Next Article in Journal
Search Patterns Based on Trajectories Extracted from the Response of Second-Order Systems
Previous Article in Journal
Correction: Antonelli, A., et al. Can Bone Compaction Improve Primary Implant Stability? An In Vitro Comparative Study with Osseodensification Technique. Applied Sciences 2020, 10, 8623
 
 
Font Type:
Arial Georgia Verdana
Font Size:
Aa Aa Aa
Line Spacing:
Column Width:
Background:
Article

Optimal Feature Set Size in Random Forest Regression

1
Fred Hutchinson Cancer Research Center, Vaccine and Infectious Disease Division, Seattle, WA 98006, USA
2
Department of Applied Statistics, Yonsei University, Seoul 03722, Korea
*
Author to whom correspondence should be addressed.
Appl. Sci. 2021, 11(8), 3428; https://doi.org/10.3390/app11083428
Submission received: 26 March 2021 / Revised: 8 April 2021 / Accepted: 9 April 2021 / Published: 12 April 2021
(This article belongs to the Section Computing and Artificial Intelligence)

Abstract

One of the most important hyper-parameters in the Random Forest (RF) algorithm is the feature set size used to search for the best partitioning rule at each node of trees. Most existing research on feature set size has been done primarily with a focus on classification problems. We studied the effect of feature set size in the context of regression. Through experimental studies using many datasets, we first investigated whether the RF regression predictions are affected by the feature set size. Then, we found a rule associated with the optimal size based on the characteristics of each data. Lastly, we developed a search algorithm for estimating the best feature set size in RF regression. We showed that the proposed search algorithm can provide improvements over other choices, such as using the default size specified in the randomForest R package and using the common grid search method.

1. Introduction

Random forest [1] is one of the most successful ensemble machine learning methods because it has many advantages. It is suitable for large data with fast model fitting and evaluating, is applicable to both regression and classification, is robust to outliers, can deal with simple linear and complicated nonlinear associations, and produces competitive prediction accuracy for high-dimensional data [2,3]. These unique advantages lead RF to gain increasing interests in a variety of research fields. In particular, it has been actively used and shown great accomplishment in many biomedical applications. For example, RF has been successfully utilized in cancer prognosis and diagnosis [4,5], to predict infectious diseases with high accuracy [6,7], and to recognize disease associated genes in microarray data [8,9].
The RF prediction performance can be further improved by tuning its hyper-parameters, a factor to determine the learning process, which are usually set by users. In the RF algorithm, there are three main hyper-parameters that highly affects the performance [10]: (1) ntrees, which controls how many trees are constructed in the ensemble; (2) nodesize, which decides the size of each tree by controlling minimum number of observations in terminal nodes; and (3) mtry, which controls the feature set size to search for the best split rules at each node of trees. Many studies have been conducted to explore the influence of the three hyper-parameters on the RF prediction performance. Oshiro et al. [11] and Probst and Boulesteix [12] investigated how to obtain the optimal number of trees. Han and Kim [13] examined the effect of tree size and developed a new ensemble method for improving the RF model by growing deeper trees. Bernard et al. [14], Goldstein et al. [15], and Han and Kim [16] studied the impact of the feature set size on the prediction performance in the context of classification.
Feature set size, i.e., mtry, can be considered as the salient hyper-parameter in the sense that it controls the accuracy of individual trees and the diversity between pairs of trees in the ensemble [1]. Setting a large value makes accurate individual trees, but the trees would be similar to each other; setting a small value enhances the diversity between trees, but each tree would have poor prediction accuracy. The two indicators have a trade-off relationship, which must be balanced to achieve the best RF prediction accuracy. Hence, using the appropriate feature set size is the most important task in the RF model fitting to obtain good prediction accuracy. Unfortunately, no theoretical proof has been developed to select the optimal feature set size that provides the highest accuracy, and, in most cases, the default value specified in a software package is used. For example, the default mtry value is p / 3 for the randomForest R package and p for the RandomForestRegressor in Python’s sklearn.ensemble package, where p denotes the number of features.
Various hyper-parameter optimization algorithms have been applied to obtain the appropriate feature set size. (1) Manual tuning is a traditional optimization method which is performed by users manually. It depends on the trial and error process, so it would be effective only for experienced users. (2) Random search is a method of randomly selecting feature set sizes, evaluating the RF model for each size, and then estimating the optimal size based on RF predictions. It is very fast since only a small number of candidates is considered, but the true optimal size can be missed. (3) Grid search, which has a similar mechanism with the random search, except that every feature set size is explored. It can estimate the true optimal size with high accuracy, but it is computationally intensive. (4) Recently, a Bayesian model-based hyper-parameter optimization algorithm called BOA [17] has been increasingly implemented in machine learning and deep learning communities [18,19]. This method selects the hyper-parameters of the next step using the probability model constructed by the previous step. We propose a novel algorithm that can more efficiently replace the grid search method without using a probability model.
We investigated the effect of feature set size on the RF prediction performance in the context of regression because most existing studies have been developed focusing on classification problems. There are not enough references in regression problems, even though classification and regression are quite different analysis task. Using many datasets, a total of 56 real and artificial datasets, we first investigated whether the RF prediction performance is affected by the feature set size, and then we found a rule associated with the optimal size for each dataset. Finally, we developed a search algorithm that combines a typical grid search and two unique concepts for estimating the best size in RF regression. We compared the proposed method with the typical grid search algorithm. In addition, we compared the size estimated by the proposed method with the optimal size and the default size specified in the randomForest R package.
The rest of the paper is organized as follows. Section 2 begins with a brief introduction to the RF algorithm in regression. Through experimental studies, we first explored the influence of feature set size on the RF prediction performance, and then we examined relationships between an optimal feature set size and characteristics of given datasets. In Section 3, we propose a search algorithm for estimating the best size in regression. In Section 4, we study the impact of our proposed search algorithm on the RF prediction by comparing it with a default size and the optimal size. In addition, we compare the proposed algorithm with a typical grid search method. The paper ends with conclusion in Section 5.

