Improved Structural Local Thermal Energy Planning Based on Prosumer Profile: Part A
Abstract
1. Introduction
2. Materials and Methods
2.1. Current Methodologies
2.1.1. Kaya Identity Methodology
2.1.2. RenewIslands Methodology
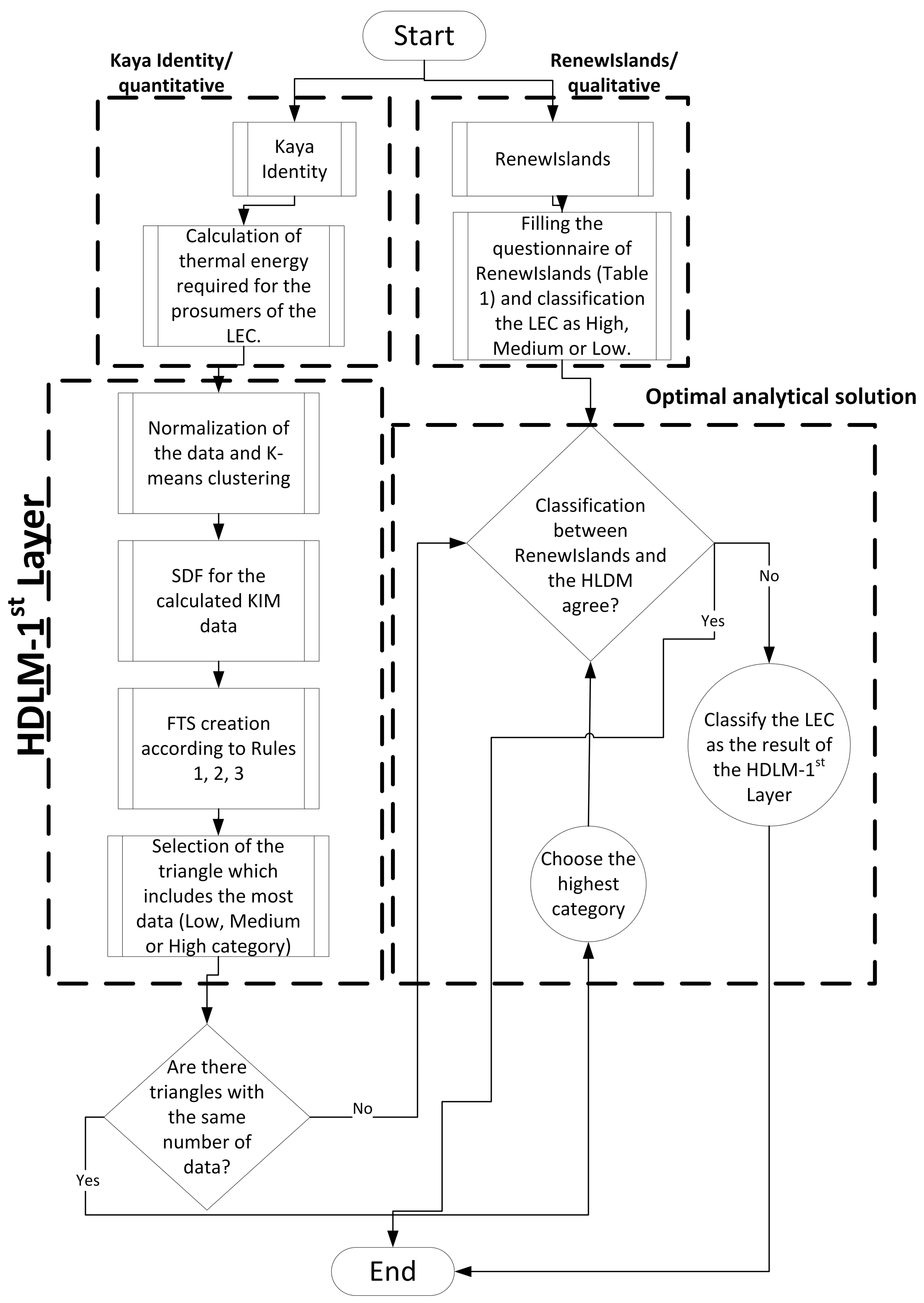
2.2. Proposed Methodology—Hierarchically-Dependent Layering Methodology (HDLM)
2.2.1. Classification of the Dataset—K-Means Clustering
2.2.2. Optimal Number of Clusters—“Elbow” Point
2.2.3. Normalization of the Dataset
2.2.4. K-Means Clustering
2.2.5. Statistical Distribution Fitting (SDF)
2.2.6. Fuzzy Triangular Sets (FTSs)
3. Case Study
3.1. Thermal Characteristics
3.2. KIM Application on Kimmeria’s LEC
3.3. RenewIslands Application on Kimmeria’s LEC
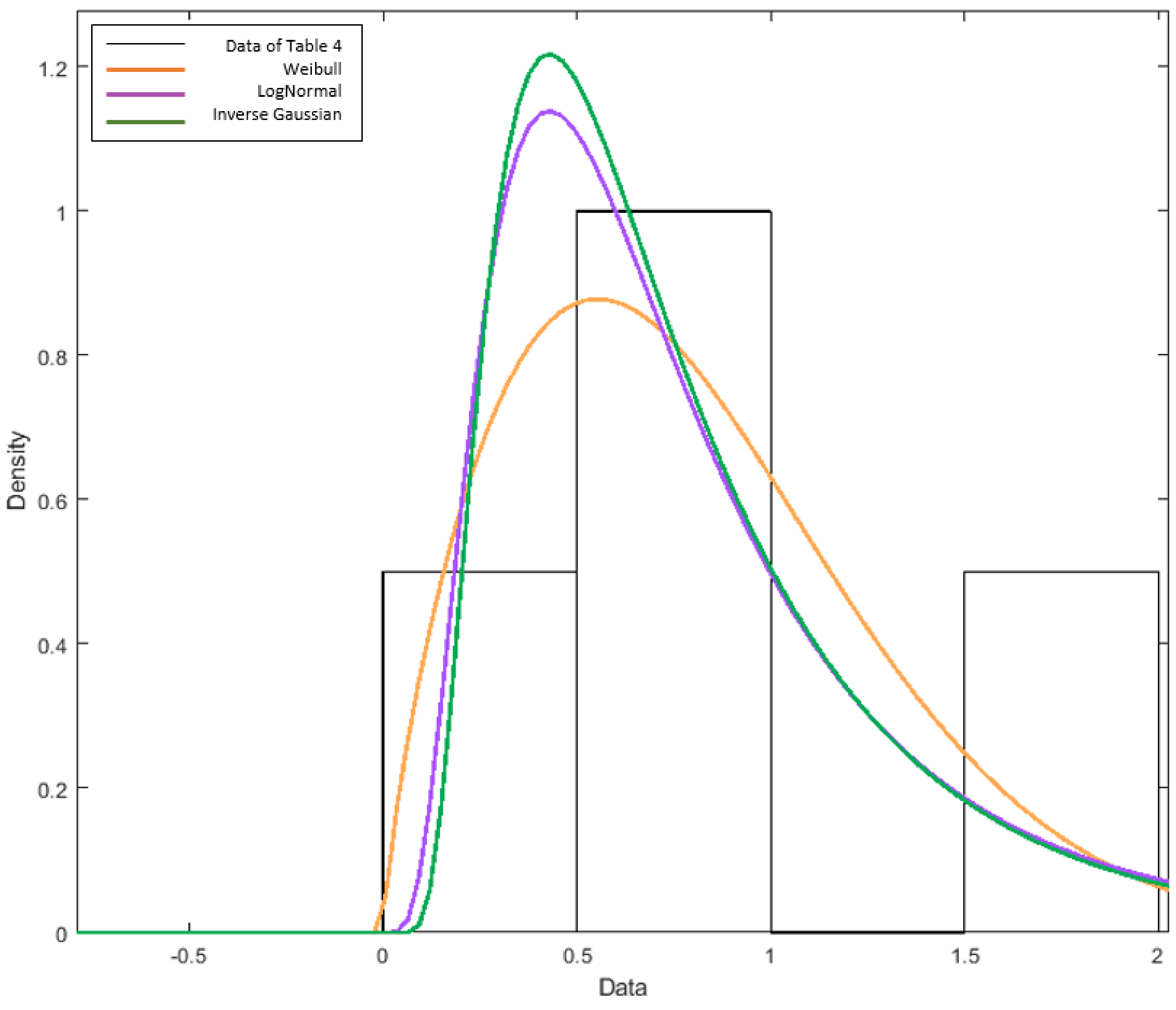
3.4. Distribution Fitting and FTS
4. Conclusions
Author Contributions
Funding
Institutional Review Board Statement
Informed Consent Statement
Data Availability Statement
Conflicts of Interest
References
- Capuano, L. International Energy Outlook 2018 (IEO2018); US Energy Information Administration (EIA): Washington, DC, USA, 2018; Volume 2018, p. 21. [Google Scholar]
- Cao, X.; Dai, X.; Liu, J. Building energy-consumption status worldwide and the state-of-the-art technologies for zero-energy buildings during the past decade. Energy Build. 2016, 128, 198–213. [Google Scholar] [CrossRef]
- Persson, U.; Möller, B.; Werner, S. Heat Roadmap Europe: Identifying strategic heat synergy regions. Energy Policy 2014, 74, 663–681. [Google Scholar] [CrossRef]
- Arentsen, M.; Bellekom, S. Power to the people: Local energy initiatives as seedbeds of innovation? Energy Sustain. Soc. 2014, 4, 2. [Google Scholar] [CrossRef]
- European Commission. Communication from the Commission to the European Parliament, the Council, the European Economic and Social Committee, and the Committee of the Regions. Towards Better Access to Scientific Information: Boosting the Benefits of Public Investments in Research; European Commission: Brussels, Belgium, 2012. [Google Scholar]
- Maris, G.; Flouros, F. The green deal, national energy and climate plans in Europe: Member States’ compliance and strategies. Adm. Sci. 2021, 11, 75. [Google Scholar] [CrossRef]
