Effects of Task Demands on Postural Control in Children of Different Ages: A Cross-Sectional Study
Abstract
:1. Introduction
2. Materials and Methods
2.1. Participants
2.2. Protocol
2.3. Data Processing
2.4. Statistical Analysis
3. Results
3.1. Age and Gender
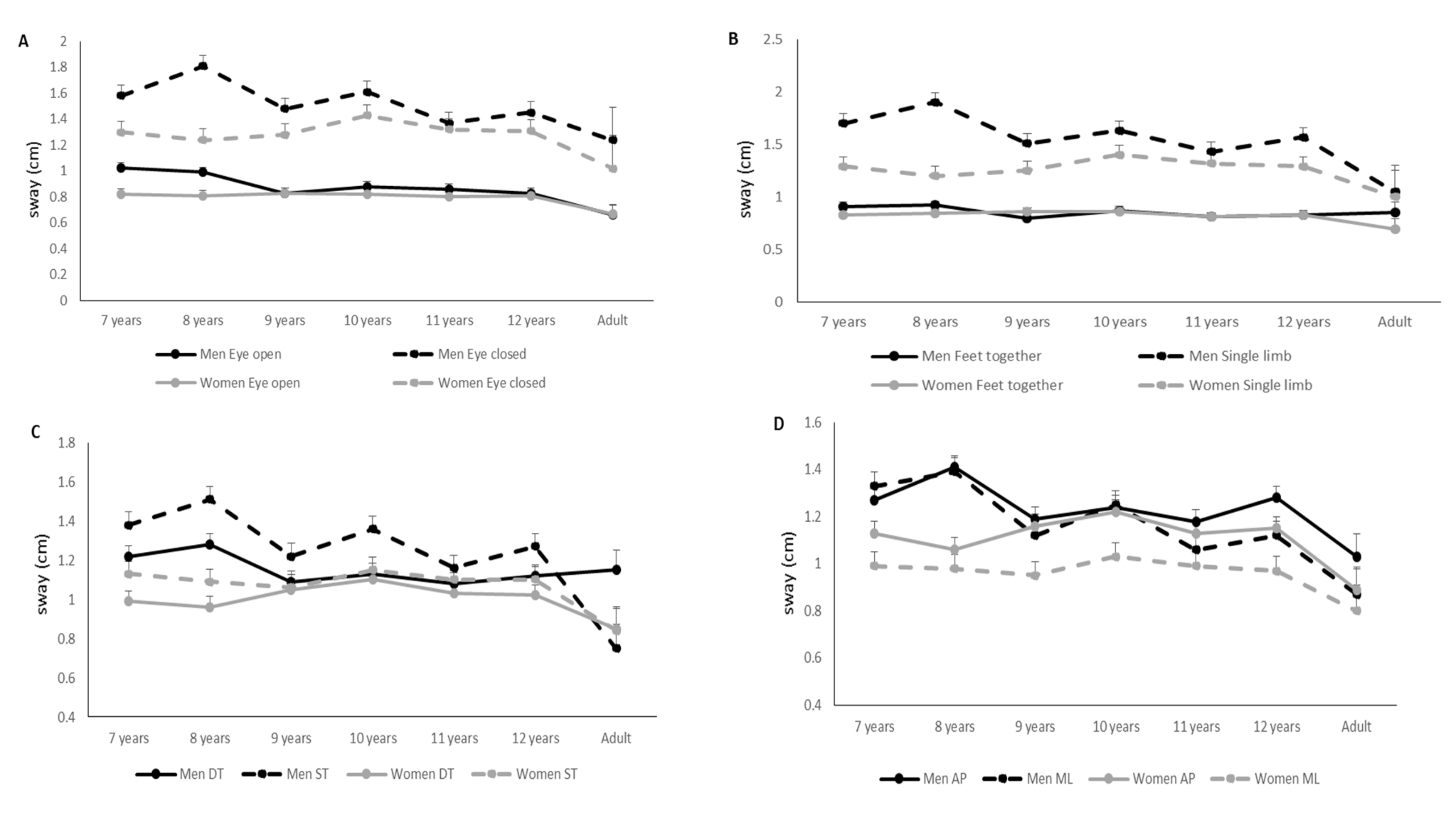
3.2. Visual Manipulation
3.3. Manipulation of the Base of Support
3.4. Cognitive Load Manipulation
3.5. AP and ML Directions
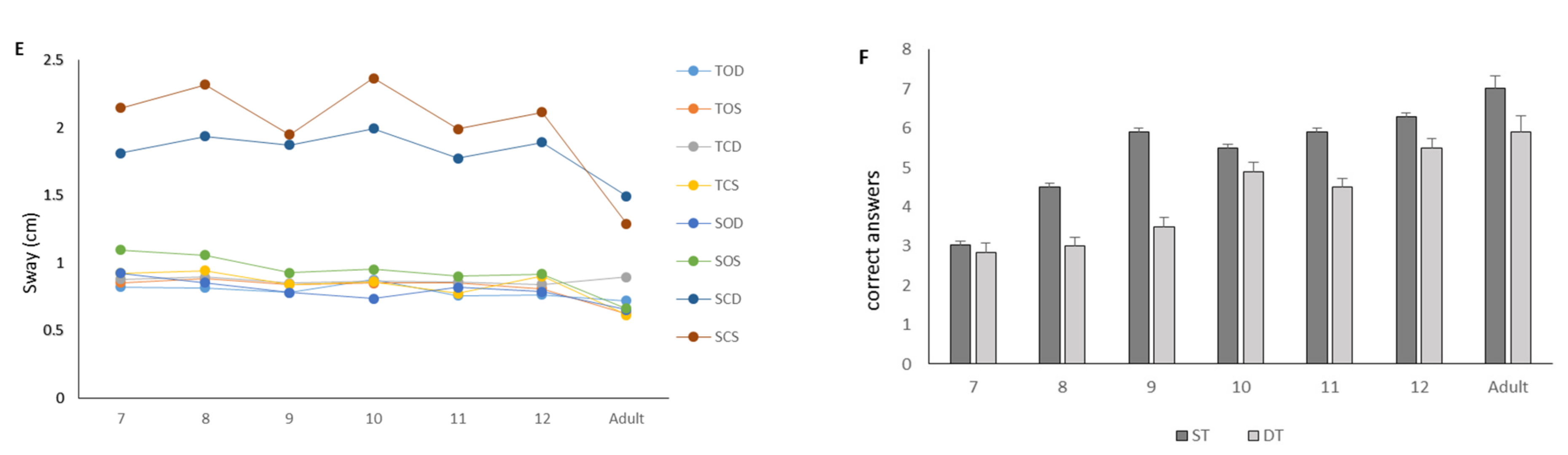
3.6. Cognitive Task
4. Discussion
5. Conclusions
Author Contributions
Funding
Institutional Review Board Statement
Informed Consent Statement
Data Availability Statement
Acknowledgments
Conflicts of Interest
References
- Mickle, K.J.; Munro, B.J.; Steele, J.R. Gender and age affect balance performance in primary school-aged children. J. Sci. Med. Sport 2011, 14, 243–248. [Google Scholar] [CrossRef] [PubMed]
- Karlsson, A.; Frykberg, G. Correlations between force plate measures for assessment of balance. Clin. Biomech. 2000, 15, 365–369. [Google Scholar] [CrossRef]
- Alexandrov, P.; Percy, M.; Lukiw, W.J. Chromosome 21-Encoded microRNAs (mRNAs): Impact on Down’s syndrome and trisomy-21 linked disease. Cell Mol. Neurobiol. 2018, 38, 769–774. [Google Scholar] [CrossRef] [PubMed]
- Raymakers, J.; Samson, M.; Verhaar, H. The assessment of body sway and the choice of the stability parameter (s). Gait Posture 2005, 21, 48–58. [Google Scholar] [CrossRef]
- Era, P.; Sainio, P.; Koskinen, S.; Haavisto, P.; Vaara, M.; Aromaa, A. Postural balance in a random sample of 7979 subjects aged 30 years and over. Gerontology 2006, 52, 204–213. [Google Scholar] [CrossRef]
- Albertsen, I.M.; Ghédira, M.; Gracies, J.-M.; Hutin, É. Postural stability in young healthy subjects—Impact of reduced base of support, visual deprivation, dual tasking. J. Electromyogr. Kinesiol. 2017, 33, 27–33. [Google Scholar] [CrossRef]
- Breniére, Y.; Bril, B. Development of postural control of gravity forces in children during the first 5 years of walking. Exp. Brain Res. 1998, 121, 255–262. [Google Scholar] [CrossRef]
- Rival, C.; Ceyte, H.; Olivier, I. Developmental changes of static standing balance in children. Neurosci. Lett. 2005, 376, 133–136. [Google Scholar] [CrossRef]
- Kirshenbaum, N.; Riach, C.; Starkes, J. Non-linear development of postural control and strategy use in young children: A longitudinal study. Exp. Brain Res. 2001, 140, 420–431. [Google Scholar] [CrossRef]