2. Feature Set Size (mtry)

2.1. Random Forest Algorithm in Regression

RF, a popular ensemble machine learning method, is a modified version of bagging [20] since they share conceptually same algorithms to each other, but the main difference is that RF further reduces the variance of a prediction model by combining more de-correlated trees than bagging. The RF algorithm starts with generating bootstrapped samples from a training dataset. Multiple regression trees are fitted on the bootstrapped samples. When the trees are constructed, RF uses a random feature subset instead of all features to find the best split rule at each split of trees. The results of each tree are combined to produce a final prediction. The detailed RF algorithm in regression is described in Algorithm 1.
Algorithm 1 The RF algorithm in regression.
Training Phase:
Given:
  - D: training set with n observations, p features, and the response variable.
  - B: number of regressors in the ensemble.
Procedure:
  For b = 1 to B
  1. Generate bootstrapped sample D b * from training set D.
  2. Grow a regression tree using the bootstrapped sample D b * .
   For a given node t,
   (i) Randomly sample mtry features from the full features.
   (ii) Find the best split rule using the random feature subset.
   (iii) Split the node t into two child nodes using the best split rule.
   Repeat (i)–(iii) until stopping rules are met.
  3. Obtain a trained regressor R b .
Test Phase:
  For a test instance x, the prediction estimated by the B regressors is given as:
R ( x ) = 1 B b = 1 B R b ( x )

2.2. Influence on Prediction Performance

In the literature, three mtry values, 1, l o g 2 ( p ) + 1 , and p / 3 , have been primarily used in the RF model fitting. The first two were introduced by Breiman [1], and the last was recommended for regression problems by Hastie et al. [2] and Liaw and Wiener [21]. We consider p / 3 as the default mtry value throughout this paper.
We conducted experimental studies to investigate the influence of the feature set size on the RF prediction accuracy in regression. The experiments were based on 56 real or artificial datasets that were used in other studies or came from the UCI data repository [22]. Table 1 and Table 2 contain information about the datasets.
The design of the experiments is as follows: we randomly split a dataset into 60% training set for fitting and 40% test set for evaluating. For the RF model fitting, we used the full range of values from 1 to p as the value of mtry. We set the number of trees as 100, which is a common choice in many RF applications [15,16,43]. For evaluation, root mean squared error (RMSE) was calculated to measure the RF prediction performance. All experiments were repeated 100 times to obtain stable results.
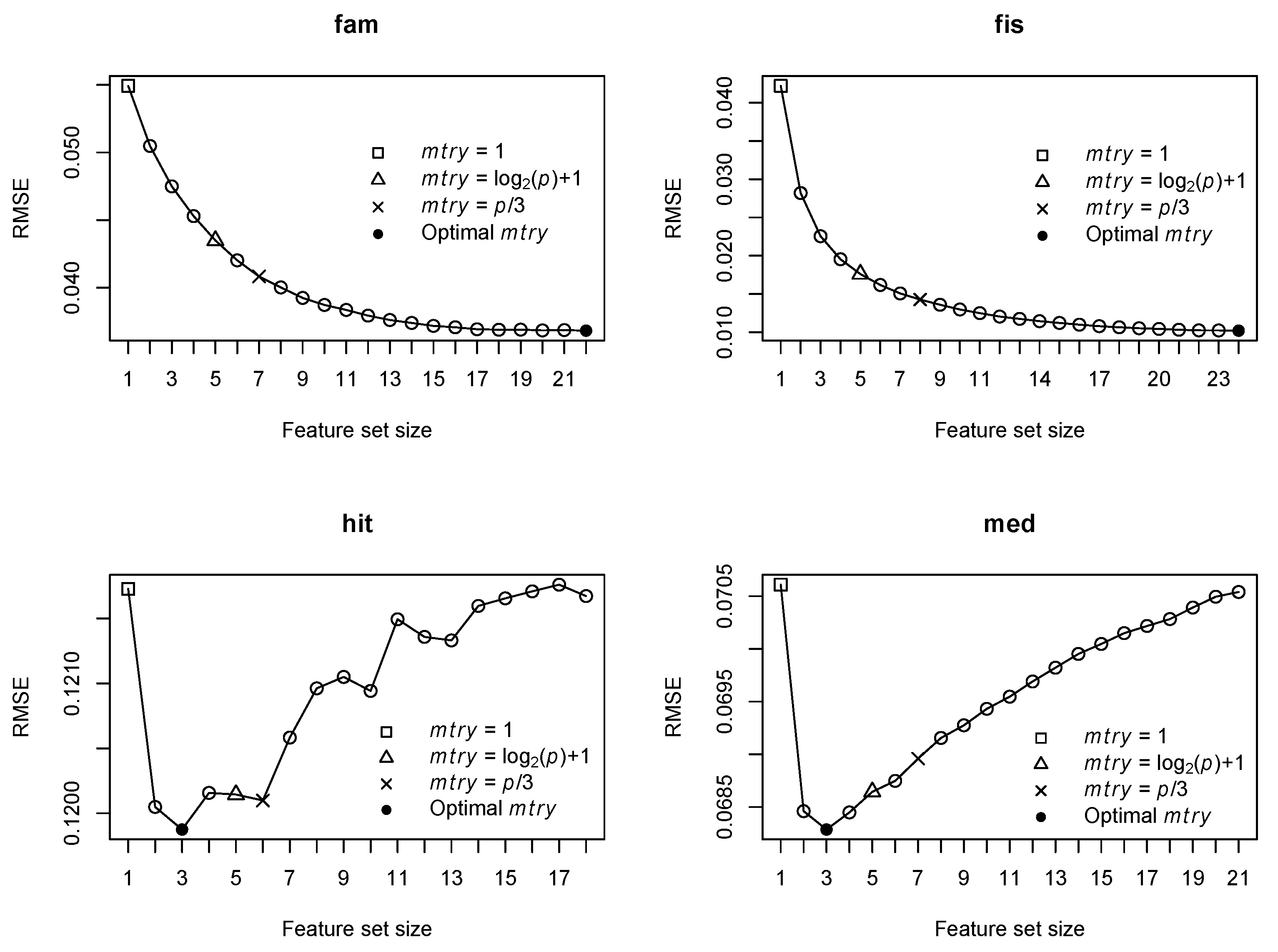
The results are organized with three figures. First, Figure 1 compares the RMSE depending on different mtry values using four representative datasets.
The large fluctuation of RMSE means that the performance of the RF is severely affected by mtry values. Moreover, the results clearly show that the optimal mtry that achieves the smallest RMSE differs from the common choices in all four datasets. Second, in Figure 2, we explore a relative distance, which is defined as (optimal mtry—default mtry)/p, to measure the difference between the optimal size and the default size. There are only four datasets where the default size is matched to the optimal size, and, in most cases, the default size fails to offer the best RF prediction accuracy. In addition, there are more datasets where the optimal size is larger than the default size than there are datasets in the opposite case.
Last, Figure 3 compares the optimal size and the default size by using a relative RMSE, defined as l o g ( RMSE with default m t r y RMSE with optimal m t r y ) . The relative RMSE greater than 0 means that the optimal size achieves more accurate prediction than the default size. The RF model with the optimal size is obviously more accurate than that with the default size because almost all boxes are located above 0. The performance difference is huge when the optimal size is larger than the default size, but the difference is quite small when the optimal size is smaller than the default size. In summary, through the experimental results, we observed that: (1) the mtry value has an important role in the RF prediction performance; (2) the default mtry value cannot guarantee the best RF performance in regression problems; (3) the optimal mtry value differed dataset to dataset; and (4) there is no clear pattern for the optimal size, thus it is difficult to guess the best mtry value in advance.