- Fouladvand, J.; Mouter, N.; Ghorbani, A.; Herder, P. Formation and continuation of thermal energy community systems: An explorative agent-based model for The Netherlands. Energies 2020, 13, 2829. [Google Scholar] [CrossRef]
- Petruschke, P.; Gasparovic, G.; Voll, P.; Krajačić, G.; Duić, N.; Bardow, A. A hybrid approach for the efficient synthesis of renewable energy systems. Appl. Energy 2014, 135, 625–633. [Google Scholar] [CrossRef]
- Langsdorf, S. EU Energy Policy: From the ECSC to the Energy Roadmap 2050; Green European Foundation: Brussels, Belgium, 2011. [Google Scholar]
- Sokolowski, M.M. European law on the energy communities: A long way to a direct legal framework. Eur. Energy Environ. Law Rev. 2018, 27, 60–70. [Google Scholar] [CrossRef]
- Papatsounis, A.G.; Botsaris, P.N.; Katsavounis, S. Thermal/Cooling Energy on Local Energy Communities: A Critical Review. Energies 2022, 15, 1117. [Google Scholar] [CrossRef]
- Botsaris, P.N.; Giourka, P.; Papatsounis, A.; Dimitriadou, P.; Goitia-Zabaleta, N.; Patsonakis, C. Developing a Business Case for a Renewable Energy Community in a Public Housing Settlement in Greece—The Case of a Student Housing and Its Challenges, Prospects and Barriers. Sustainability 2021, 13, 3792. [Google Scholar] [CrossRef]
- Sanduleac, M.; Ciornei, I.; Albu, M.; Toma, L.; Sturzeanu, M.; Martins, J.F. Resilient prosumer scenario in a changing regulatory environment—The UniRCon solution. Energies 2017, 10, 1941. [Google Scholar] [CrossRef]
- Fouquet, R. Lessons from energy history for climate policy: Technological change, demand and economic development. Energy Res. Soc. Sci. 2016, 22, 79–93. [Google Scholar] [CrossRef]
- Pena-Bello, A.; Schuetz, P.; Berger, M.; Worlitschek, J.; Patel, M.K.; Parra, D. Decarbonizing heat with PV-coupled heat pumps supported by electricity and heat storage: Impacts and trade-offs for prosumers and the grid. Energy Convers. Manag. 2021, 240, 114220. [Google Scholar] [CrossRef]
- Frangopoulos, C.; Spakovsky, M.V.; Sciubba, E. A brief review of methods for the design and synthesis optimization of energy systems. Int. J. Thermodyn. 2002, 5, 151–160. [Google Scholar]
