.4760.0340.4420.004
Publisher’s Note: MDPI stays neutral with regard to jurisdictional claims in published maps and institutional affiliations.

Share and Cite

MDPI and ACS Style

Wang, S.; Huang, W.; Liu, X.; Lin, P.; Ren, S.; Li, Y. Effect of High Content of Waste Tire Rubber and Sulfur on the Aging Behavior of Bitumen. Appl. Sci. 2022, 12, 5417. https://doi.org/10.3390/app12115417

AMA Style

Wang S, Huang W, Liu X, Lin P, Ren S, Li Y. Effect of High Content of Waste Tire Rubber and Sulfur on the Aging Behavior of Bitumen. Applied Sciences. 2022; 12(11):5417. https://doi.org/10.3390/app12115417

Chicago/Turabian Style

Wang, Sheng, Weidong Huang, Xueyan Liu, Peng Lin, Shisong Ren, and Yi Li. 2022. "Effect of High Content of Waste Tire Rubber and Sulfur on the Aging Behavior of Bitumen" Applied Sciences 12, no. 11: 5417. https://doi.org/10.3390/app12115417

APA Style

Wang, S., Huang, W., Liu, X., Lin, P., Ren, S., & Li, Y. (2022). Effect of High Content of Waste Tire Rubber and Sulfur on the Aging Behavior of Bitumen. Applied Sciences, 12(11), 5417. https://doi.org/10.3390/app12115417

Note that from the first issue of 2016, this journal uses article numbers instead of page numbers. See further details here.

Article Metrics

Back to TopTop