A Method for Recognition of Sudden Commencements of Geomagnetic Storms Using Digital Differentiating Filters
Abstract
:1. Introduction
2. Materials and Methods
2.1. Formulation of the SC Recognition Problem—Maximum Amplitude Derivatives and a Decision-Making Rule
2.2. The Procedure for Selecting the Optimal Digital Differentiating Filters
2.3. Computation of Estimates of Probabilities of Correct and False SC Recognition
3. Results
3.1. An Example of Optimal Differentiating FIR Filter Selection
- = 1, = 2, for m = 1;
- = 1, = 3, for m = 2;
- = 2, = 4, for m = 3;
- = 3, = 5, for m = 4.
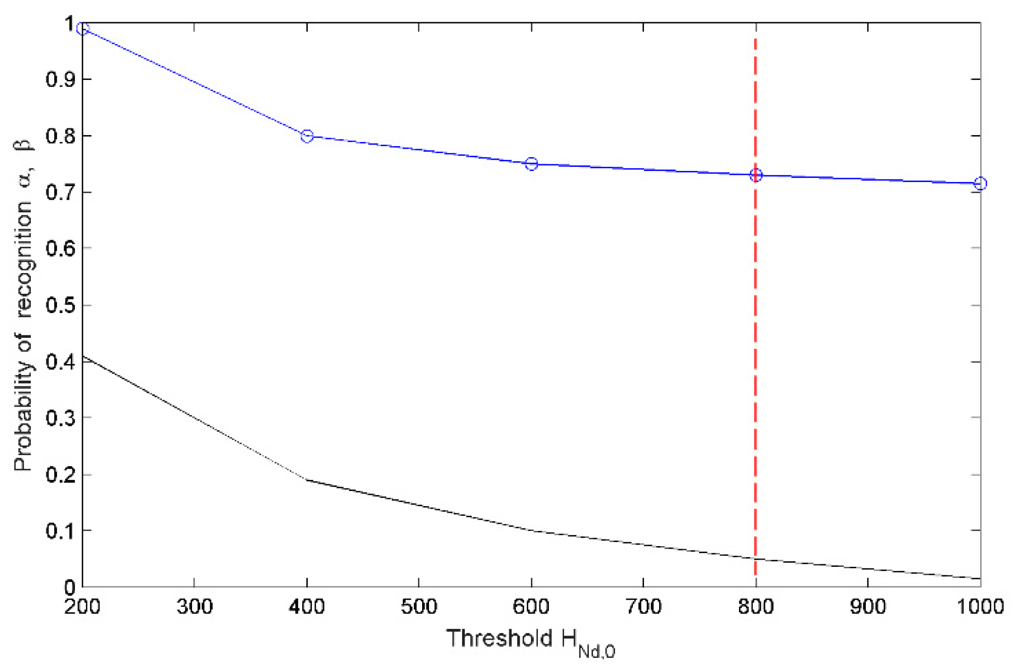
3.2. An Example of Estimates of Probabilities of True and False SC Recognitions
4. Discussion
Author Contributions
Funding
Institutional Review Board Statement
Informed Consent Statement
Data Availability Statement
Acknowledgments
Conflicts of Interest
References
- St-Louis, B. Intermagnet Technical Reference Manual, version 4.6; Intermagnet: Edinburgh, UK, 2012; pp. 5–11. [Google Scholar]
- Intermagnet. Available online: https://intermagnet.org/ (accessed on 3 November 2021).
