The Influence of Pipe Bending Curvature on H2-O2 Gaseous Detonation Wave Front
Abstract
1. Introduction
2. Numerical Model
3. Numerical Method
3.1. Finite Difference Schemes
3.2. Detailed Chemical Kinetics Model
4. Code Verifications
4.1. Validation of Numerical Scheme
4.2. Validation of the Physical Model
4.3. The Effect of Resolution on the Results
5. Results and Discussion
5.1. Cell Structure
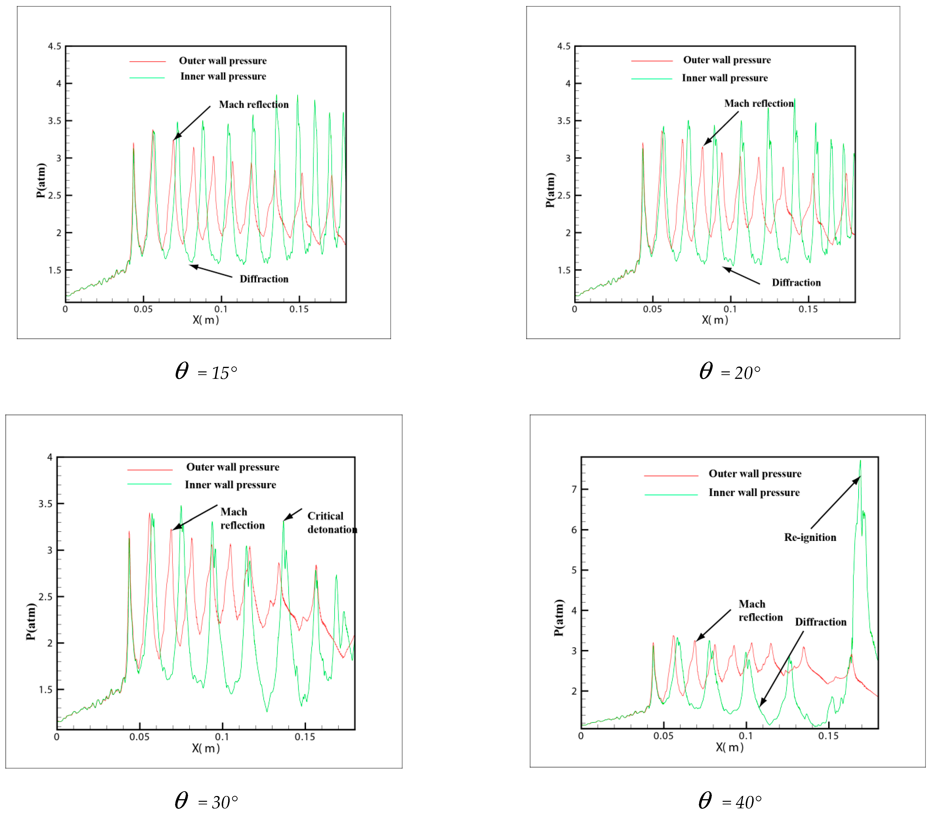
5.2. Internal and External Boundary Pressure Distribution
5.3. Evolution Process of Detonation Wave in Bend
5.4. Chemical Reaction in Bend Pipe
5.4.1. Details of Chemical Reactions
5.4.2. Profiles of Different Chemical Components
6. Conclusions
Author Contributions
Funding
Institutional Review Board Statement
Informed Consent Statement
Data Availability Statement
Conflicts of Interest
References
- Liang, Z.; Bauwens, L. Cell structure and stability of detonations with a pressure dependent chain branching reaction rate model. Combust. Theory Model 2005, 9, 93–112. [Google Scholar] [CrossRef]
- Smirnov, N.N.; Nikitin, V.F. Modeling and simulation of hydrogen combustion in engines. Int. J. Hydrog. Energy 2014, 39, 1122–1136. [Google Scholar] [CrossRef]
- Smirnov, N.N.; Nikitin, V.F.; Stamov, L.I.; Altoukhov, D.I. Supercomputing simulations of detonation of hydrogen-air mixtures. Int. J. Hydrog. Energy 2015, 40, 11059–11074. [Google Scholar] [CrossRef]
- Anand, V.; St George, A.; Gutmark, E. Amplitude modulated instability in reactants plenum of a rotating detonation combustor. Int. J. Hydrog. Energy 2017, 42, 12629–12644. [Google Scholar] [CrossRef]
- Nakayama, H.; Moriya, T.; Kasahara, J.; Matsuo, A.; Sasamoto, Y.; Funaki, I. Stable detonation propagation in rectangular-crosssection curved channels. Combust Flame 2012, 159, 859–869. [Google Scholar] [CrossRef]
- Nikolaou, Z.M.; Chen, J.-Y.; Swaminathan, N. A 5-step reduced mechanism for combustion of CO/H2/H2O/CH4/CO2 mixtures with low hydrogen/methane and high H2O content. Combust. Flame 2013, 160, 56–75. [Google Scholar] [CrossRef]
- Ibrahim, S.S.; Masri, A.R. The effects of obstructions on overpressure resulting from premixed flame deflagration. J. Loss Prev. Process Ind. 2001, 14, 213–221. [Google Scholar] [CrossRef]
- Ciccarelli, G.; Dorofeev, S. Flame acceleration and transition to detonation in ducts. Prog. Energy Combust. Sci. 2008, 34, 499–550. [Google Scholar] [CrossRef]