- Olivier, I.; Cuisinier, R.; Vaugoyeau, M.; Nougier, V.; Assaiante, C. Age-related differences in cognitive and postural dual-task performance. Gait Posture 2010, 32, 494–499. [Google Scholar] [CrossRef]
- Shumway-Cook, A.; Woollacott, M.; Kerns, K.A.; Baldwin, M. The effects of two types of cognitive tasks on postural stability in older adults with and without a history of falls. J. Gerontol. Ser. A Biol. Sci. Med. Sci. 1997, 52, M232–M240. [Google Scholar] [CrossRef] [Green Version]
- Melzer, I.; Benjuya, N.; Kaplanski, J. Age-related changes of postural control: Effect of cognitive tasks. Gerontology 2001, 47, 189–194. [Google Scholar] [CrossRef]
- Menant, J.C.; Schoene, D.; Sarofim, M.; Lord, S.R. Single and dual task tests of gait speed are equivalent in the prediction of falls in older people: A systematic review and meta-analysis. Ageing Res. Rev. 2014, 16, 83–104. [Google Scholar] [CrossRef]
- Beauchet, O.; Berrut, G. Gait and dual-task: Definition, interest, and perspectives in the elderly. Psychol. Neuropsychiatr. Du Vieil. 2006, 4, 215–225. [Google Scholar]
- Welford, A. Single-channel operation in the brain. Acta Psychol. 1967, 27, 5–22. [Google Scholar] [CrossRef]
- Wickens, C.D. Multiple resources and performance prediction. Theor. Issues Ergon. Sci. 2002, 3, 159–177. [Google Scholar] [CrossRef]
- Andersson, G.; Yardley, L.; Luxon, L. A dual-task study of interference between mental activity and control of balance. Am. J. Otol. 1998, 19, 632–637. [Google Scholar]
- Pellecchia, G.L. Postural sway increases with attentional demands of concurrent cognitive task. Gait Posture 2003, 18, 29–34. [Google Scholar] [CrossRef]
- Woollacott, M.; Shumway-Cook, A. Attention and the control of posture and gait: A review of an emerging area of research. Gait Posture 2002, 16, 1–14. [Google Scholar] [CrossRef]
- Prado, J.M.; Stoffregen, T.A.; Duarte, M. Postural sway during dual tasks in young and elderly adults. Gerontology 2007, 53, 274–281. [Google Scholar] [CrossRef]
- Huxhold, O.; Li, S.-C.; Schmiedek, F.; Lindenberger, U. Dual-tasking postural control: Aging and the effects of cognitive demand in conjunction with focus of attention. Brain Res. Bull. 2006, 69, 294–305. [Google Scholar] [CrossRef] [Green Version]