- Caballero, V.; Vernet, D.; Zaballos, A. A Heuristic to Create Prosumer Community Groups in the Social Internet of Energy. Sensors 2020, 20, 3704. [Google Scholar] [CrossRef]
- Howind, S.; Bauer, V.; Wendt, A.; Franzl, G.; Sauter, T.; Wilker, S. Prosumer and Demand-Side Management Impact on Rural Communities’ Energy Balance. In Proceedings of the 2020 25th IEEE International Conference on Emerging Technologies and Factory Automation (ETFA), Vienna, Austria, 8–11 September 2020; Volume 1, pp. 768–773. [Google Scholar]
- Almeida, V.A.; de A.L. Rabelo, R.; Carvalho, A.; Rodrigues, J.J.; Solic, P. Aligning the interests of prosumers and utilities through a two-step demand-response approach. J. Clean. Prod. 2021, 323, 128993. [Google Scholar] [CrossRef]
- Mathiesen, B.V.; Lund, H.; Karlsson, K. 100% Renewable energy systems, climate mitigation and economic growth. Appl. Energy 2011, 88, 488–501. [Google Scholar] [CrossRef]
- Ostergaard, P.A. Reviewing EnergyPLAN simulations and performance indicator applications in EnergyPLAN simulations. Appl. Energy 2015, 154, 921–933. [Google Scholar] [CrossRef]
- Bahramian, F.; Akbari, A.; Nabavi, M.; Esfandi, S.; Naeiji, E.; Issakhov, A. Design and tri-objective optimization of an energy plant integrated with near-zero energy building including energy storage: An application of dynamic simulation. Sustain. Energy Technol. Assess. 2021, 47, 101419. [Google Scholar] [CrossRef]
- Abu-Hamdeh, N.H.; Alnefaie, K.A. Energy and exergy analysis and optimum working conditions of a renewable energy system using a transient systems simulation program. Energy Explor. Exploit. 2020, 38, 1248–1261. [Google Scholar] [CrossRef]
- Habib, M.F.; Ali, M.; Sheikh, N.A.; Badar, A.W.; Mehmood, S. Building thermal load management through integration of solar assisted absorption and desiccant air conditioning systems: A model-based simulation-optimization approach. J. Build. Eng. 2020, 30, 101279. [Google Scholar] [CrossRef]
- Ding, X.; Guo, Q.; Qiannan, T.; Jermsittiparsert, K. Economic and environmental assessment of multi-energy microgrids under a hybrid optimization technique. Sustain. Cities Soc. 2021, 65, 102630. [Google Scholar] [CrossRef]