- Emami, S.; Mazaheri, K.; Shamooni, A.; Mahmoudi, Y. LES of flame acceleration and DDT in hydrogen-air mixture using artificially thickened flame approach and detailed chemical kinetics. Int. J. Hydrog. Energy 2015, 40, 7395–7408. [Google Scholar] [CrossRef]
- Xuxu, S.; Quan, L.; Lu, S. The propagation mechanism of detonation wave in a round tube filled with larger blockage ratio orifice plates. Int. J. Hydrog. Energy 2019, 44, 7684–7691. [Google Scholar]
- Wang, C.J.; Guo, C.M. On the influence of low initial pressure and detonation stochastic nature on Mach reflection of gaseous detonation waves. Shock Waves 2014, 24, 467–477. [Google Scholar] [CrossRef]
- Zhang, Y.; Cheng, Y.F.; Su, J.; Wang, W.T.; Han, T.F.; Tan, Y.X.; Cao, W.G. Experimental investigation on the near detonation limits of propane/hydrogen/oxygen mixtures in a rectangular tube. Int. J. Hydrog. Energy 2020, 45, 1107–1113. [Google Scholar]
- Deng, B.; Hu, Z.; Teng, H.; Jiang, Z. Numerical investigation on detonation cell evolution in a channel with area- changing cross section. Sci. China Ser. G Phys. Mech. Astron. 2007, 50, 797–808. [Google Scholar] [CrossRef]
- Levin, V.A.; Manuilovich, I.S.; Markov, V.V. Excitation and quenching of detonation in gases. J. Eng. Phys. Thermophys. 2010, 83, 1244–1274. [Google Scholar] [CrossRef]
- Li, J.; Ren, H.; Ning, J. Numerical application of additive Runge-Kutta methods on detonation interaction with pipe bends. Int. J. Hydrog. Energy 2013, 38, 9016–9027. [Google Scholar] [CrossRef]
- Zhou, N.; Wang, W.-X.; Zhang, G.-W.; Zong, Y.-D.; Zhao, H.-J.; Yuan, X.-J. Numerical simulation study on the combustion rule of bending structure in pipes. Combust. Sci. Technol. 2018, 190, 1500–1514. [Google Scholar] [CrossRef]
- Yuan, X.; Zhou, J.; Lin, Z.; Cai, X. Adaptive simulations of detonation propagation in 90-degree bent tubes. Int. J. Hydrog. Energy 2016, 41, 18259–18272. [Google Scholar] [CrossRef]
- Li, L.; Li, L.J.; Teo, C.J.; Chang, P.H.; Khoo, B.C. Experimental study on incident wave speed and the mechanisms of deflagration-to- detonation transition in a bent geometry. Shock Waves 2017, 28, 205–216. [Google Scholar] [CrossRef]
- Edwards, D.H.; Fearnley, P.; Nettleton, M.A. Shock Diffraction in Channels with 90 Bends. Fluid Mech. 1983, 32, 257–270. [Google Scholar] [CrossRef]
- Frolov, S.; Aksenov, V.; Shamshin, I. Reactive shock and detonation propagation in U-bend tubes. J. Loss Prev. Process Ind. 2007, 20, 501–508. [Google Scholar] [CrossRef]
