Effects of Streamwise Sinusoidal Flow on the Aerodynamic Characteristics of a Box Girder
Abstract
:1. Introduction
2. Experimental and Numerical Setups
2.1. Experimental Tests
2.2. Numerical Methods
2.2.1. Computational Details
2.2.2. Spatial and Temporal Discretization
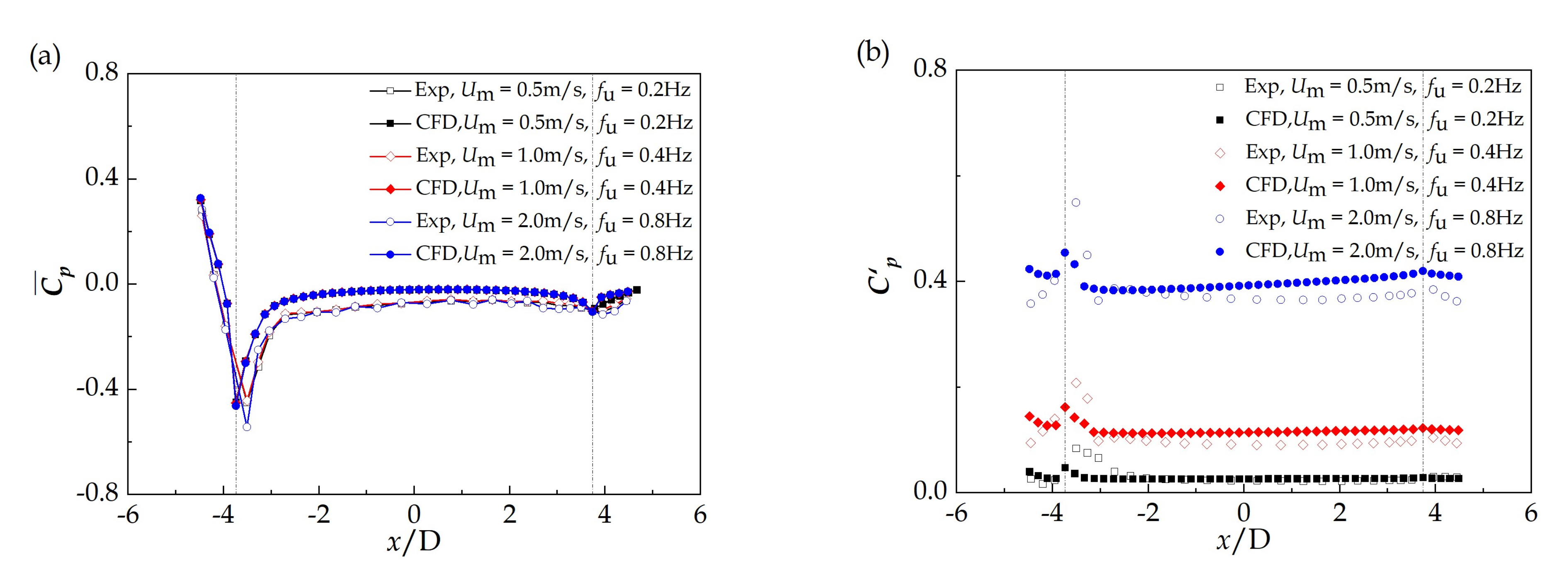
2.3. Validations
3. Effects of Streamwise Sinusoidal Flow on Pressure Characteristics
3.1. The Pressure Characteristics
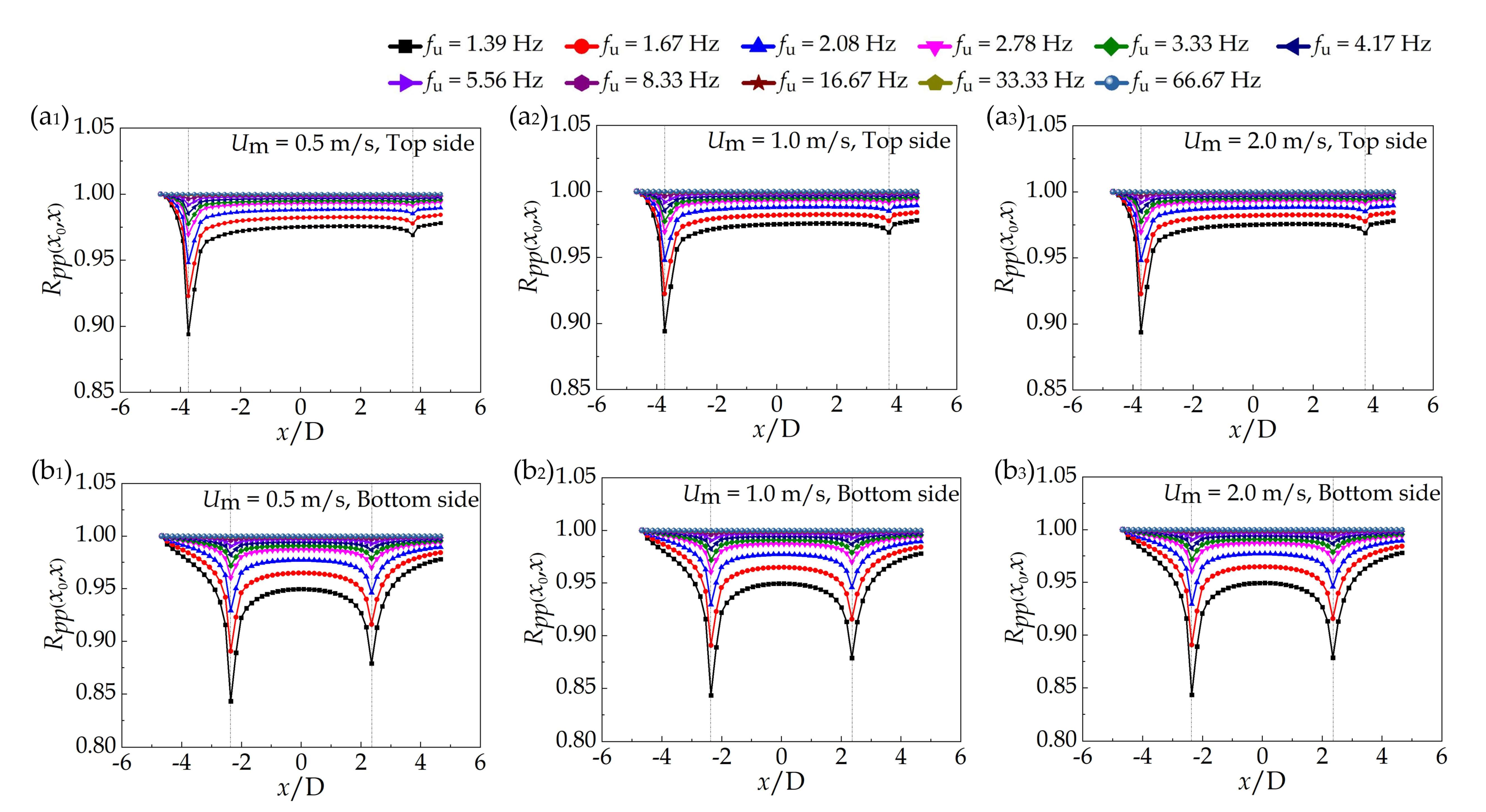
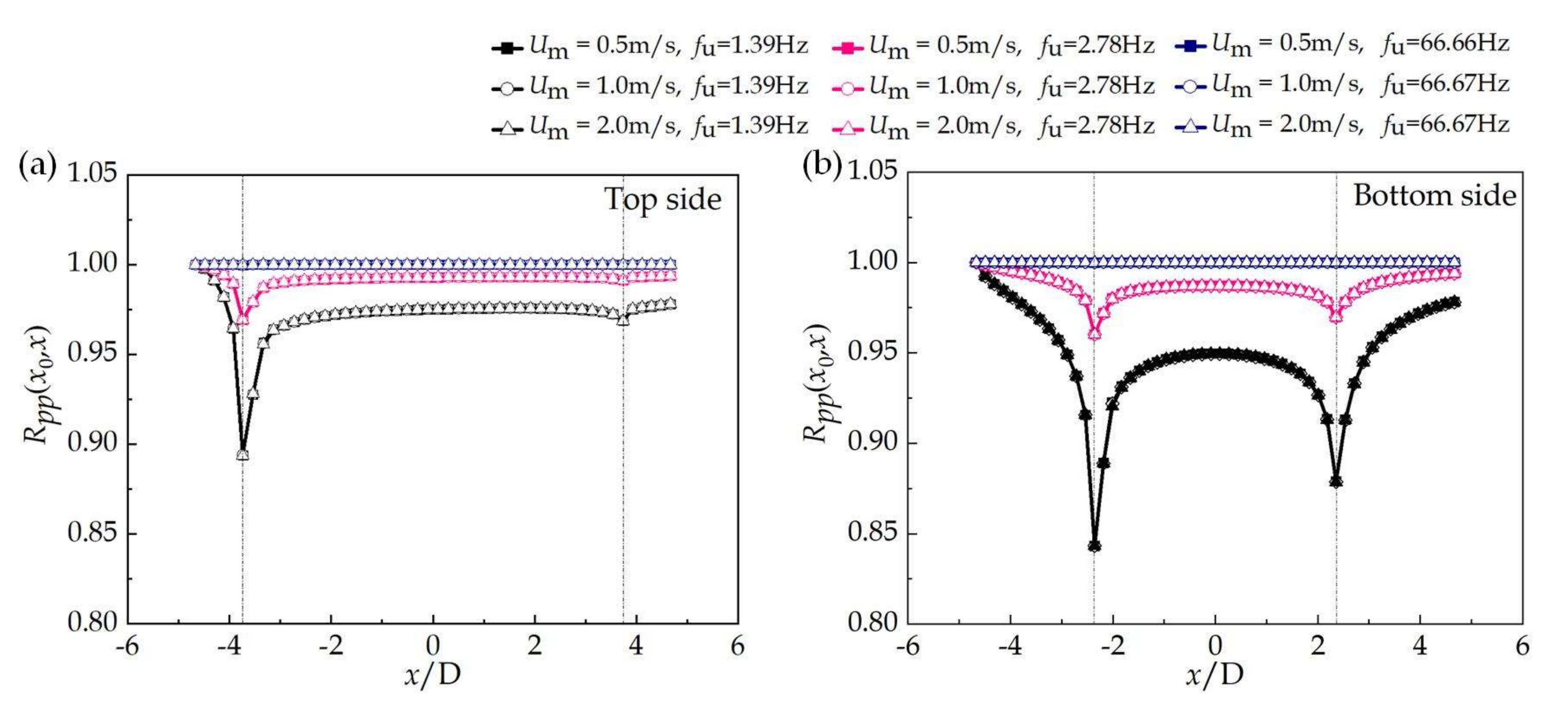
3.2. Streamwise Correlations
3.3. Non-Gaussian Features
