Application of Laser-Induced Breakdown Spectroscopy Combined with Chemometrics for Identification of Penicillin Manufacturers
Abstract
:1. Introduction
2. Materials and Methods
2.1. LIBS Experimental Setup
2.2. Sample Preparation and Measurement of Penicillin Samples
2.3. Data Analysis of Penicillin Samples
2.3.1. Spectral Selection and Data Preprocessing of Penicillin Samples
2.3.2. Methods
3. Results and Discussion
3.1. LIBS Spectra
3.2. Feature Selection
3.3. Identification of Penicillin Manufacturers
4. Conclusions
Author Contributions
Funding
Institutional Review Board Statement
Informed Consent Statement
Data Availability Statement
Conflicts of Interest
References
- Girmatsion, M.; Mahmud, A.; Abraha, B.; Xie, Y.; Cheng, Y.; Yu, H.; Yao, W.; Guo, Y.; Qian, H. Rapid detection of antibiotic residues in animal products using surface-enhanced Raman Spectroscopy: A review. Food Control 2021, 126, 108019. [Google Scholar] [CrossRef]
- Li, L.Q.; Pan, X.P.; Feng, Y.C.; Yin, L.H.; Hu, C.Q.; Yang, H.H. Deep convolution network application in identification of multi-variety and multi-manufacturer pharmaceutical. Spectrosc. Spect. Anal. 2019, 39, 3606–3613. [Google Scholar]
- Liu, Y.G.; Tan, P.; Li, F.; Qiao, Y.J. Study on the aconitine-type alkaloids of Radix Aconiti Lateralis and its processed products using HPLC-ESI-MSn. Drug Test. Anal. 2013, 5, 480–484. [Google Scholar] [CrossRef]
- Nithaniyal, S.; Vassou, S.L.; Poovitha, S.; Raju, B.; Parani, M. Identification of species adulteration in traded medicinal plant raw drugs using DNA barcoding. Genome 2017, 60, 139–146. [Google Scholar] [CrossRef] [Green Version]
- Wei, K.; Cui, X.T.; Teng, G.E.; Khan, M.N.; Wang, Q.Q. Distinguish Fritillaria cirrhosa and non-Fritillaria cirrhosa using la-ser-induced breakdown spectroscopy. Plasma Sci. Technol. 2021, 23, 085507. [Google Scholar] [CrossRef]
- Zhang, H.; Hua, D.; Huang, C.; Samal, S.K.; Xiong, R.; Sauvage, F.; Braeckmans, K.; Remaut, K.; De Smedt, S.C. Materials and Technologies to Combat Counterfeiting of Pharmaceuticals: Current and Future Problem Tackling. Adv. Mater. 2020, 32, e1905486. [Google Scholar] [CrossRef]
- Wilson, B.K.; Kaur, H.; Allan, E.L.; Lozama, A.; Bell, D. A New Handheld Device for the Detection of Falsified Medicines: Demonstration on Falsified Artemisinin-Based Therapies from the Field. Am. J. Trop. Med. Hyg. 2017, 96, 1117–1123. [Google Scholar] [CrossRef] [Green Version]
- Scafi, S.H.F.; Pasquini, C. Identification of counterfeit drugs using near-infrared spectroscopy. Analyts 2001, 126, 2218–2224. [Google Scholar] [CrossRef] [Green Version]
- Paudel, A.; Raijada, D.; Rantanen, J. Raman spectroscopy in pharmaceutical product design. Adv. Drug Deliv. Rev. 2015, 89, 3–20. [Google Scholar] [CrossRef] [Green Version]