- Frolov, S.M.; Aksenov, V.S.; Shamshin, I.O. Shock wave and detonation propagation through U-bend tubes. Proc. Combust Inst. 2007, 31, 2421–2428. [Google Scholar] [CrossRef]
- Uchida, M.; Suda, T.; Fujimori, T. Pressure loading of detonation waves through 90-degree bend in high pressure H2-O2-N2 mixtures. Proc. Combust. Inst. 2011, 33, 2327–2333. [Google Scholar] [CrossRef]
- Kudo, Y.; Nagura, Y.; Kasahara, J.; Sasamoto, Y.; Matsuo, A. Oblique detonation waves stabilized in rectangular-cross-section bent tubes. Proc. Combust. Inst. 2011, 33, 2319–2326. [Google Scholar] [CrossRef]
- Wang, L.Q.; Ma, H.H.; Shen, Z.W.; Cheng, Y.F.; Chen, D.G. Detonation behaviors of syngas-oxygen in round and square tubes. Int. J. Hydrog. Energy 2018, 43, 14775–14786. [Google Scholar] [CrossRef]
- Sugiyama, Y.; Nakayama, Y.; Matsuo, A.; Nakayama, H.; Kasahara, J. Numerical Investigations on Detonation Propagation in a Two-Dimensional Curved Channel. Combust. Sci. Technol. 2014, 186, 1662–1679. [Google Scholar] [CrossRef]
- Shi, X.; Ryu, J.I.; Chen, J.Y.; Dibble, R.W. Modes of reaction front propagation and end-gas combustion of hydrogen/air mixtures in a closed chamber. Int. J. Hydrog. Energy 2017, 42, 10501–10512. [Google Scholar] [CrossRef]
- Gwak, M.; Yoh, J.J. Effect of multi-bend geometry on deflagration to detonation transition of a hydrocarbon-air mixture in tubes. Int. J. Hydrog. Energy 2014, 38, 11446–11457. [Google Scholar] [CrossRef]
- Zhenhua, P.; Jun, Q.; Pan, J.; Zhang, P.; Zhu, Y.; Gui, M. Fabrication of a helical detonation channel: Effect of initial pressure on the detonation propagation modes of ethylene/oxygen mixtures. Combust. Flame 2018, 192, 1–9. [Google Scholar]
- Otsuka, S.; Suzuki, M.; Yamamoto, M. Numerical Investigation on Detonation Wave through U-bend. J. Therm. Sci. 2010, 19, 540–544. [Google Scholar] [CrossRef]
- Liang, Z.; Curran, T.; Shepherd, J.E. Structural response to detonation loading in 90-degree. Shock Waves 2009, 1, 383–388. [Google Scholar]
- Gallier, S.; Palud, F.L.; Pintgen, F.; Mevel, R.; Shepherd, J.E. Detonation wave diffraction in H2–O2–Ar mixtures. Proc. Combust. Inst. 2017, 36, 2781–2789. [Google Scholar] [CrossRef]
- Goodwin, G.B.; Houim, R.W.; Oran, E.S. Shock transition to detonation in channels with obstacles. Proc. Combust. Inst. 2017, 36, 2717–2724. [Google Scholar] [CrossRef]
- Short, M.; Chiquete, C.; Quirk, J.J. Propagation of a stable gaseous detonation in a circular arc configuration. Proc. Combust. Inst. 2019, 37, 3593–3600. [Google Scholar] [CrossRef]