- Reay, S.J.; Herzog, D.C.; Alex, S.; Kharin, E.P.; McLean, S.; Nosé, M.; Sergeyeva, N.A. Magnetic Observatory Data and Metadata: Types and Availability. In Geomagnetic Observations and Models; Mandea, M., Korte, M., Eds.; Springer: Dordrecht, The Netherlands; Heidelberg, Germany; London, UK; New York, NY, USA, 2011; pp. 149–181. [Google Scholar]
- Takano, S.; Minamoto, T.; Arimura, H.; Niijima, K.; Iyemori, T.; Araki, T. Automatic Detection of Geomagnetic Sudden Commencement Using Lifting Wavelet Filters. In Proceedings of the Second International Conference on Discovery Science (DS’99), Tokyo, Japan, 6–8 December 1999; Arikawa, S., Furukawa, K., Eds.; Springer: Berlin/Heidelberg, Germany, 1999; pp. 242–251. [Google Scholar]
- Hafez, A.G.; Ghamry, E.; Yayama, H.; Yumoto, K. Wavelet Spectral Analysis Technique for Automatic Detection of Geomagnetic Sudden Commencements. IEEE Trans. Geosci. Remote Sens. 2012, 50, 4503–4512. [Google Scholar] [CrossRef]
- Hafez, A.G.; Ghamry, E. Geomagnetic Sudden Commencement Automatic Detection via MODWT. IEEE Trans. Geosci. Remote Sens. 2013, 51, 1547–1554. [Google Scholar] [CrossRef]
- Shinohara, M.; Kikuchi, T.; Nozaki, K. Automatic realtime detection of sudden commencements of geomagnetic storms. J. NICT 2005, 52, 197–205. [Google Scholar]
- Satoru, T. Characteristics of geomagnetic sudden commencement observed in middle and low latitudes. Earth Planets Space 1998, 50, 735–772. [Google Scholar]
- Space Weather Prediction Center, National Oceanic and Atmospheric Administration. Available online: https://www.swpc.noaa.gov (accessed on 29 October 2021).
- Getmanov, V.G. Digital Signal Processing with Applications to Geophysics and Experimental Mechanics; Tekhnosfera: Moscow, Russia, 2021; pp. 61–71. (In Russian) [Google Scholar]
- International Service on Rapid Magnetic Variations. Available online: http://www.obsebre.es/en/rapid (accessed on 1 November 2021).
- Gao, J.B.; Hu, J.; Tung, W.W. Facilitating joint chaos and fractal analysis of biosignals through nonlinear adaptive filtering. PLoS ONE 2011, 6, e24331. [Google Scholar] [CrossRef] [PubMed] [Green Version]
- Hu, J.; Gao, J.B.; Wang, X.S. Multifractal analysis of sunspot time series: The effects of the 11-year cycle and Fourier truncation. J. Stat. Mech. Theory Exp. 2009, 2, P02066. [Google Scholar] [CrossRef]



Publisher’s Note: MDPI stays neutral with regard to jurisdictional claims in published maps and institutional affiliations. |
© 2022 by the authors. Licensee MDPI, Basel, Switzerland. This article is an open access article distributed under the terms and conditions of the Creative Commons Attribution (CC BY) license (https://creativecommons.org/licenses/by/4.0/).
Share and Cite
Getmanov, V.; Sidorov, R.; Gvishiani, A. A Method for Recognition of Sudden Commencements of Geomagnetic Storms Using Digital Differentiating Filters. Appl. Sci. 2022, 12, 413. https://doi.org/10.3390/app12010413
Getmanov V, Sidorov R, Gvishiani A. A Method for Recognition of Sudden Commencements of Geomagnetic Storms Using Digital Differentiating Filters. Applied Sciences. 2022; 12(1):413. https://doi.org/10.3390/app12010413
Chicago/Turabian StyleGetmanov, Victor, Roman Sidorov, and Alexei Gvishiani. 2022. "A Method for Recognition of Sudden Commencements of Geomagnetic Storms Using Digital Differentiating Filters" Applied Sciences 12, no. 1: 413. https://doi.org/10.3390/app12010413
APA StyleGetmanov, V., Sidorov, R., & Gvishiani, A. (2022). A Method for Recognition of Sudden Commencements of Geomagnetic Storms Using Digital Differentiating Filters. Applied Sciences, 12(1), 413. https://doi.org/10.3390/app12010413