2.3. Rule for Optimal Feature Set Size

In this section, we further try to find a rule associated with the optimal mtry using characteristics of datasets. In the context of classification, Bernard et al. [14] and Goldstein et al. [15] observed that the optimal size tends to be related to the number of relevant features, where the relevance means that a feature is significantly associated with the target. If there are many relevant features in a given dataset, a smaller mtry value is preferred to utilize the relevant features equally for splitting nodes in the tree construction. As a result, the trees will be more diverse. In this situation, larger mtry value would cause similar trees in the ensemble because the most dominant feature is repeatedly selected for the split rule at each node. On the other hand, if there are only a few relevant features in a given dataset, a larger mtry value may be advantageous to increase the accuracy of individual trees. However, these observations are limited on classification problems and may not be valid in regression problems. Hence, we sought a relationship between the optimal mtry and the characteristics of given datasets, focusing on the relevance of features, in the context of regression.
How do we measure the relevance between the response variable Y and a feature X i , where i = 1 , , p , in regression? The typical Pearson correlation coefficient between Y and X i can be ineffective because it deals with linear associations only. Hence, we consider a modified Pearson correlation coefficient between Y and Y i ^ , which is a predicted response for X i , obtained by a regression tree between Y and X i . In detail, a decision tree between Y and X i is fitted with pruning, and then the predicted response Y i ^ is obtained by applying X i on the fitted tree. We can capture both linear and nonlinear associations by considering the decision tree [2]. We denote the modified Pearson correlation coefficients as R i , i = 1 , , p , and the larger R i means stronger evidence that X i is a relevant feature to the response Y.
To investigate whether the optimal mtry is related to the relevance of features, we consider a classification tree, where the target variable Y d t is a binary outcome that is 1 if the optimal size is larger than the default size, and is 0 if the optimal size is smaller than or equal to the default size. We also create a variety of factors X d t to be used in the decision tree: (1) n r e l , number of relevant features; (2) n i r r , number of irrelevant features; (3) s c o r , standard deviation of R i ; (4) m c o r , mean of R i ; (5) c c o r , coefficient of variation of R i ; and (6) p n , ratio of features and observations. The definitions of Y d t and X d t are summarized in Table 3.
Figure 4 depicts the classification tree with pruning between Y d t and X d t based on a total of 56 datasets, where s c o r , standard deviation of R i , is the most significant factor to discriminate the 56 datasets. The result shows that, for s c o r < 0.135 , there are many datasets with the optimal size less than or equal to the default size; for s c o r 0.135 , most datasets have an optimal size larger than the default size. These results can be interpreted as follows. If features in a given dataset have similar relevance to each other, the optimal size tends to be small, thus setting smaller mtry value can be helpful to achieve good prediction performance. Conversely, if features are widely distributed from irrelevant to relevant, the optimal size tends to be large, thus setting larger mtry value may be preferred.
We found that the optimal feature set size may be related to the relevance of features in a given dataset, but it is not enough to select a specific mtry in RF model fitting. Hence, in the next section, we develop a search algorithm for estimating the best mtry in RF regression.