- De Veij, M.; Vandenabeele, P.; Hall, K.A.; Fernandez, F.M.; Green, M.D.; White, N.J.; Dondorp, A.M.; Newton, P.N.; Moens, L. Fast detection and identification of counterfeit antimalarial tablets by Raman spectroscopy. J. Raman Spectrosc. 2007, 38, 181–187. [Google Scholar] [CrossRef]
- Dong, P.K.; Zhao, S.Y.; Zheng, K.X.; Wang, J.; Gao, X.; Hao, Z.Q.; Lin, J.Q. Rapid identification of ginseng origin by laser induced breakdown spectroscopy combined with neural network and support vector machine algorithm. Acta Phys. Sin. 2021, 70, 040201. [Google Scholar]
- Gaft, M.; Nagli, L.; Gorychev, A.; Raichlin, Y. Atomic and molecular emission of beryllium by LIBS. Spectrochim. Acta B 2021, 182, 106233. [Google Scholar] [CrossRef]
- Dietz, T.; Gottlieb, C.; Kohns, P.; Ankerhold, G. Comparison of atomic and molecular emission in laser-induced breakdown spectroscopy for the quantification of harmful species in cement-based materials. Spectrochim. Acta B 2019, 161, 105707. [Google Scholar] [CrossRef]
- Wang, Q.; Teng, G.; Li, C.; Zhao, Y.; Peng, Z. Identification and classification of explosives using semi-supervised learning and laser-induced breakdown spectroscopy. J. Hazard. Mater. 2019, 369, 423–429. [Google Scholar] [CrossRef]
- Moros, J.; Serrano, J.; Sánchez, C.; Macías, J.; Laserna, J.J. New chemometrics in laser-induced breakdown spectroscopy for recognizing explosive residues. J. Anal. At. Spectrom. 2012, 27, 2111–2122. [Google Scholar] [CrossRef]
- Teng, G.E.; Wang, Q.Q.; Zhong, H.W.; Xiangli, W.T.; Yang, H.F.; Qi, X.L.; Cui, X.T.; Idrees, B.S.; Kai, W.; Khan, M.N. Discrimination of infiltrative glioma boundary based on laser-induced breakdown spectroscopy. Spectrochim. Acta B 2020, 165, 105787. [Google Scholar] [CrossRef]
- Wang, Q.; Xiangli, W.; Chen, X.; Zhang, J.; Teng, G.; Cui, X.; Idrees, B.S.; Wei, K. Primary study of identification of parathyroid gland based on laser-induced breakdown spectroscopy. Biomed. Opt. Express 2021, 12, 1999–2014. [Google Scholar] [CrossRef]
- Kim, K.-R.; Kim, G.; Kim, J.-Y.; Park, K.; Kim, K.-W. Kriging interpolation method for laser induced breakdown spectroscopy (LIBS) analysis of Zn in various soils. J. Anal. At. Spectrom. 2013, 29, 76–84. [Google Scholar] [CrossRef]
- Wang, T.; He, M.; Shen, T.; Liu, F.; He, Y.; Liu, X.; Qiu, Z. Multi-element analysis of heavy metal content in soils using laser-induced breakdown spectroscopy: A case study in eastern China. Spectrochim. Acta B 2018, 149, 300–312. [Google Scholar] [CrossRef]
- Huang, W.; He, C.; Wang, Y.; Zhao, W.; Qiu, L. Confocal controlled LIBS microscopy with high spatial resolution and stability. J. Anal. At. Spectrom. 2020, 35, 2530–2535. [Google Scholar] [CrossRef]