- Li, J.; Ren, H.; Ning, J. Additive Runge-Kutta methods for H2/O2/Ar detonation with a detailed elementary chemical reaction model. Chin. Sci. Bull. 2013, 58, 1216–1227. [Google Scholar] [CrossRef][Green Version]
- Niibo, T.; Morii, Y.; Ashahara, M.; Tsuboi, N.; Hayashi, A.K. Koichi Hayashi. Numerical Study on Direct Initiation of Cylindrical Detonation in H/O Mixtures: Effect of Higher-Order Schemes on Detonation Propagation. Combust. Sci. Technol. 2016, 188, 2044–2059. [Google Scholar] [CrossRef]
- Yuan, X.; Zhou, J.; Liu, S.; Lin, Z. Diffraction of cellular detonation wave over a cylindrical convex wall. Acta Astronaut. 2020, 169, 94–107. [Google Scholar] [CrossRef]
- Xia, Z.; Ma, H.; Zhuo, C.; Zhou, C. Propagation process of H2/air rotating detonation wave and influence factors in plane-radial structure. Int. J. Hydrog. Energy 2018, 43, 4609–4622. [Google Scholar] [CrossRef]
- Xia, Z.; Ma, H.; Zhuo, C.; Zhou, C. Propagation characteristics of rotating detonation wave in plane–radial ture with different pressure conditions, Proceedings of the Institution of Mechanical Engineers, Part G. J. Aerosp. Eng. 2018, 233, 1–15. [Google Scholar]
- Zbikowski, M.; Makarov, D.; Molkov, V. Numerical simulations of large-scale detonation tests in the RUT facility by the LES model. J. Hazard. Mater. 2010, 181, 949–956. [Google Scholar] [CrossRef]
- Zhou, S.; Ma, H.; Yang, Y.; Zhou, C. Investigation on propagation characteristics of rotating detonation wave in a radial-flow turbine engine combustor model. Acta Astronaut. 2019, 160, 15–24. [Google Scholar] [CrossRef]
- Nagura, Y.; Kasahara, J.; Matsuo, A. Multi-frame visualization for detonation wave diffraction. Shock Waves 2016, 26, 645–656. [Google Scholar] [CrossRef]
- Samtaney, R. Computational Methods for Self- similar Solutions of the Compressible Euler Equations. J. Comput. Phys. 1997, 132, 327–345. [Google Scholar] [CrossRef]
- Ning, J.; Zhao, H.; Li, J.; Ma, T.; Ren, H. Numerical simulation of H2-O2 gaseous detonation on the wedge. Int. J. Hydrog. Energy 2015, 40, 12897–12904. [Google Scholar] [CrossRef]
- Steger, J.L.; Warming, R.F. Flux vector splitting of the inviscid gasdynamics equations with application to finite-difference methods. J. Comput Phys. 1981, 40, 202–228. [Google Scholar] [CrossRef]
- Lee, J.H.S. Dynamic parameters of gaseous detonations. Ann. Rev. Fluid Mech. 1984, 16, 11–336. [Google Scholar] [CrossRef]