- Dominković, D.F.; Stunjek, G.; Blanco, I.; Madsen, H.; Krajać, G. Technical, economic and environmental optimization of district heating expansion in an urban agglomeration. Energy 2020, 197, 117243. [Google Scholar] [CrossRef]
- Lichtenegger, K.; Leitner, A.; Märzinger, T.; Mair, C.; Moser, A.; Wöss, D.; Schmidl, C.; Pröll, T. Decentralized heating grid operation: A comparison of centralized and agent-based optimization. Sustain. Energy Grids Netw. 2020, 21, 100300. [Google Scholar] [CrossRef]
- Koohi-Fayegh, S.; Rosen, M.A. Optimization of seasonal storage for community-level energy systems: Status and needs. Energy Ecol. Environ. 2017, 2, 169–181. [Google Scholar] [CrossRef][Green Version]
- Zekić-Sušac, M.; Has, A.; Kneć, M. Predicting energy cost of public buildings by artificial neural networks, CART, and random forest. Neurocomputing 2021, 439, 223–233. [Google Scholar] [CrossRef]
- Hock, D.; Kappes, M. Using the Entropy for Typical Load Curve Classification. In Proceedings of the 2018 International Conference on Smart Grid and Clean Energy Technologies (ICSGCE), Kajang, Malaysia, 29 May–1 June 2018; pp. 58–64. [Google Scholar]
- Chen, F.; Duic, N.; Alves, L.M.; da Graça Carvalho, M. Renewislands—Renewable energy solutions for islands. Renew. Sustain. Energy Rev. 2007, 11, 1888–1902. [Google Scholar] [CrossRef]
- Ürge-Vorsatz, D.; Cabeza, L.F.; Serrano, S.; Barreneche, C.; Petrichenko, K. Heating and cooling energy trends and drivers in buildings. Renew. Sustain. Energy Rev. 2015, 41, 85–98. [Google Scholar] [CrossRef]
- Liu, J.; Jin, T.H.; Shin, K.Y. Parametric study on a simplified model for the estimation of the heating and the cooling loads of a closed-span greenhouse: A case study in Korea. J. Mech. Sci. Technol. 2021, 35, 333–341. [Google Scholar] [CrossRef]
- Duić, N.; Krajać, G.; da Graça Carvalho, M. RenewIslands methodology for sustainable energy and resource planning for islands. Renew. Sustain. Energy Rev. 2008, 12, 1032–1062. [Google Scholar] [CrossRef]
- Zheng, L.; Li, Y.; Wei, C.; Bai, X. A data-driven method for operation pattern analysis of the integrated energy microgrid. Energy Convers. Manag. X 2021, 11, 100092. [Google Scholar] [CrossRef]
- Wu, J. Advances in K-Means Clustering: A Data Mining Thinking; Springer Science & Business Media: Berlin/Heidelberg, Germany, 2012. [Google Scholar]