- Yu, J.; Hou, Z.; Sheta, S.; Dong, J.; Han, W.; Lu, T.; Wang, Z. Provenance classification of nephrite jades using multivariate LIBS: A comparative study. Anal. Methods 2017, 10, 281–289. [Google Scholar] [CrossRef]
- He, T.; Liang, J.; Tang, H.; Zhang, T.; Yan, C.; Li, H. Quantitative analysis of coal quality by mutual information-particle swarm optimization (MI-PSO) hybrid variable selection method coupled with spectral fusion strategy of laser-induced breakdown spectroscopy (LIBS) and fourier transform infrared spectroscopy (FTIR). Spectrochim. Acta B 2021, 178, 106112. [Google Scholar] [CrossRef]
- Palásti, D.; Metzinger, A.; Ajtai, T.; Bozóki, Z.; Hopp, B.; Kovács-Széles, E.; Galbács, G. Qualitative discrimination of coal aerosols by using the statistical evaluation of laser-induced breakdown spectroscopy data. Spectrochim. Acta B 2019, 153, 34–41. [Google Scholar] [CrossRef] [Green Version]
- Stefas, D.; Gyftokostas, N.; Kourelias, P.; Nanou, E.; Kokkinos, V.; Bouras, C.; Couris, S. Discrimination of olive oils based on the olive cultivar origin by machine learning employing the fusion of emission and absorption spectroscopic data. Food Control 2021, 130, 108318. [Google Scholar] [CrossRef]
- Nespeca, M.G.; Vieira, A.L.; Júnior, D.S.; Neto, J.A.G.; Ferreira, E.C. Detection and quantification of adulterants in honey by LIBS. Food Chem. 2019, 311, 125886. [Google Scholar] [CrossRef]
- Aldakheel, R.; Gondal, M.; Nasr, M.; Dastageer, M.; Almessiere, M. Quantitative elemental analysis of nutritional, hazardous and pharmacologically active elements in medicinal Rhatany root using laser induced breakdown spectroscopy. Arab. J. Chem. 2020, 14, 102919. [Google Scholar] [CrossRef]
- Nisar, S.; Dastgeer, G.; Shafiq, M.; Usman, M. Qualitative and semi-quantitative analysis of health-care pharmaceutical products using laser-induced breakdown spectroscopy. J. Pharm. Anal. 2018, 9, 20–24. [Google Scholar] [CrossRef]
- Doucet, F.R.; Faustino, P.J.; Sabsabi, M.; Lyon, R.C. Quantitative molecular analysis with molecular bands emission using laser-induced breakdown spectroscopy and chemometrics. J. Anal. At. Spectrom. 2008, 23, 694–701. [Google Scholar] [CrossRef] [Green Version]
- Zhao, S.; Song, W.; Hou, Z.; Wang, Z. Classification of ginseng according to plant species, geographical origin, and age using laser-induced breakdown spectroscopy and hyperspectral imaging. J. Anal. At. Spectrom. 2021, 36, 1704–1711. [Google Scholar] [CrossRef]
- Zhang, D.; Ding, J.; Feng, Z.; Yang, R.; Yang, Y.; Yu, S.; Xie, B.; Zhu, J. Origin identification of Ginkgo biloba leaves based on laser-induced breakdown spectroscopy (LIBS). Spectrochim. Acta B 2021, 180, 106192. [Google Scholar] [CrossRef]
- Zheng, P.C.; Zheng, S.; Wang, J.M.; Liao, X.Y.; Li, X.J.; Peng, R. Study on grade identification of dendrobium by LIBS. Spectrosc. Spect. Anal. 2020, 40, 941–944. [Google Scholar]