- Araújo, A.L.; Murua, A.; Sanz-Serna, J.M. Symplectic methods based on decompositions. SIAM J. Numer. Anal. 1997, 34, 1926–1947. [Google Scholar] [CrossRef]
- Kennedy, C.A.; Carpenter, M.H. Additive Runge-Kutta schemes for convection-diffusion-reaction equations. Appl. Numer. Math. 2003, 44, 139–181. [Google Scholar] [CrossRef]
- Higueras, I. Strong Stability for Additive Runge–Kutta Methods. SIAM J. Numer. Anal. 2006, 44, 1735–1758. [Google Scholar] [CrossRef]
- Westbrook, C.K. Chemical Kinetics of Hydrocarbon Oxidation in Gaseous Detonations. Combust. Flame 1982, 46, 191–210. [Google Scholar] [CrossRef]




















| Ak | nk | Eak | Ak | nk | Eak | ||||
|---|---|---|---|---|---|---|---|---|---|
| 1 | H + OH ↔ O + H2 | 8.43 × 109 | 1 | 6955 | 25 | HO2 + HO2 ↔ H2O2 + O2 | 1.81 × 1013 | 0 | 994 |
| 2 | O + H2 ↔ H + OH | 1.81 × 1010 | 1 | 8903 | 26 | H2O2 + O2 ↔ HO2 + HO2 | 9.45 × 1014 | −0.38 | 43,719 |
| 3 | H + HO2 ↔ H2 + O2 | 2.53 × 1013 | 0 | 696 | 27 | O + OH ↔ H + O2 | 1.64 × 1012 | 0.28 | −161 |
| 4 | H2 + O2 ↔ H + HO2 | 5.48 × 1013 | 0 | 57,828 | 28 | H + O2 ↔ O + OH | 2.23 × 1014 | 0 | 16,792 |
| 5 | H + HO2 ↔ OH + OH | 2.53 × 1014 | 0 | 1888 | 29 | O + HO2 ↔ OH + O2 | 5.01 × 1013 | 0 | 1000 |
| 6 | OH + OH ↔ H + HO2 | 1.20 × 1013 | 0 | 40,142 | 30 | OH + O2 ↔ O + HO2 | 1.32 × 1013 | 0.18 | 56,040 |
| 7 | H + HO2 ↔ O + H2O | 5.00 × 1013 | 0 | 994 | 31 | O + H2O2 ↔ H2O + O2 | 8.43 × 1011 | 0 | 4213 |
| 8 | O + H2O ↔ H + HO2 | 1.05 × 1012 | 0.45 | 56,437 | 32 | H2O + O2 ↔ O + H2O2 | 3.43 × 1010 | 0.52 | 89,028 |
| 9 | H + H2O2 ↔ HO2 + H2 | 1.69 × 1012 | 0 | 3776 | 33 | O + H2O2 ↔ OH + HO2 | 8.43 × 1011 | 0 | 4233 |
| 10 | HO2 + H2 ↔ H + H2O2 | 7.23 × 1011 | 0 | 18,680 | 34 | OH + HO2 ↔ O + H2O2 | 1.25 × 109 | 0.64 | 16,355 |
| 11 | H + H2O2 ↔ OH + H2O | 3.18 × 1014 | 0 | 8943 | 35 | H2 + M ↔ H + H+M | 2.23 × 1014 | 0 | 95,983 |
| 12 | OH + H2O ↔ H + H2O2 | 2.40 × 1014 | 0 | 80,483 | 36 | H2O + M ↔ H + OH + M | 3.49 × 1015 | 0 | 105,124 |
| 13 | OH + H2 ↔ H + H2O | 1.10 × 109 | 1.3 | 3657 | 37 | HO2 + M ↔ H + O2 + M | 2.11 × 1015 | 0 | 45,706 |
| 14 | H + H2O ↔ OH + H2 | 1.08 × 1010 | 1.2 | 19,097 | 38 | H2O2 + M ↔ OH + OH + M | 1.20 × 1017 | 0 | 45,508 |
| 15 | OH + OH ↔ H2 + O2 | 6.56 × 1010 | 0.26 | 29,212 | 39 | OH + M ↔ O + H+M | 1.40 × 1014 | 0.21 | 101,349 |
| 16 | H2 + O2 ↔ OH + OH | 1.69 × 1013 | 0 | 48,091 | 40 | HO2 + M ↔ O + OH + M | 6.62 × 1019 | −0.43 | 63,989 |