- Blanchard, Y.; Carey, S.; Coffey, J.; Cohen, A.; Harris, T.; Michlik, S.; Pellecchia, G.L. The influence of concurrent cognitive tasks on postural sway in children. Pediatric Phys. Ther. 2005, 17, 189–193. [Google Scholar] [CrossRef]
- Almajid, R.; Keshner, E. Role of gender in dual-tasking timed up and go tests: A cross-sectional study. J. Mot. Behav. 2019, 51, 681–689. [Google Scholar] [CrossRef]
- Villarrasa-Sapiña, I.; Estevan, I.; Gonzalez, L.-M.; Marco-Ahulló, A.; García-Massó, X. Dual task cost in balance control and stability in children from 4–7 years old. Early Child Dev. Care 2019, 190, 2533–2542. [Google Scholar] [CrossRef]
- Bustillo-Casero, P.; Villarrasa-Sapiña, I.; García-Massó, X. Effects of dual task difficulty in motor and cognitive performance: Differences between adults and adolescents. Hum. Mov. Sci. 2017, 55, 8–17. [Google Scholar] [CrossRef]
- Schaefer, S.; Krampe, R.T.; Lindenberger, U.; Baltes, P.B. Age differences between children and young adults in the dynamics of dual-task prioritization: Body (balance) versus mind (memory). Dev. Psychol. 2008, 44, 747. [Google Scholar] [CrossRef] [Green Version]
- Olivier, I.; Cuisinier, R.; Vaugoyeau, M.; Nougier, V.; Assaiante, C. Dual-task study of cognitive and postural interference in 7-year-olds and adults. Neuroreport 2007, 18, 817–821. [Google Scholar] [CrossRef]
- Tsai, C.L.; Pan, C.Y.; Cherng, R.J.; Wu, S.K. Dual-task study of cognitive and postural interference: A preliminary investigation of the automatization deficit hypothesis of developmental co-ordination disorder. Child Care Health Dev. 2009, 35, 551–560. [Google Scholar] [CrossRef]
- Nolan, L.; Grigorenko, A.; Thorstensson, A. Balance control: Sex and age differences in 9-to 16-year-olds. Dev. Med. Child Neurol. 2005, 47, 449–454. [Google Scholar] [CrossRef]
- Woollacott, M.H.; Shumway-Cook, A. Changes in posture control across the life span—A systems approach. Phys. Ther. 1990, 70, 799–807. [Google Scholar] [CrossRef] [Green Version]
- Hirabayashi, S.-i.; Iwasaki, Y. Developmental perspective of sensory organization on postural control. Brain Dev. 1995, 17, 111–113. [Google Scholar] [CrossRef]
- Assaiante, C.; Amblard, B. An ontogenetic model for the sensorimotor organization of balance control in humans. Hum. Mov. Sci. 1995, 14, 13–43. [Google Scholar] [CrossRef]
- Koolschijn, P.C.M.; Crone, E.A. Sex differences and structural brain maturation from childhood to early adulthood. Dev. Cogn. Neurosci. 2013, 5, 106–118. [Google Scholar] [CrossRef] [PubMed]