3. Search Algorithm for Optimal Feature Set Size in Random Forest Regression

We develop a search algorithm for estimating the best mtry in RF regression using the findings in Section 2. This algorithm is also motivated by Han and Kim [16].
Our proposed algorithm combines a typical grid search method and two unique concepts: (1) SearchDirection, which controls the direction of search, “forward” and “backward”; and (2) SearchSize, which decides how many features are searched at a time, set c e i l i n g ( p / 10 ) by default. These two concepts make our proposed search algorithm more efficient than the typical grid search method by reducing the number of searches. The proposed algorithm searches using the out-of-bag mean squared error (OOB-MSE), which is computed on the out-of-bag samples. The OOB-MSE estimate is known as a good estimate for the true MSE [1]. In the SearchDirection = “forward” setting, the proposed algorithm starts the searches from m t r y = f l o o r ( p / 3 ) to p in increasing order. Note that, if SearchDirection is “backward”, the searches are performed from m t r y = f l o o r ( p / 3 ) to 1 in decreasing order.
We now describe our proposed search algorithm using a simple example. Suppose that SearchDirection is “forward" and a dataset has 15 features ( p = 15 ); then, SearchSize is set as c e i l i n g ( 15 / 10 ) = 2 by default. The proposed method first computes the OOB-MSE of the RF model with m t r y = ( 15 / 3 ) = 5 , which is denoted as e ^ 5 . Then, it compares e ^ 5 with the next two OOB-MSEs, e ^ 6 and e ^ 7 , which are obtained by the RF model with m t r y = 6 and m t r y = 7 , respectively, given that SearchSize is 2. If e ^ 5 is smaller than the minimum of e ^ 6 and e ^ 7 , the algorithm estimates the best mtry as 5 and terminates the search. If e ^ 5 is larger than one of e ^ 6 and e ^ 7 , the minimum of e ^ 6 and e ^ 7 is continuously compared with the next two OOB-MSE, e ^ 8 and e ^ 9 . The algorithm is reiterated until stopping criteria are met. The detailed search algorithm is in Algorithm 2.
Algorithm 2 A search algorithm for estimating the best mtry in RF regression.
Require: S e a r c h D i r e c t i o n f o r w a r d " or b a c k w a r d " , and F f l o o r ( p / 3 )
Require: S e a r c h S i z e c e i l i n g ( p / 10 )
Require: e ^ f : out-of-bag Mean Squared Error with m t r y = f
Procedure:
  1: if S e a r c h D i r e c t i o n = b a c k w a r d " then
  2:  Compute e ^ F
  3:  for x from ( F 1 ) to ( F S e a r c h S i z e ) with decrement 1
  4:   if there is e ^ x already then skip
  5:   else compute e ^ x
  6:   end if
  7:  end for
  8:  j a r g m i n j ( e ^ j |j∈ [ F S e a r c h S i z e , , F 1 ])
  9:  if e ^ j < e ^ F thenFj and go to 3
  10: endif
  11: if S e a r c h D i r e c t i o n = f o r w a r d " then
  12:  Compute e ^ F
  13:  for x from ( F + 1 ) to ( F + S e a r c h S i z e ) with increment 1
  14:   if there is e ^ x already then skip
  15:   else compute e ^ x
  16:   end if
  17:  end for
  18:  j a r g m i n j ( e ^ j |j∈ [ F + 1 , , F + S e a r c h S i z e ])
  19:  if e ^ j < e ^ F thenFj and go to 13
  20: endif
  21: Return F

4. Experimental Study

This section studies the impact of our proposed search algorithm by comparing the RF prediction accuracy using an estimated mtry by our proposed algorithm, with that using the optimal mtry, the default mtry, and an estimated mtry by a typical grid search method. We determine the SearchDirection by the results of the classification tree in Figure 4. Specifically, if a dataset falls into the node number 2, the SeachDirection is assigned as “backward”; if a dataset falls into the node number 3, the SearchDirection is assigned as “forward".

4.1. Estimated Size vs. Optimal Size

The results of comparison between the estimated mtry by our proposed algorithm and the optimal mtry are presented with two figures. First, Figure 5 compares the relative distance between the estimated mtry and the optimal mtry, where the relative distance between the optimal mtry and the default mtry is added above as a reference. The two subfigures clearly show that the estimated mtry is closer to the optimal mtry than the default, and, in 23 out of 56 datasets, the estimated mtry is exactly matched to the optimal mtry. It demonstrates that the proposed search algorithm performs well to estimate the optimal mtry. Second, Figure 6 compares the relative RMSE between the estimated mtry and the optimal mtry. Since almost all boxes are located near 0, it seems that the estimated mtry and the optimal mtry produce similar RF prediction performances.