4. Effect of Streamwise Sinusoidal Flow on Total Forces
4.1. Mean and RMS Forces
4.2. Frequency Domain Features
5. Effects of Streamwise Sinusoidal Flow on Separated Flow
5.1. Flow Separation and Reattachment
5.2. Wake Characteristics
6. Conclusions
- (1)
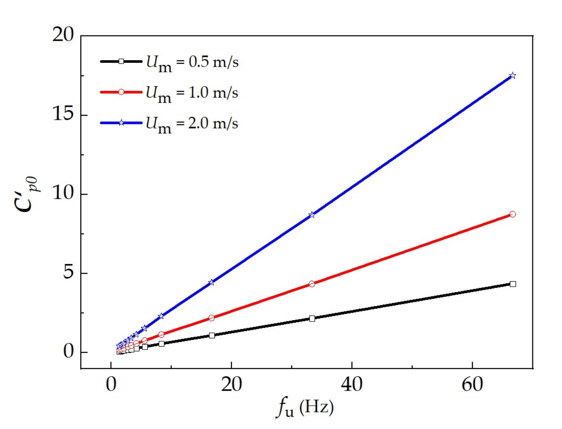
- The time-averaged flow separation and mean pressure coefficients of the closed box girder are insensitive to the oscillating frequency and amplitude of the sinusoidal oscillating inflow. However, the characteristics of the sinusoidal oscillating inflow influence the fluctuating pressure coefficients significantly;
- (2)
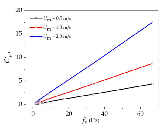
- The inflow oscillating frequency and amplitude have a significant influence on the fluctuating lift and drag forces. The fluctuating drag forces increase linearly with the oscillating frequency;
- (3)
- The wake vortex shedding is highly correlated to the inflow oscillating frequency and amplitude. There are three significant vortex shedding modes, and more obvious vortex shedding can be observed with higher inflow oscillating frequencies and amplitudes.