- Shumway-Cook, A.; Woollacott, M.H. The growth of stability: Postural control from a developmental perspective. J. Mot. Behav. 1985, 17, 131–147. [Google Scholar] [CrossRef]
- Hatzitaki, V.; Zlsi, V.; Kollias, I.; Kioumourtzoglou, E. Perceptual-motor contributions to static and dynamic balance control in children. J. Mot. Behav. 2002, 34, 161–170. [Google Scholar] [CrossRef]
- Steindl, R.; Kunz, K.; Schrott-Fischer, A.; Scholtz, A. Effect of age and sex on maturation of sensory systems and balance control. Dev. Med. Child Neurol. 2006, 48, 477–482. [Google Scholar] [CrossRef]
- Schmid, M.; Conforto, S.; Lopez, L.; D’Alessio, T. Cognitive load affects postural control in children. Exp. Brain Res. 2007, 179, 375–385. [Google Scholar] [CrossRef]
- Cuisinier, R.; Olivier, I.; Vaugoyeau, M.; Nougier, V.; Assaiante, C. Developmental approach of postural control from 7 to 11 years old and adults when proprioceptive inputs were disturbed. In Proceedings of the 4th International Conference on Enactive Interfaces, Grenoble, France, 19–24 November 2007; p. 69. [Google Scholar]
- Ruffieux, J.; Keller, M.; Lauber, B.; Taube, W. Changes in standing and walking performance under dual-task conditions across the lifespan. Sports Med. 2015, 45, 1739–1758. [Google Scholar] [CrossRef] [Green Version]
- Peterson, M.L.; Christou, E.; Rosengren, K.S. Children achieve adult-like sensory integration during stance at 12-years-old. Gait Posture 2006, 23, 455–463. [Google Scholar] [CrossRef]
- De Sá, C.d.S.C.; Boffino, C.C.; Ramos, R.T.; Tanaka, C. Development of postural control and maturation of sensory systems in children of different ages a cross-sectional study. Braz. J. Phys. Ther. 2018, 22, 70–76. [Google Scholar]
- Valente, M. Maturational effects of the vestibular system: A study of rotary chair, computerized dynamic posturography, and vestibular evoked myogenic potentials with children. J. Am. Acad. Audiol. 2007, 18, 461–481. [Google Scholar] [CrossRef] [Green Version]
- Gouleme, N.; Ezane, M.D.; Wiener-Vacher, S.; Bucci, M.P. Spatial and temporal postural analysis: A developmental study in healthy children. Int. J. Dev. Neurosci. 2014, 38, 169–177. [Google Scholar] [CrossRef]
- Schmid, M.; Conforto, S.; Lopez, L.; Renzi, P.; D’Alessio, T. The development of postural strategies in children: A factorial design study. J. NeuroEngineering Rehabil. 2005, 2, 29. [Google Scholar] [CrossRef] [Green Version]