| 17 | OH + OH ↔ O + H2O | 6.02 × 107 | 1.3 | 0 | 41 | O2 + M ↔ O + O+M | 1.81 × 1018 | −1 | 118,041 |
| 18 | O + H2O ↔ OH + OH | 1.93 × 109 | 1.16 | 17,428 | 42 | H + H+M ↔ H2 + M | 6.53 × 1017 | −1 | 0 |
| 19 | OH + HO2 ↔ H2O + O2 | 5.00 × 1013 | 0 | 1000 | 43 | H + OH + M ↔ H2O + M | 2.25 × 1022 | −2 | 0 |
| 20 | H2O + O2 ↔ OH + HO2 | 1.43 × 1014 | 0.17 | 73,329 | 44 | H + O2 + M ↔ HO2 + M | 1.50 × 1015 | 0 | −994 |
| 21 | OH + H2O2 ↔ HO2 + H2O | 1.02 × 1013 | 0 | 1808 | 45 | OH + OH + M ↔ H2O2 + M | 9.07 × 1014 | 0 | −5067 |
| 22 | HO2 + H2O ↔ OH + H2O2 | 2.83 × 1013 | 0 | 32,789 | 46 | O + H+M ↔ OH + M | 3.00 × 1019 | −1 | 0 |
| 23 | HO2 + H2 ↔ OH + H2O | 7.23 × 1011 | 0 | 18,700 | 47 | O + OH + M ↔ HO2 + M | 1.02 × 1017 | 0 | 0 |
| 24 | OH + H2O ↔ HO2 + H2 | 8.01 × 109 | 0.43 | 71,938 | 48 | O + O+M ↔ O2 + M | 1.89 × 1013 | 0 | −1789 |
| Error1 | Error2 | Error3 | ||||
|---|---|---|---|---|---|---|
| = 0.04 | 1.82D-3 | 7.2 | 3.21d-4 | 13.0 | 5.57D-5 | 26.0 |
| /2 | 2.53D-4 | 7.7 | 2.47D-5 | 15.1 | 2.14D6 | 28.8 |
| /4 | 3.29D-5 | 7.9 | 1.63D-6 | 15.9 | 7.43D-8 | 29.9 |
| /8 | 4.16D-6 | 8.0 | 1.03D-7 | 16.1 | 2.49D-9 | 32.7 |
| /16 | 5.21D-7 | 8.2 | 6.37D-9 | 16.6 | 7.62D-11 | 33.1 |
| /32 | 6.43D-8 | - | 3.85D-10 | - | 2.30D-12 | - |
| x = 0.5, t = 0.2 | ||||||
Publisher’s Note: MDPI stays neutral with regard to jurisdictional claims in published maps and institutional affiliations. |
© 2021 by the authors. Licensee MDPI, Basel, Switzerland. This article is an open access article distributed under the terms and conditions of the Creative Commons Attribution (CC BY) license (https://creativecommons.org/licenses/by/4.0/).
Share and Cite
Zhao, H.; Li, H.; Zhao, H.; Li, L.; Li, J. The Influence of Pipe Bending Curvature on H2-O2 Gaseous Detonation Wave Front. Appl. Sci. 2021, 11, 3951. https://doi.org/10.3390/app11093951
Zhao H, Li H, Zhao H, Li L, Li J. The Influence of Pipe Bending Curvature on H2-O2 Gaseous Detonation Wave Front. Applied Sciences. 2021; 11(9):3951. https://doi.org/10.3390/app11093951
Chicago/Turabian StyleZhao, Hui, Huiyuan Li, Haitao Zhao, Leisheng Li, and Jian Li. 2021. "The Influence of Pipe Bending Curvature on H2-O2 Gaseous Detonation Wave Front" Applied Sciences 11, no. 9: 3951. https://doi.org/10.3390/app11093951
APA StyleZhao, H., Li, H., Zhao, H., Li, L., & Li, J. (2021). The Influence of Pipe Bending Curvature on H2-O2 Gaseous Detonation Wave Front. Applied Sciences, 11(9), 3951. https://doi.org/10.3390/app11093951