Author Contributions
Funding
Institutional Review Board Statement
Informed Consent Statement
Data Availability Statement
Conflicts of Interest
References
- Xin, J.Z.; Jiang, Y.; Zhou, J.T.; Peng, L.L.; Liu, S.Y.; Tang, Q.Z. Bridge deformation prediction based on SHM data using improved VMD and conditional KDE. Eng. Struct. 2022, 261, 114285. [Google Scholar] [CrossRef]
- Tang, Q.Z.; Xin, J.Z.; Jiang, Y.; Zhou, J.T.; Li, S.J.; Chen, Z.Y. Novel identification technique of moving loads using the random response power spectral density and deep transfer learning. Measurement 2022, 195, 111120. [Google Scholar] [CrossRef]
- Li, H.H.; Zhang, L.L.; Wu, B.; Ni, Z.J.; Yang, Y. Effects of the angle of attack on the aerodynamic characteristics of a streamlined box girder. Adv. Struct. Eng. 2021, 24, 2090–2104. [Google Scholar] [CrossRef]
- Zhu, S.; Li, Y.; Shen, J.; Zhan, Y. Optimization of vortex-induced vibration of flat steel box girders at large attack angle by wind tunnel test. China Civ. Eng. J. 2015, 48, 79–86. (in Chinese). [Google Scholar] [CrossRef]
- Li, H.H.; Zhang, L.L.; Wu, B.; Yang, Y.; Xiao, Z. Investigation of the 2D Aerodynamic Admittances of a Closed-Box Girder in Sinusoidal Flow Field. KSCE J. Civ. Eng. 2021, 26, 1267–1281. [Google Scholar] [CrossRef]
- Wu, B.; Li, S.; Li, K.; Zhang, L.L. Experimental determination of the two-dimensional aerodynamic admittances of a 5:1 rectangular cylinder in streamwise sinusoidal flows. J. Wind Eng. Ind. Aerodyn. 2021, 210, 104525. [Google Scholar] [CrossRef]
- Cao, S.Y.; Ming, L. Numerical study of flow over a circular cylinder in oscillatory flows with zero-mean and non-zero-mean velocities. J. Wind Eng. Ind. Aerodyn. 2015, 144, 42–52. [Google Scholar] [CrossRef]
- Morison, J.R.; O’Brien, M.P.; Johnson, J.W.; Schaaf, S.A. The force exerted by surface waves on piles. J. Pet. Technol. 1950, 2, 149–154. [Google Scholar] [CrossRef]
- Keulegan, G.; Carpenter, L. Forces on cylinders and plates in an oscillating fluid. J. Res. Natl. Inst. Stand. Technol. 1958, 60, 423. [Google Scholar] [CrossRef]
- Williamson, C. Sinusoidal flow relative to circular cylinders. J. Fluid Mech. 1985, 155, 141–174. [Google Scholar] [CrossRef]
- Obasaju, E.D.; Bearman, P.W.; Graham, J.M.R. A study of forces, circulation and vortex patterns around a circular cylinder in oscillating flow. J. Fluid Mech. 1988, 196, 467–494. [Google Scholar] [CrossRef]
- Nomura, T.; Suzuki, Y.; Uemura, M.; Kobayashi, N. Aerodynamic forces on a square cylinder in oscillating flow with mean velocity. J. Wind Eng. Ind. Aerodyn. 2003, 91, 199–208. [Google Scholar] [CrossRef]
- Chen, C.C.; Fang, F.M.; Li, Y.C.; Huang, L.-M.; Chung, C.Y. Fluid forces on a square cylinder in oscillating flows with non-zero-mean velocities. Int. J. Numer. Methods Fluids 2008, 60, 79–93. [Google Scholar] [CrossRef]