- Sundermier, L.; Woollacott, M.; Roncesvalles, N.; Jensen, J. The development of balance control in children: Comparisons of EMG and kinetic variables and chronological and developmental groupings. Exp. Brain Res. 2001, 136, 340–350. [Google Scholar] [CrossRef]
- Shams, A.; Vameghi, R.; Dehkordi, P.S.; Allafan, N.; Bayati, M. The development of postural control among children: Repeatability and normative data for computerized dynamic posturography system. Gait Posture 2020, 78, 40–47. [Google Scholar] [CrossRef]
- Kimura, D. Sex, sexual orientation and sex hormones influence human cognitive function. Biomed. Rev. 1997, 7, 33–39. [Google Scholar] [CrossRef]
- Van Hooren, S.; Valentijn, A.; Bosma, H.; Ponds, R.; Van Boxtel, M.; Jolles, J. Cognitive functioning in healthy older adults aged 64–81: A cohort study into the effects of age, sex, and education. Aging Neuropsychol. Cogn. 2007, 14, 40–54. [Google Scholar] [CrossRef]
- Olivier, I.; Palluel, E.; Nougier, V. Effects of attentional focus on postural sway in children and adults. Exp. Brain Res. 2008, 185, 341–345. [Google Scholar] [CrossRef] [Green Version]
- Figura, F.; Cama, G.; Capranica, L.; Guidetti, L.; Pulejo, C. Assessment of static balance in children. J. Sports Med. Phys. Fit. 1991, 31, 235–242. [Google Scholar]
- Barozzi, S.; Socci, M.; Soi, D.; Di Berardino, F.; Fabio, G.; Forti, S.; Gasbarre, A.M.; Brambilla, D.; Cesarani, A. Reliability of postural control measures in children and young adolescents. Eur. Arch. Oto-Rhino-Laryngol. 2014, 271, 2069–2077. [Google Scholar] [CrossRef]


| Age (year) | n | Height (m) | Body Mass (kg) | BMI (kg/m2) | |||
|---|---|---|---|---|---|---|---|
| Women | Men | Women | Men | Women | Men | ||
| 7 | 70 | 1.23 (0.05) | 1.22 (0.05) | 23.75 (3.57) | 22.85 (2.70) | 15.47 (1.78) | 15.26 (1.08) |
| 8 | 70 | 1.27 (0.06) | 1.29 (0.06) | 24.79 (4.81) | 26.64 (4.44) | 15.13 (2.28) | 15.78 (1.82) |
| 9 | 70 | 1.33 (0.07) | 1.34 (0.06) | 30.39 (6.86) | 29.44 (6.10) | 16.79 (2.51) | 16.25 (2.43) |
| 10 | 70 | 1.41 (0.04) | 1.40 (0.06) | 32.49 (5.80) | 33.42 (7.03) | 16.24 (2.50) | 16.98 (2.91) |
| 11 | 70 | 1.46 (0.04) | 1.47 (0.06) | 37.77 (5.19) | 38.32 (7.46) | 17.59 (2.42) | 17.60 (2.55) |
| 12 | 70 | 1.52 (0.06) | 1.48 (0.05) | 41.59 (9.55) | 39.12 (5.98) | 17.85 (3.33) | 17.77 (2.01) |