4.2. Estimated Size vs. Default Size

Figure 7 compares the relative RMSE between the estimated mtry and the default. The results show that using the estimated mtry offers improvement over the default size in terms of the RF prediction because many boxes are located above 0. Interestingly, the distribution of the boxes is quite similar with that in Figure 3. It confirms that the optimal mtry and the estimated mtry have similar performance. We further conducted the paired t-tests based on the 100 RMSE pairs of the estimated mtry and the default mtry for each dataset. We observed that the RF prediction using the estimated mtry is statistically better than that using the default mtry on 38 out of 56 datasets, and, for the other 18 datasets, their differences are not statistically significant. There is no dataset where the default mtry produces better prediction than the estimated mtry.

4.3. Comparison between the Proposed Search and Typical Grid Search

Figure 8 compares the estimated mtry by the proposed search algorithm and the one by the typical grid search method in terms of prediction accuracy and computational cost. The typical grid search method can be considered as a special version of the proposed search algorithm, where the searches are always performed from m t r y = 1 to p with the Searchsize of p. The results demonstrate that, while the RF prediction accuracies using the two estimated sizes are not different because almost all boxes are located near 0, the proposed search algorithm is much faster than the typical grid search method.

5. Conclusions

We focused on the influence of mtry on the RF prediction in regression problems because most existing studies about mtry have been primarily conducted focusing on classification problems. Using many datasets, a total of 56 real or artificial datasets, we carried out several experiments and observed that mtry has a significant impact on the RF regression prediction. In addition, the default mtry of p / 3 cannot guarantee the highest accuracy in regression.
We also found that it is difficult to find a specific rule for estimating the best mtry since the optimal size seems domain dependent. Fortunately, we found a relationship between the optimal size and characteristics of datasets. If the features of the dataset have similar relevance to each other, the optimal size tends to be relatively small, thus smaller mtry values are preferred. In the opposite case, larger mtry values are preferred.
We developed a search algorithm for estimating the optimal mtry in RF regression, which is motivated from a method for RF classification [16]. The proposed search algorithm combines a typical grid search method and two unique concepts of “SearchDirection” and “SearchSize”. The two additional concepts allow our proposed search algorithm to estimate the best mtry more efficiently than the typical grid search method. In the experimental studies, we demonstrated that the estimated size by the proposed algorithm is close to the optimal size and produces better prediction accuracy than the default size. We also confirmed that the proposed algorithm provides similar prediction accuracy to the typical grid search method, but it is more efficient in terms of computational cost.

Author Contributions

Conceptualization, S.H. and H.K.; Methodology, S.H. and H.K.; Formal analysis, S.H.; Supervision, H.K.; Manuscript writing, S.H. and H.K.; and Manuscript editing, S.H. and H.K. All authors have read and agreed to the published version of the manuscript.

Funding

This work was supported by Basic Science Research program through the National Research Foundation of Korea (NRF) funded by the Ministry of Education, Science, and Technology (No. 2016R1D1A1B02011696).

Institutional Review Board Statement

Not applicable.

Informed Consent Statement

Not applicable.

Data Availability Statement

Data used in this study are available at https://github.com/shan-stat/rf_reg, (accessed on 12 March 2021).

Conflicts of Interest

The authors declare no conflict of interest.