- Pořízka, P.; Klus, J.; Hrdlička, A.; Vrábel, J.; Škarková, P.; Prochazka, D.; Novotny, J.; Novotny, K.; Kaiser, J. Impact of La-ser-Induced Breakdown Spectroscopy data normalization on multivariate classification accuracy. J. Anal. Atom. Spectrom. 2017, 32, 277–288. [Google Scholar] [CrossRef]
- Zorov, N.B.; Gorbatenko, A.A.; Labutin, T.A.; Popov, A.M. A review of normalization techniques in analytical atomic spec-trometry with laser sampling: From single to multivariate correction. Spectrochim. Acta B 2010, 65, 642–657. [Google Scholar] [CrossRef]
- Castro, J.P.; Pereira-Filho, E.R. Twelve different types of data normalization for the proposition of classification, univariate and multivariate regression models for the direct analyses of alloys by laser-induced breakdown spectroscopy (LIBS). J. Anal. At. Spectrom. 2016, 31, 2005–2014. [Google Scholar] [CrossRef]
- Li, W.T.; Zhu, Y.N.; Li, X.; Hao, Z.Q.; Guo, L.B.; Zeng, X.Y.; Lu, Y.F. In situ classification of rocks using stand-off laser-induced breakdown spectroscopy with a compact spectrometer. J. Anal. At. Spectrom. 2018, 33, 461–467. [Google Scholar] [CrossRef]
- Martino, L.J.; Angelo, C.A.D.; Marnelli, C.; Cepda, R. Identification and detection of pesticide in chard samples by laser-induced breakdown spectroscopy using chemometric methods. Spectrochim. Acta B 2020, 177, 106031. [Google Scholar] [CrossRef]
- Gibbons, E.; Léveillé, R.; Berlo, K. Data fusion of laser-induced breakdown and Raman spectroscopies: Enhancing clay mineral identification. Spectrochim. Acta B 2020, 170, 105905. [Google Scholar] [CrossRef]
- Yao, M.; Fu, G.; Chen, T.; Liu, M.; Xu, J.; Zhou, H.; He, X.; Huang, L. A modified genetic algorithm optimized SVM for rapid classification of tea leaves using laser-induced breakdown spectroscopy. J. Anal. At. Spectrom. 2020, 36, 361–367. [Google Scholar] [CrossRef]
- Lin, J.; Lin, X.; Guo, L.; Guo, Y.; Tang, Y.; Chu, Y.; Tang, S.; Che, C. Identification accuracy improvement for steel species using a least squares support vector machine and laser-induced breakdown spectroscopy. J. Anal. At. Spectrom. 2018, 33, 1545–1551. [Google Scholar] [CrossRef]
- Lin, X.; Sun, H.; Gao, X.; Xu, Y.; Wang, Z.; Wang, Y. Discrimination of lung tumor and boundary tissues based on laser-induced breakdown spectroscopy and machine learning. Spectrochim. Acta B 2021, 180, 106200. [Google Scholar] [CrossRef]
- Yang, Y.; Li, C.; Liu, S.; Min, H.; Yan, C.; Yang, M.; Yu, J. Classification and identification of brands of iron ores using laser-induced breakdown spectroscopy combined with principal component analysis and artificial neural networks. Anal. Methods 2020, 12, 1316–1323. [Google Scholar] [CrossRef]