- Das, T.; Paitnaik, S.; Mishra, S.P. Identification of the Optimal Number of Clusters in Textual Data; Springer: Singapore, 2022. [Google Scholar]
- Hatagami, Y.; Matsuka, T. Text mining with an augmented version of the bisecting k-means algorithm. In Proceedings of the International Conference on Neural Information Processing, Bangkok, Thailand, 1–5 December 2009; pp. 352–359. [Google Scholar]
- Yu, H.; Yin, Q.; Guo, P. Enlightening the Relationship Between Distribution and Regression Fitting. In Proceedings of the International Conference on Intelligence Science, Shanghai, China, 25–28 October 2017; pp. 222–227. [Google Scholar]
- Arutkin, M.; Faranda, D.; Alberti, T.; Vallée, A. Delayed epidemic peak caused by infection and recovery rate fluctuations. Chaos Interdiscip. J. Nonlinear Sci. 2021, 31, 101107. [Google Scholar] [CrossRef] [PubMed]
- Odry, J.; Arnaud, P. Comparison of flood frequency analysis methods for ungauged catchments in France. Geosciences 2017, 7, 88. [Google Scholar] [CrossRef]
- Paolella, M.S. Fundamental Statistical Inference: A Computational Approach; John Wiley & Sons: Hoboken, NJ, USA, 2018; Volume 216. [Google Scholar]
- Chen, G.; Pham, T.T.; Boustany, N.M. Introduction to fuzzy sets, fuzzy logic, and fuzzy control systems. Appl. Mech. Rev. 2001, 54, 102–103. [Google Scholar] [CrossRef]
- Botsaris, P.N.; Lymperopoulos, K.; Pechtelidis, A. Preliminary evaluation of operational results of RES systems integrated in students’ residences in Xanthi, Greece. IOP Conf. Ser. Earth Environ. Sci. 2020, 410, 012048. [Google Scholar] [CrossRef]
- Droutsa, K.G.; Kontoyiannidis, S.; Dascalaki, E.G.; Balaras, C.A. Mapping the energy performance of hellenic residential buildings from EPC (energy performance certificate) data. Energy 2016, 98, 284–295. [Google Scholar] [CrossRef]






| Needs/Resources | Level |
|---|---|
| Heating | Low/Medium/High |
| Cooling | Low/Medium/High |
| Energy infrastructure | |
| Grid connection | Strong/Weak |
| District hot water network | Yes/No |
| Natural gas pipeline | Yes/No |
| LNG terminal | Yes/No |
| Oil terminal/refinery | Yes/No |
| Oil derivatives | Yes/No |