References

  1. Breiman, L. Random Forests. Mach. Learn. 2001, 45, 5–32. [Google Scholar] [CrossRef]
  2. Hastie, T.; Tibshirani, R.; Friedman, J. The Elements of Statistical Learning: Data Mining, Inference, and Prediction; Springer: New York, NY, USA, 2001. [Google Scholar]
  3. James, G.; Witten, D.; Hastie, T.; Tibshirani, R. An Introduction to Statistical Learning; Springer: New York, NY, USA, 2013. [Google Scholar]
  4. Sun, G.; Li, S.; Cao, Y.; Lang, F. Cervical Cancer Diagnosis based on Random Forest. Int. J. Perform. Eng. 2017, 13. [Google Scholar] [CrossRef]
  5. Dai, B.; Chen, R.; Zhu, S.; Zhang, W. Using random forest algorithm for breast cancer diagnosis. In Proceedings of the International Symposium on Computer, Consumer and Control (IS3C), Taichung, Taiwan, 6–8 December 2018; pp. 449–452. [Google Scholar]
  6. Fang, X.; Liu, W.; Ai, J.; He, M.; Wu, Y.; Shi, Y.; Shen, W.; Bao, C. Forecasting incidence of infectious diarrhea using random forest in Jiangsu Province, China. BMC Infect. Dis. 2020, 20, 1–8. [Google Scholar] [CrossRef] [PubMed]
  7. Kamal, S.; Urata, J.; Cavassini, M.; Liu, H.; Kouyos, R.; Bugnon, O.; Wang, W.; Schneider, M. Random forest machine learning algorithm predicts virologic outcomes among HIV infected adults in Lausanne, Switzerland using electronically monitored combined antiretroviral treatment adherence. AIDS Care 2020, 33, 530–560. [Google Scholar] [CrossRef] [PubMed]
  8. Moorthy, K.; Mohamad, M. Random forest for gene selection and microarray data classification. In Proceedings of the Third Knowledge Technology Week, Kajang, Malaysia, 18–22 July 2011; pp. 174–183. [Google Scholar]
  9. Anaissi, A.; Kennedy, P.J.; Goyal, M.; Catchpoole, D.R. A balanced iterative random forest for gene selection from microarray data. BMC Bioinform. 2013, 14, 1–10. [Google Scholar] [CrossRef] [PubMed]
  10. Probst, P.; Wright, M.N.; Boulesteix, A.L. Hyperparameters and tuning strategies for random forest. Wires. Data. Min. Knowl. 2019, 9, e1301. [Google Scholar] [CrossRef]
  11. Oshiro, T.M.; Perez, P.S.; Baranauskas, J.A. How many trees in a random forest? In Proceedings of the International Workshop on Machine Learning and Data Mining in Pattern Recognition, Berlin, Germany, 13–20 July 2012; pp. 154–168. [Google Scholar]
  12. Probst, P.; Boulesteix, A.L. To tune or not to tune the number of trees in random forest. J. Mach. Learn. Res. 2017, 18, 6673–6690. [Google Scholar]
  13. Han, S.; Kim, H.; Lee, Y. Double random forest. Mach. Learn. 2020, 109, 1569–1586. [Google Scholar] [CrossRef]
  14. Bernard, S.; Heutte, L.; Adam, S. Influence of hyperparameters on random forest accuracy. In Proceedings of the International Workshop on Multiple Classifier Systems (MCS), Reykjavik, Iceland, 10–12 June 2009; pp. 171–180. [Google Scholar]
  15. Goldstein, B.A.; Polley, E.C.; Briggs, F.B.S. Random forests for genetic association studies. Stat. Appl. Genet. Mol. 2001, 10. [Google Scholar] [CrossRef]
  16. Han, S.; Kim, H. On the Optimal Size of Candidate Feature Set in Random forest. App. Sci. 2019, 9, 898. [Google Scholar] [CrossRef]
  17. Martin, P.; David, E.G.; Erick, C.-P. BOA: The Bayesian optimization algorithm. In Proceedings of the 1st Annual Conference on Genetic and Evolutionary Computation—Volume 1; Morgan Kaufmann Publishers Inc.: San Francisco, CA, USA, 1999; pp. 525–532. [Google Scholar]
  18. Wu, J.; Chen, X.Y.; Zhang, H.; Xiong, L.D.; Lei, H.; Deng, S.H. Hyperparameter optimization for machine learning models based on Bayesian optimization. J. Electron. Sci. Technol. 2019, 17, 26–40. [Google Scholar]
  19. Fiorentini, N.; Maboudi, M.; Leandri, P.; Losa, M.; Gerke, M. Surface Motion Prediction and Mapping for Road Infrastructures Management by PS-InSAR Measurements and Machine Learning Algorithms. Remote Sens. 2020, 12, 3976. [Google Scholar] [CrossRef]
  20. Breiman, L. Bagging Predictors. Mach. Learn. 1996, 24, 123–140. [Google Scholar] [CrossRef]
  21. Liaw, A.; Wiener, M. Classification and Regression by randomForest. R News 2002, 2, 18–22. [Google Scholar]
  22. Dua, D.; Graff, C. UCI Machine Learning Repository; University of California, Irvine: Irvine, CA, USA, 2007; Available online: http://archive.ics.uci.edu/ml/index.php (accessed on 12 March 2021).
  23. Cook, R.D.; Weisberg, S. An Introduction to Regression Graphics; John Wiley & Sons: Hoboken, NJ, USA, 2009. [Google Scholar]
  24. Kenkel, D.S.; Terza, J.V. The effect of physician advice on alcohol consumption: Count regression with an endogenous treatment effect. J. Appl. Econom. 2001, 16, 165–184. [Google Scholar] [CrossRef]
  25. Chattopadhyay, S. A repeated sampling technique in assessing the validity of benefit transfer in valuing non-market goods. Land Econ. 2003, 79, 576–596. [Google Scholar] [CrossRef]
  26. Cochran, J.J. Data management, exploratory data analysis, and regression analysis with 1969–2000 major league baseball attendance. J. Stat. Educ. 2002, 10. [Google Scholar] [CrossRef]
  27. Bollino, C.A.; Perali, F.; Rossi, N. Linear household technologies. J. Appl. Econom. 2000, 15, 275–287. [Google Scholar] [CrossRef]
  28. Denman, N.; Gregory, D. Analysis of Sugar Cane Yields in the Mulgrave Area, for the 1997 Sugar Cane Season; MS305 Data Analysis Project; Department of Mathematics, University of Queensland: St Lucia, QLD, Australia, 1998. [Google Scholar]
  29. Bryant, P.G.; Smith, M.A. Practical Data Analysis: Case Studies in Business Statistics, Richard D; Irwin Publishing: Homewood, IL, USA, 1995. [Google Scholar]