| Adult | 20 | 1.62 (0.06) | 1.82 (0.07) | 52.32 (6.73) | 84.26 (10.3) | 19.94 (2.74) | 24.67 (2.70) |
| Task | 7 Years | 8 Years | 9 Years | 10 Years | 11 Years | 12 Years | Adult | |
|---|---|---|---|---|---|---|---|---|
| TOD | Men | 0.79 (0.34) | 0.78 (0.23) | 0.68 (0.30) | 0.80 (0.54) | 0.68 (0.39) | 0.69 (0.27) | 0.80 (0.24) |
| Women | 0.89 (0.51) | 0.91 (0.60) | 1.05 (0.62) | 1.15 (0.79) | 0.99 (0.64) | 0.92 (0.60) | 0.92 (0.67) | |
| Sig. | 0.29 | 0.24 | 0.00 | 0.03 | 0.01 | 0.04 | 0.60 | |
| T | 1.06 | 1.19 | 3.16 | 2.12 | 2.05 | 2.07 | 0.53 | |
| TOS | Men | 0.88 (0.32) | 0.90 (0.29) | 0.77 (0.24) | 0.84 (0.34) | 0.79 (0.37) | 0.79 (0.28) | 0.65 (0.33) |
| Women | 0.77 (0.22) | 0.83 (0.35) | 0.90 (0.40) | 0.81 (0.31) | 0.83 (0.74) | 0.79 (0.33) | 0.54 (0.16) | |
| Sig. | 0.10 | 0.37 | 0.11 | 0.68 | 0.77 | 0.99 | 0.38 | |
| T | 1.67 | 0.89 | 1.62 | 0.41 | 0.29 | 0.05 | 0.89 | |
| TCD | Men | 0.85 (0.20) | 0.90 (0.34) | 0.80 (0.24) | 0.79 (0.27) | 0.84 (0.49) | 0.80 (0.34) | 0.90 (0.38) |
| Women | 0.87 (0.40) | 0.88 (0.49) | 1.01 (0.46) | 1.07 (0.64) | 0.97 (0.56) | 0.94 (0.35) | 0.68 (0.24) | |
| Sig. | 0.84 | 0.87 | 0.01 | 0.20 | 0.32 | 0.10 | 0.04 | |
| T | 0.19 | 0.16 | 2.39 | 2.41 | 1.01 | 1.65 | 2.34 | |
| TCS | Men | 0.91 (0.15) | 0.93 (0.24) | 0.84 (0.31) | 0.83 (0.27) | 0.78 (0.21) | 0.87 (0.60) | 0.67 (0.12) |
| Women | 0.83 (0.25 | 0.84 (0.37) | 0.81 (0.22) | 0.85 (0.36) | 0.69 (0.22) | 0.85 (0.28) | 0.65 (0.15) | |
| Sig. | 0.13 | 0.23 | 0.56 | 0.73 | 0.09 | 0.61 | 0.78 | |
| T | 1.54 | 1.22 | 0.58 | 0.35 | 1.73 | 0.51 | 0.29 | |
| SOD | Men | 1.18 (0.42) | 1.08 (0.42) | 0.90 (0.26) | 0.85 (0.22) | 1.02 (0.65) | 0.98 (0.35) | 0.78 (0.28) |
| Women | 0.92 (0.38) | 0.81 (0.29) | 0.87 (0.23) | 0.86 (0.36) | 0.87 (0.28) | 0.84 (0.20) | 0.68 (0.09) | |
| Sig. | 0.00 | 0.00 | 0.60 | 0.96 | 0.21 | 0.03 | 0.33 | |
| T | 2.76 | 3.09 | 0.52 | 0.05 | 1.25 | 2.17 | 1.03 | |
| SOS | Men | 1.32 (0.47) | 1.41 (0.50) | 1.08 (0.53) | 1.09 (0.34) | 1.19 (0.84) | 1.09 (0.40) | 0.73 (0.25) |
| Women | 1.06 (0.44) | 0.94 (0.32) | 1.02 (0.35) | 1.07 (0.38) | 0.93 (0.32) | 1.04 (0.34) | 0.78 (0.21) | |
| Sig. | 0.02 | 0.00 | 0.58 | 0.80 | 0.09 | 0.59 | 0.62 | |
| T | 2.40 | 4.64 | 0.55 | 0.25 | 1.71 | 0.54 | 0.51 | |
| SCD | Men | 1.98 (0.61) | 2.41 (0.89) | 2.07 (1.07) | 2.10 (0.59) | 1.96 (0.79) | 2.01 (071) | 1.67 (1.07) |