- Zhao, M.; Cheng, L.; An, H.-W. Three-dimensional numerical simulation of flow around a circular cylinder under combined steady and oscillatory flow. J. Hydrodyn. 2010, 22, 144–149. [Google Scholar] [CrossRef]
- Ribner, H.S. Spectral theory of buffeting and gust response: Unification and extension. J. Aeron Sci. 2015, 23, 1075–1077. [Google Scholar] [CrossRef]
- Ma, T.T.; Zhao, L.; Cao, S.Y.; Ge, Y.J.; Miyagi, H. Investigations of aerodynamic effects on streamlined box girder using two-dimensional actively-controlled oncoming flow. J. Wind Eng. Ind. Aerodyn. 2013, 122, 118–129. [Google Scholar] [CrossRef]
- Wang, J.; Ma, C.; Dragomirescu, E.; Chen, X.; Yang, Y. Two-Dimensional Aerodynamic Admittance of a Flat Closed-Box Bridge. J. Struct. Eng. 2021, 147, 04020359. [Google Scholar] [CrossRef]















| Reference | Geometry | Sinusoidal flow | Method | Conclusion |
|---|---|---|---|---|
| Morison (1950) [8] | cylinder | low frequency | wind tunnel | Morison equation |
| Obasaju et al. (1988) [11] | cylinder | low frequency | wind tunnel | flow patterns |
| Nomura et al. (2003) [12] | cylinder | low frequency | wind tunnel | aerodynamic force |
| Chen et al. (2010) [13] | cylinder | low frequency | CFD | aerodynamic force |
| Zhao et al. (2010) [14] | cylinder | low frequency | CFD | flow patterns |
| Ma et al. (2013) [16] | box girder | low frequency | wind tunnel | aerodynamic admittance functions |
| Wang et al. (2021) [17] | box girder | low frequency | wind tunnel | aerodynamic admittance functions |
| Um (m/s) | 0.5; 1.0; 2.0 | ||||||||||
|---|---|---|---|---|---|---|---|---|---|---|---|
| KC | 0.25 | 0.5 | 1.0 | 2.0 | 3.0 | 4.0 | 5.0 | 6.0 | 8.0 | 10.0 | 12.0 |
| fu (Hz) | 66.67 | 33.33 | 16.67 | 8.33 | 5.56 | 4.17 | 3.33 | 2.78 | 2.08 | 1.67 | 1.39 |
Publisher’s Note: MDPI stays neutral with regard to jurisdictional claims in published maps and institutional affiliations. |
© 2022 by the authors. Licensee MDPI, Basel, Switzerland. This article is an open access article distributed under the terms and conditions of the Creative Commons Attribution (CC BY) license (https://creativecommons.org/licenses/by/4.0/).
Share and Cite
Li, H.; Zhang, L.; Wu, B.; Xiao, Z. Effects of Streamwise Sinusoidal Flow on the Aerodynamic Characteristics of a Box Girder. Appl. Sci. 2022, 12, 5341. https://doi.org/10.3390/app12115341
Li H, Zhang L, Wu B, Xiao Z. Effects of Streamwise Sinusoidal Flow on the Aerodynamic Characteristics of a Box Girder. Applied Sciences. 2022; 12(11):5341. https://doi.org/10.3390/app12115341
Chicago/Turabian StyleLi, Haohong, Liangliang Zhang, Bo Wu, and Zhao Xiao. 2022. "Effects of Streamwise Sinusoidal Flow on the Aerodynamic Characteristics of a Box Girder" Applied Sciences 12, no. 11: 5341. https://doi.org/10.3390/app12115341
APA StyleLi, H., Zhang, L., Wu, B., & Xiao, Z. (2022). Effects of Streamwise Sinusoidal Flow on the Aerodynamic Characteristics of a Box Girder. Applied Sciences, 12(11), 5341. https://doi.org/10.3390/app12115341