  30. Harrell, F.E. Regression Modeling Strategies, with Applications to Linear Models, Survival Analysis and Logistic Regression; Springer: Berlin/Heidelberg, Germany, 2001. [Google Scholar]
  31. Berndt, E.R. The Practice of Econometrics: Classic and Contemporary; Addison-Wesley Publishing Company: Boston, MA, USA, 1991. [Google Scholar]
  32. Cochran, J.J. Career records for all modern position players eligible for the major league baseball hall of fame. J. Stat. Educ. 2000, 8. Available online: http://www.amstat.org/publications/jse (accessed on 12 March 2021).
  33. Penrose, K.W.; Nelson, A.G.; Fisher, A.G. Generalized body composition prediction equation for men using simple measurement techniques. Med. Sci. Sports Exerc. 1985, 17, 189. [Google Scholar] [CrossRef]
  34. Fernández, C.; Ley, E.; Steel, M.F.J. Bayesian modeling of catch in a north-west Atlantic fishery. J. R. Stat. Soc. C Appl. 2002, 51, 257–280. [Google Scholar] [CrossRef]
  35. Hair, J.F.; Black, W.C.; Babin, B.J.; Anderson, R.E.; Tatham, R.L. Multivariate Data Analysis; Prentice Hall: Upper Saddle River, NJ, USA, 1998. [Google Scholar]
  36. Aaberge, R.; Colombino, U.; Strøm, S. Labour supply in Italy: An empirical analysis of joint household decisions, with taxes and quantity constraints. J. Appl. Econom. 1999, 14, 403–422. [Google Scholar] [CrossRef]
  37. Afifi, A.A.; Azen, S.P. Statistical Analysis: A Computer Oriented Approach; Academic Press: Cambridge, MA, USA, 2014. [Google Scholar]
  38. Deb, P.; Trivedi, P.K. Demand for medical care by the elderly: A finite mixture approach. J. Appl. Econom. 1997, 12, 313–336. [Google Scholar] [CrossRef]
  39. Neter, J.; Kutner, M.H.; Nachtsheim, C.J.; Wasserman, W. Applied Linear Statistical Models; Irwin: Chicago, IL, USA, 1996. [Google Scholar]
  40. Rawlings, J.O. Applied Regression Analysis: A Research Tool; Wadsworth & Brooks: Pacific Grove, CA, USA, 1988. [Google Scholar]
  41. Torgo, L.F.R.A. Inductive Learning of Tree-Based Regression Models. Ph.D. Thesis, Universidade do Porto, Porto, Portugal, 1999. [Google Scholar]
  42. Schafgans, M.M.A. Ethnic wage differences in Malaysia: Parametric and semiparametric estimation of the Chinese–Malay wage gap. J. Appl. Econom. 1998, 13, 481–504. [Google Scholar] [CrossRef]
  43. Zhang, H.; Wang, M. Search for the smallest random forest. Stat. Interface 2009, 2, 381. [Google Scholar] [PubMed]
Figure 1. Comparison of RMSE depending on different feature set sizes (mtry) on four representative datasets (fam, fis, hit, and med). Each point is the averaged RMSE over 100 replicates.
Figure 1. Comparison of RMSE depending on different feature set sizes (mtry) on four representative datasets (fam, fis, hit, and med). Each point is the averaged RMSE over 100 replicates.
Applsci 11 03428 g001
Figure 2. Comparison between the optimal mtry and the default mtry ( p / 3 ). The x-axis and y-axis indicate 56 datasets and the relative distance, respectively.
Figure 2. Comparison between the optimal mtry and the default mtry ( p / 3 ). The x-axis and y-axis indicate 56 datasets and the relative distance, respectively.
Applsci 11 03428 g002
Figure 3. Comparison of the RF prediction accuracies using by the optimal mtry and the default mtry. The x-axis indicates 56 datasets with the same order as in Figure 2. The y-axis indicates the relative RMSE. Each box-plot is based on 100 relative RMSEs.
Figure 3. Comparison of the RF prediction accuracies using by the optimal mtry and the default mtry. The x-axis indicates 56 datasets with the same order as in Figure 2. The y-axis indicates the relative RMSE. Each box-plot is based on 100 relative RMSEs.
Applsci 11 03428 g003
Figure 4. Classification tree with pruning between Y d t and X d t based on a total of 56 datasets. At each node, the first line indicates the predicted class, the second line means the proportion of classes. The last line indicates the ratio of observations belonging to the node among the total observations.
Figure 4. Classification tree with pruning between Y d t and X d t based on a total of 56 datasets. At each node, the first line indicates the predicted class, the second line means the proportion of classes. The last line indicates the ratio of observations belonging to the node among the total observations.
Applsci 11 03428 g004
Figure 5. (Top) Comparison between the optimal mtry and the default mtry; and (Bottom) comparison between the estimated mtry by the proposed search algorithm and the optimal mtry. The x-axis and y-axis indicate 56 datasets and the relative distance, respectively.
Figure 5. (Top) Comparison between the optimal mtry and the default mtry; and (Bottom) comparison between the estimated mtry by the proposed search algorithm and the optimal mtry. The x-axis and y-axis indicate 56 datasets and the relative distance, respectively.
Applsci 11 03428 g005
Figure 6. Comparison of the RF prediction performances using the estimated mtry by the proposed search algorithm and the optimal mtry. The x-axis and y-axis indicate 56 datasets and the relative RMSE, respectively. Each box-plot is based on 100 relative RMSEs.
Figure 6. Comparison of the RF prediction performances using the estimated mtry by the proposed search algorithm and the optimal mtry. The x-axis and y-axis indicate 56 datasets and the relative RMSE, respectively. Each box-plot is based on 100 relative RMSEs.
Applsci 11 03428 g006