- Li, L.-N.; Liu, X.-F.; Yang, F.; Xu, W.-M.; Wang, J.-Y.; Shu, R. A review of artificial neural network based chemometrics applied in laser-induced breakdown spectroscopy analysis. Spectrochim. Acta B 2021, 180, 106183. [Google Scholar] [CrossRef]
- Vrábel, J.; Kepes, E.; Duponchel, L.; Motto-Ros, V.; Fabre, C.; Connemann, S.; Schreckenberg, F.; Prasse, P.; Riebe, D.; Junjuri, R.; et al. Classification of challenging Laser-Induced Breakdown Spectroscopy soil sample data—EMSLIBS contest. Spectrochim. Acta B 2020, 169, 105872. [Google Scholar] [CrossRef]
- Xu, F.; Ma, S.; Zhao, C.; Dong, D. Application of Molecular Emissions in Laser-Induced Breakdown Spectroscopy: A Review. Front. Phys. 2022, 10, 7. [Google Scholar] [CrossRef]
- Leng, C.J.; Zhang, T.L.; Xu, J. Prescription Technology Study on Penicillin V Potassium Tablets. China Pharm. 2013, 22, 56–57. [Google Scholar]
- Li, T.Y.; Li, G.L.; Zhong, X. Preparation and study of amoxicillin dispersible tablet. Jilin Med. J. 2008, 29, 2158–2160. [Google Scholar]
- Ouyang, Y.H.; Guo, X.J. Preparation of Dispersible Tablets of Amoxicillin and Clavulanate Potassium. Pharm. Today 2013, 23, 664–666. [Google Scholar]






| Type | Molecular Formula | Sample Number | Manufacturer |
|---|---|---|---|
| PPT | C16H17KN2O5S | PPT1 | Chongqing Kerui Pharmaceutical (Group) Co., Ltd., Chongqing, China |
| PPT2 | North China Pharmaceutical Group Co., Ltd., Shijiazhuang, China | ||
| PPT3 | Hainan Sanye Pharmaceutical Factory Co., Ltd., Haikou, China | ||
| PPT4 | Taiji Southwest Pharmaceutical Co., Ltd., Chongqing, China | ||
| AC | C16H19N3O5S·3H2O | AC1 | Guangzhou Baiyunshan Pharmaceutical Holdings Co., Ltd., Baiyunshan Pharmaceutical General Factory, Guangzhou, China |
| AC2 | Zhongnuo Pharmaceutical (Shijiazhuang) Co., Ltd., Shijiazhuang, China | ||
| AC3 | North China Pharmaceutical Group Co., Ltd., Shijiazhuang, China | ||
| AC4 | Chongqing Dikang Changjiang Pharmaceutical Co., Ltd., Chongqing, China | ||
| ACPT | C16H19N3O5S·3H2O C8H8KNO5 | ACPT1 | Guangzhou Baiyunshan Pharmaceutical Holdings Co., Ltd., Baiyunshan Pharmaceutical General Factory, Guangzhou, China |
| ACPT2 | Zhuhai United Laboratories (Zhongshan) Co., Ltd., Zhuhai, China | ||
| ACPT3 | Hainan Simcere Pharmaceutical Co., Ltd., Haikou, China | ||
| ACPT4 | Santa (Zhangjiakou) Pharmaceutical Co., Ltd., Zhangjiakou, China |
| Type | Element | Line/Band Wavelength (nm) |
|---|---|---|
| PPT | CN | 358.0, 384.8, 385.7, 386.5, 388.0 |
| Ca | 393.1, 396.8, 420.7, 422.6, 429.9, 443.1, 732.6 | |
| Fe | 404.1, 445.1, 453.2, 577.7, 579.6, 580.7, 582.8, 648.9, 714.8, 849.8, 853.8 | |
| C2 | 497.7, 498.5, 499.6, 500.1, 501.0, 503.2, 505.9, 516.8, 518.7, 520.6, 522.0, 550.9, 553.9, 558.5 | |
| Na | 588.9 | |