| Women | 1.62 (0.64) | 1.47 (0.53) | 1.82 (0.83) | 1.91 (0.00) | 1.72 (0.60) | 1.77 (0.59) | 1.38 (0.65) | |
| Sig. | 0.02 | 0.00 | 0.28 | 0.37 | 0.15 | 0.14 | 0.48 | |
| T | 2.38 | 5.39 | 1.08 | 0.90 | 1.43 | 1.50 | 0.73 | |
| SCS | Men | 2.27 (0.73) | 2.83 (1.18) | 2.33 (1.20) | 2.63 (1.21) | 2.16 (0.71) | 2.29 (2.57) | 1.26 (0.84) |
| Women | 2.08 (1.03) | 1.82 (0.68) | 1.76 (0.61) | 2.05 (1.04) | 2.07 (0.92) | 2.02 (1.00) | 1.45 (0.45) | |
| Sig. | 0.38 | 0.00 | 0.01 | 0.03 | 0.65 | 0.04 | 0.52 | |
| T | 0.88 | 4.42 | 2.51 | 2.16 | 0.45 | 2.04 | 0.65 |
| Task | 7 Years | 8 Years | 9 Years | 10 Years | 11 Years | 12 Years | Adult | |
|---|---|---|---|---|---|---|---|---|
| TOD | Men | 0.88 (0.45) | 0.86 (0.32) | 0.75 (0.40) | 0.84 (0.48) | 0.75 (0.45) | 0.66 (0.27) | 0.50 (0.18) |
| Women | 0.73 (0.31) | 0.70 (0.23) | 0.63 (0.20) | 0.71 (0.41) | 0.60 (0.22) | 0.76 (0.61) | 0.66 (0.71) | |
| Sig. | 0.12 | 0.02 | 0.12 | 0.21 | 0.08 | 0.42 | 0.49 | |
| T | 1.55 | 2.46 | 1.56 | 1.26 | 1.78 | 0.82 | 0.71 | |
| TOS | Men | 0.98 (0.33) | 0.91 (0.37) | 0.85 (0.39) | 1.04 (0.58) | 0.96 (0.46) | 0.87 (0.41) | 0.68 (0.58) |
| Women | 0.79 (0.24) | 0.88 (0.38) | 0.83 (0.31) | 0.71 (0.30) | 0.83 (0.89) | 0.78 (0.32) | 0.63 (0.44) | |
| Sig. | 0.01 | 0.71 | 0.81 | 0.00 | 0.46 | 0.34 | 0.85 | |
| T | 2.76 | 0.375 | 0.24 | 2.99 | 0.74 | 0.98 | 0.19 | |
| TCD | Men | 0.93 (0.26) | 1.03 (0.35) | 0.80 (0.26) | 0.83 (0.33) | 0.86 (0.43) | 0.85 (0.33) | 1.48 (1.65) |
| Women | 0.86 (0.39) | 0.78 (0.14) | 0.78 (0.22) | 0.76 (0.20) | 0.75 (0.17) | 0.78 (0.21) | 0.62 (0.42) | |
| Sig. | 0.34 | 0.00 | 0.78 | 0.27 | 0.18 | 0.29 | 0.13 | |
| T | 0.96 | 3.95 | 0.28 | 1.11 | 1.35 | 1.07 | 0.16 | |
| TCS | Men | 1.05 (0.29) | 1.07 (0.40) | 0.87 (0.34) | 0.95 (0.38) | 0.83 (0.30) | 0.85 (1.00) | 0.34 (0.09) |
| Women | 0.90 (0.35) | 0.93 (0.27) | 0.83 (0.27) | 0.81 (0.26) | 0.80 (0.22) | 0.79 (0.22) | 0.79 (0.16) | |
| Sig. | 0.04 | 0.09 | 0.53 | 0.06 | 0.61 | 0.13 | 0.00 | |
| T | 2.02 | 1.71 | 0.64 | 1.90 | 0.51 | 1.52 | 7.45 | |
| SOD | Men | 0.97 (0.52) | 0.85 (0.43) | 0.76 (0.37) | 0.67 (0.18) | 0.75 (0.35) | 0.76 (0.48) | 0.60 (0.08) |
| Women | 0.61 (0.21) | 0.66 (0.37) | 0.58 (0.16) | 0.56 (0.16) | 0.64 (0.25) | 0.57 (0.15) | 0.55 (0.13) | |
| Sig. | 0.00 | 0.06 | 0.01 | 0.01 | 0.13 | 0.30 | 0.37 | |
| T | 3.84 | 1.93 | 2.56 | 2.54 | 1.53 | 2.25 | 0.91 | |