Figure 7. Comparison of RF prediction using the estimated size by the proposed search algorithm and the default size of p / 3 . The x-axis and y-axis indicate 56 datasets and the relative RMSEs, respectively. Each box-plot is based on 100 relative RMSEs.
Figure 7. Comparison of RF prediction using the estimated size by the proposed search algorithm and the default size of p / 3 . The x-axis and y-axis indicate 56 datasets and the relative RMSEs, respectively. Each box-plot is based on 100 relative RMSEs.
Applsci 11 03428 g007
Figure 8. Comparison between the proposed search algorithm and the typical grid search method in terms of the relative RMSE and the relative computing time. The x-axis represents 56 datasets. The y-axis on the left is log(relative RMSE), which the y-axis on the right is the relative computing time, which is defined as log(Computing time of the proposed method/Computing time of the grid search algorithm).
Figure 8. Comparison between the proposed search algorithm and the typical grid search method in terms of the relative RMSE and the relative computing time. The x-axis represents 56 datasets. The y-axis on the left is log(relative RMSE), which the y-axis on the right is the relative computing time, which is defined as log(Computing time of the proposed method/Computing time of the grid search algorithm).
Applsci 11 03428 g008
Table 1. The description of 56 datasets for regression problems.
Table 1. The description of 56 datasets for regression problems.
NameObservationFeatureSource
aba41778UCI (Abalone)
air15035UCI (Airfoil Self-Noise)
ais20212[23]
alc246218[24]
ame304421[25]
app19,73525UCI (Appliances energy prediction)
att8389[26]
aut3987UCI (Auto MPG)
beh13517UCI (Behavior of the urban traffic in Sao Paulo)
blo208134R Library caret (Blood-Brain Barrier)
bos50613R Library mlbench (Boston Housing data)
bre19832UCI (Breast Cancer Wisconsin)
bsd73111UCI (Bike Sharing with count daily)
bsh17,37912UCI (Bike Sharing with count hourly)
bud172910[27]
can37759[28]
car80417R Library caret (cars)
cdo3789[29]
com1994100UCI (Communities and Crime)
con10308UCI (Concrete Compressive Strength)
cou311413[30]
cox462255R Library caret (Cox-2 Activity)
cps53410[31]
dee69613[31]
dia36615[30]
eec12968UCI (Energy efficiency with Cooling)
eeh12968UCI (Energy efficiency with Heating)
ele10,00012UCI (Electrical Grid Stability Simulated)
fac50018UCI (Facebook metrics)
fam131822[32]
fat25217[33]
fir5178UCI (Forest Fires)
fis680624[34]
hat10013[35]
hit32218R Library ISLR (Hitters)
ins582285UCI (Insurance Company Benchmark)
ist5387UCI (ISTANBUL STOCK EXCHANGE)
lab295318[36]
lah20016[37]
mdp14958R Library COUNT (medpar)
med440621[38]
ozo36612R Library mlbench (Ozone)
pks587516UCI (Parkins Telemonitoring with total-UPDRS)
rat14410[38]
rwm387414R Library COUNT (rwm1984)
Table 2. The description of 56 datasets for regression problems.
Table 2. The description of 56 datasets for regression problems.
NameObservationFeatureSource
sce11310[39]
sms14110[39]
sol106610UCI (Solar Flare with C-class)
spm39530UCI (Student Performance with Math)
spp64930UCI (Student Performance with Portuguese)
tre1008[40]
tri18660[41]
wag338017[42]
wqr159911UCI (Wine Quality with red)
wqw489811UCI (Wine Quality with white)
yac3086UCI (Yacht Hydrodynamics)
Table 3. Description of Y d t and X d t for classification tree analysis. The definitions of X d t are as follows: (1) n r e l , the number of relevant features ( Q 3 ( R ) : the third quartile of R); (2) n i r r , the number of irrelevant features ( Q 1 ( R ) : the first quartile of R); (3) s c o r , the standard deviation of R; (4) m c o r , the mean of R; (5) c c o r , the coefficient of variation of R; and (6) p n , the ratio of features and observations. Note that R is the collection of R i , i = 1 , . . . , p .
Table 3. Description of Y d t and X d t for classification tree analysis. The definitions of X d t are as follows: (1) n r e l , the number of relevant features ( Q 3 ( R ) : the third quartile of R); (2) n i r r , the number of irrelevant features ( Q 1 ( R ) : the first quartile of R); (3) s c o r , the standard deviation of R; (4) m c o r , the mean of R; (5) c c o r , the coefficient of variation of R; and (6) p n , the ratio of features and observations. Note that R is the collection of R i , i = 1 , . . . , p .
AttributeNameDefinition
Target ( Y d t ) Y d t Y d t = 1 if Optimal m t r y > Default m t r y
Y d t = 0 if Optimal m t r y ≤ Default m t r y
Factor ( X d t ) n r e l L e n g t h ( R > Q 3 ( R ) ) / p
n i r r L e n g t h ( R < Q 1 ( R ) ) / p
s c o r S d ( R )
m c o r M e a n ( R )
c c o r S d ( R ) / M e a n ( R )
p n p / n
Publisher’s Note: MDPI stays neutral with regard to jurisdictional claims in published maps and institutional affiliations.

Share and Cite

MDPI and ACS Style

Han, S.; Kim, H. Optimal Feature Set Size in Random Forest Regression. Appl. Sci. 2021, 11, 3428. https://doi.org/10.3390/app11083428

AMA Style

Han S, Kim H. Optimal Feature Set Size in Random Forest Regression. Applied Sciences. 2021; 11(8):3428. https://doi.org/10.3390/app11083428

Chicago/Turabian Style

Han, Sunwoo, and Hyunjoong Kim. 2021. "Optimal Feature Set Size in Random Forest Regression" Applied Sciences 11, no. 8: 3428. https://doi.org/10.3390/app11083428

APA Style

Han, S., & Kim, H. (2021). Optimal Feature Set Size in Random Forest Regression. Applied Sciences, 11(8), 3428. https://doi.org/10.3390/app11083428

Note that from the first issue of 2016, this journal uses article numbers instead of page numbers. See further details here.

Article Metrics

Back to TopTop