| O | 611.3, 615.8, 645.8, 671.8, 691.0, 693.6, 720.2, 777.4, 844.7 | |
| H | 656.2 | |
| N | 742.3, 744.2, 746.8, 818.8, 821.6, 822.3, 824.2, 862.9, 865.6, 868.0 | |
| K | 766.4, 769.9 | |
| AC | C | 247.8 |
| Mg | 279.1, 279.7, 284.7 | |
| CN | 358.0, 384.8, 385.7, 386.5, 388.0, 414.5, 416.2, 417.6, 419.1 | |
| Ca | 393.1, 396.8, 420.7, 422.6 | |
| C2 | 497.7, 498.5, 499.6, 500.1, 501.0, 503.2, 505.9, 516.8, 518.7, 520.6, 522.0 | |
| Na | 588.9 | |
| O | 777.4, 844.7 | |
| H | 656.2 | |
| N | 742.3, 744.2, 746.8, 818.8, 821.6, 822.3, 824.2, 862.9, 868.0 | |
| ACPT | CN | 358.0, 384.8, 385.7, 386.5, 388.0 |
| Ca | 393.1, 395.7, 422.6, 429.9 | |
| Fe | 445.1, 453.2 | |
| C2 | 497.7, 498.5, 499.6, 501.0, 503.2, 505.9, 516.8, 518.7, 520.6, 522.0, 550.9, 553.9, 558.5 | |
| Na | 588.9 | |
| O | 691.0, 693.6, 777.4, 844.7 | |
| H | 656.2 | |
| N | 742.3, 744.2, 746.8, 818.8, 821.6, 822.3, 824.2, 862.9, 868.0 | |
| K | 766.4, 769.9 |
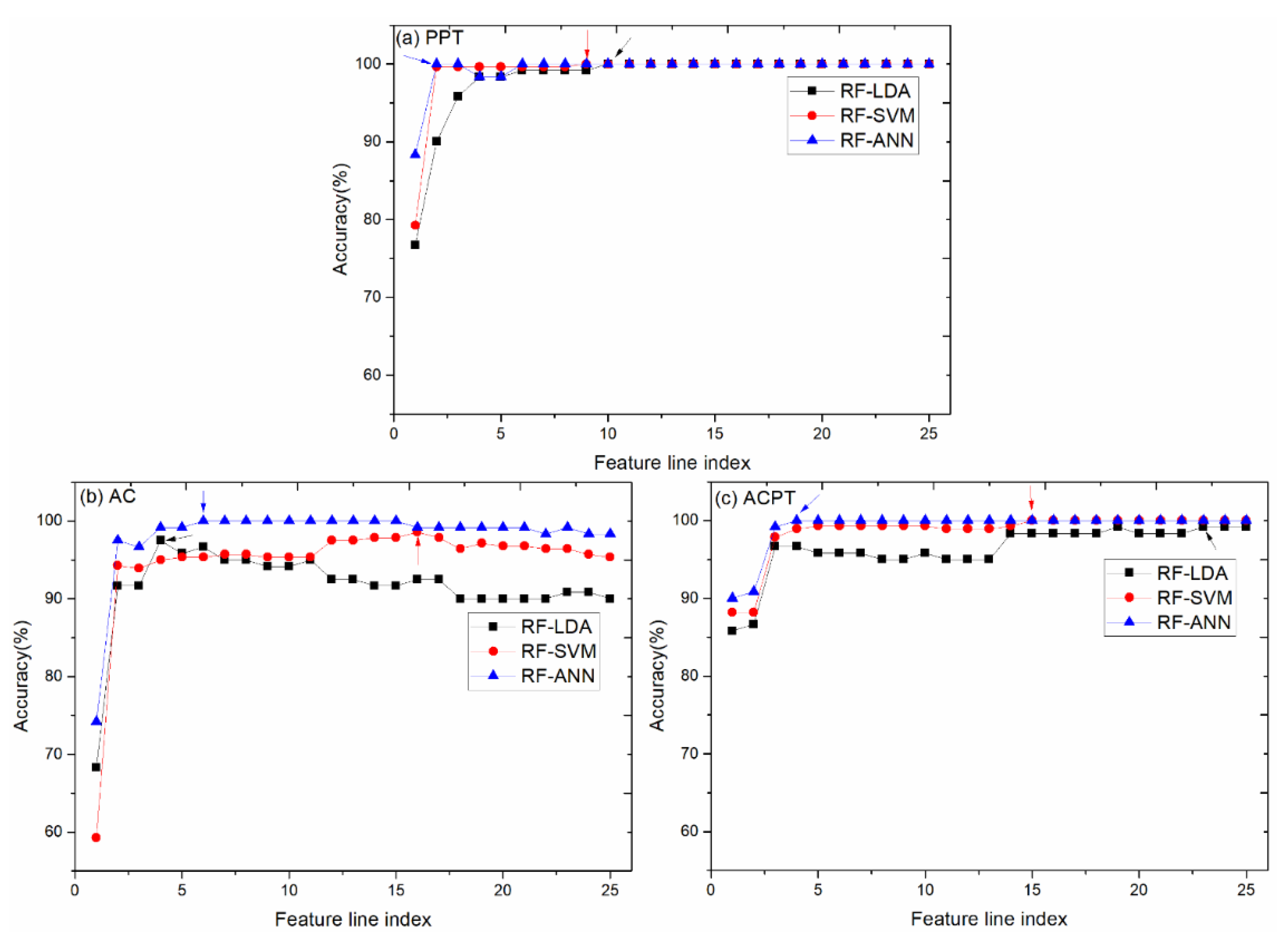
| Type | Model | Top n Feature Lines | Test Time (s) | CCR |
|---|---|---|---|---|
| PPT | LDA | 10 | 0.0017 | 100% |
| SVM | 9 | 0.0036 | 100% | |
| ANN | 2 | 0.0049 | 100% | |
| AC | LDA | 4 | 0.0015 | 97.50% |
| SVM | 16 | 0.0047 | 98.33% | |
| ANN | 6 | 0.0054 | 100% | |
| ACPT | LDA | 23 | 0.0021 | 99.17% |
| SVM | 15 | 0.0045 | 100% | |
| ANN | 4 | 0.0051 | 100% |
Publisher’s Note: MDPI stays neutral with regard to jurisdictional claims in published maps and institutional affiliations. |
© 2022 by the authors. Licensee MDPI, Basel, Switzerland. This article is an open access article distributed under the terms and conditions of the Creative Commons Attribution (CC BY) license (https://creativecommons.org/licenses/by/4.0/).
Share and Cite
Wei, K.; Wang, Q.; Teng, G.; Xu, X.; Zhao, Z.; Chen, G. Application of Laser-Induced Breakdown Spectroscopy Combined with Chemometrics for Identification of Penicillin Manufacturers. Appl. Sci. 2022, 12, 4981. https://doi.org/10.3390/app12104981
Wei K, Wang Q, Teng G, Xu X, Zhao Z, Chen G. Application of Laser-Induced Breakdown Spectroscopy Combined with Chemometrics for Identification of Penicillin Manufacturers. Applied Sciences. 2022; 12(10):4981. https://doi.org/10.3390/app12104981
Chicago/Turabian StyleWei, Kai, Qianqian Wang, Geer Teng, Xiangjun Xu, Zhifang Zhao, and Guoyan Chen. 2022. "Application of Laser-Induced Breakdown Spectroscopy Combined with Chemometrics for Identification of Penicillin Manufacturers" Applied Sciences 12, no. 10: 4981. https://doi.org/10.3390/app12104981
APA StyleWei, K., Wang, Q., Teng, G., Xu, X., Zhao, Z., & Chen, G. (2022). Application of Laser-Induced Breakdown Spectroscopy Combined with Chemometrics for Identification of Penicillin Manufacturers. Applied Sciences, 12(10), 4981. https://doi.org/10.3390/app12104981