| SOS | Men | 1.20 (0.71) | 1.13 (0.53) | 0.85 (0.42) | 0.92 (0.37) | 0.77 (0.29) | 0.79 (0.38) | 0.57 (0.21) |
| Women | 0.81 (0.41) | 0.75 (0.31) | 0.75 (0.41) | 0.72 (0.41) | 0.70 (0.26) | 0.73 (0.48) | 0.55 (0.12) | |
| Sig. | 0.01 | 0.00 | 0.33 | 0.03 | 0.25 | 0.46 | 0.79 | |
| T | 2.80 | 3.65 | 0.983 | 2.13 | 1.15 | 0.74 | 0.26 | |
| SCD | Men | 1.21 (0.99) | 2.37 (1.10) | 1.94 (1.12) | 2.05 (0.93) | 1.75 (0.91) | 1.80 (1.44) | 1.63 (0.92) |
| Women | 1.45 (0.65) | 1.49 (0.59) | 1.66 (1.02) | 1.81 (1.67) | 1.66 (0.95) | 1.58 (0.77) | 1.29 (0.62) | |
| Sig. | 0.00 | 0.00 | 0.28 | 0.29 | 0.66 | 0.03 | 0.35 | |
| T | 3.79 | 4.18 | 1.09 | 1.07 | 0.44 | 2.20 | 0.95 | |
| SCS | Men | 2.45 (0.96) | 2.93 (1.71) | 2.16 (1.44) | 2.61 (1.68) | 1.81 (0.95) | 1.85 (3.06) | 1.12 (0.74) |
| Women | 1.80 (0.97) | 1.69 (0.60) | 1.55 (0.81) | 2.18 (1.84) | 1.93 (1.25) | 1.72 (1.07) | 1.32 (0.42) | |
| Sig. | 0.01 | 0.00 | 0.03 | 0.32 | 0.66 | 0.00 | 0.46 | |
| T | 2.82 | 4.04 | 2.18 | 1.01 | 0.45 | 2.97 | 0.75 |
Publisher’s Note: MDPI stays neutral with regard to jurisdictional claims in published maps and institutional affiliations. |
© 2021 by the authors. Licensee MDPI, Basel, Switzerland. This article is an open access article distributed under the terms and conditions of the Creative Commons Attribution (CC BY) license (https://creativecommons.org/licenses/by/4.0/).
Share and Cite
Ghanbarzadeh, A.; Azadian, E.; Majlesi, M.; Jafarnezhadgero, A.A.; Akrami, M. Effects of Task Demands on Postural Control in Children of Different Ages: A Cross-Sectional Study. Appl. Sci. 2022, 12, 113. https://doi.org/10.3390/app12010113
Ghanbarzadeh A, Azadian E, Majlesi M, Jafarnezhadgero AA, Akrami M. Effects of Task Demands on Postural Control in Children of Different Ages: A Cross-Sectional Study. Applied Sciences. 2022; 12(1):113. https://doi.org/10.3390/app12010113
Chicago/Turabian StyleGhanbarzadeh, Asiyeh, Elaheh Azadian, Mahdi Majlesi, Amir Ali Jafarnezhadgero, and Mohammad Akrami. 2022. "Effects of Task Demands on Postural Control in Children of Different Ages: A Cross-Sectional Study" Applied Sciences 12, no. 1: 113. https://doi.org/10.3390/app12010113
APA StyleGhanbarzadeh, A., Azadian, E., Majlesi, M., Jafarnezhadgero, A. A., & Akrami, M. (2022). Effects of Task Demands on Postural Control in Children of Different Ages: A Cross-Sectional Study. Applied Sciences, 12(1), 113. https://doi.org/10.3390/app12010113