| Building | Residents (p) | Specific Thermal Energy Consumption (kWhth/m2) | Buildings’ Useful Heated Area (A) — the Total Area | Eresid (MWhth/y) |
|---|---|---|---|---|
| A1 | 68 | 218.81 | 1014.54 m2 | 225.22 |
| A2 | 59 | 198.65 | 891 m2 | 157.70 |
| B1 | 103 | 183.99 | 1402.22 m2 | 361.77 |
| B2 | 66 | 179.88 | 950.63 m2 | 162.55 |
| C1 | 68 | 218.81 | 1014.54 m2 | 225.22 |
| C2 | 59 | 198.65 | 891 m2 | 157.70 |
| D1 | 103 | 183.99 | 1402.22 m2 | 361.77 |
| D2 | 66 | 179.88 | 950.63 m2 | 162.55 |
| Needs/Resources | Level |
|---|---|
| Heating | High |
| Cooling | Medium |
| Energy Infrastructure | |
| Grid connection | Strong |
| District hot water network | Yes |
| Natural gas pipeline | No |
| LNG terminal | No |
| Oil terminal/refinery | Yes |
| Oil derivatives terminal | No |
| Building | Normalized Eresid. |
|---|---|
| A1 | −0.289 |
| A2 | −0.762 |
| B1 | 1.594 |
| B2 | −0.541 |
| C1 | −0.289 |
| C2 | −0.762 |
| D1 | 1.594 |
| D2 | −0.541 |
Publisher’s Note: MDPI stays neutral with regard to jurisdictional claims in published maps and institutional affiliations. |
© 2022 by the authors. Licensee MDPI, Basel, Switzerland. This article is an open access article distributed under the terms and conditions of the Creative Commons Attribution (CC BY) license (https://creativecommons.org/licenses/by/4.0/).
Share and Cite
Papatsounis, A.G.; Botsaris, P.N.; Katsavounis, S. Improved Structural Local Thermal Energy Planning Based on Prosumer Profile: Part A. Appl. Sci. 2022, 12, 5355. https://doi.org/10.3390/app12115355
Papatsounis AG, Botsaris PN, Katsavounis S. Improved Structural Local Thermal Energy Planning Based on Prosumer Profile: Part A. Applied Sciences. 2022; 12(11):5355. https://doi.org/10.3390/app12115355
Chicago/Turabian StylePapatsounis, Adamantios G., Pantelis N. Botsaris, and Stefanos Katsavounis. 2022. "Improved Structural Local Thermal Energy Planning Based on Prosumer Profile: Part A" Applied Sciences 12, no. 11: 5355. https://doi.org/10.3390/app12115355
APA StylePapatsounis, A. G., Botsaris, P. N., & Katsavounis, S. (2022). Improved Structural Local Thermal Energy Planning Based on Prosumer Profile: Part A. Applied Sciences, 12(11), 5355. https://doi.org/10.3390/app12115355

