Load Frequency Control for Multi-Area Power Plants with Integrated Wind Resources
Abstract
1. Introduction
- The MAIPS state variables and the estimated MAIPS state variables are asymptotically stable with the new linear matrix inequality (LMI) method.
- The simulation results show that the MAIPS performance is better in terms of overshoot and settling time in comparison with some recent approaches. Therefore, the proposed method is useful for the LFC of real MAIPSs.
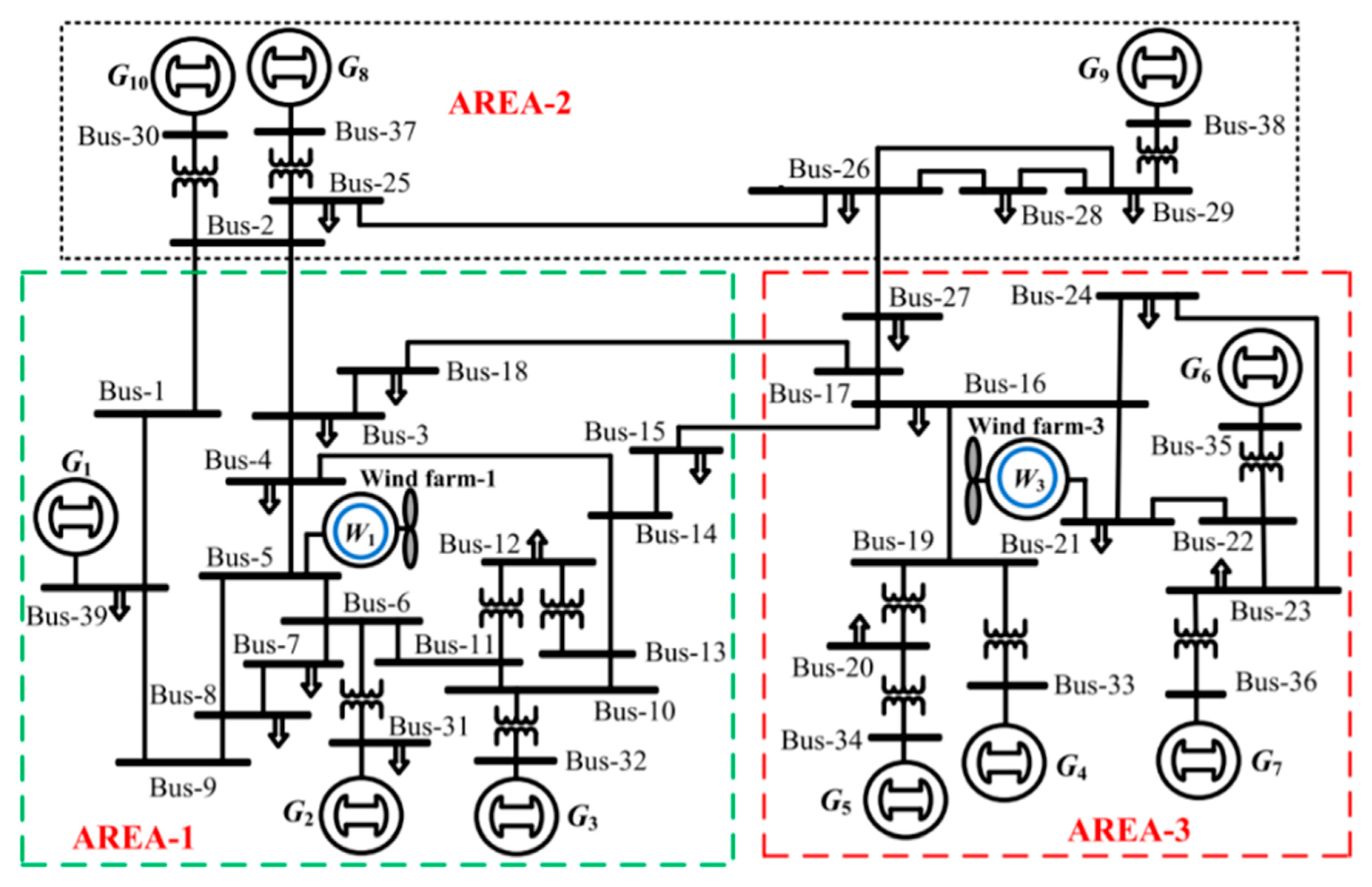
2. Multi-Area Interconnected Power System (MAIPS) Model in the State Space Form for Load Frequency Control
3. Wind Plant Model
- −
- The tip speed ratio ()
- −
- Performance coefficient () of the turbine is given by.
4. State Observer Based on Sliding Mode Control Strategies
4.1. Multi-Area Power System State Observer Design
4.2. Stability Analysis of Whole System in Sliding Mode Dynamic
4.3. Decentralized State Estimator Feedback Integral Sliding Mode Control (DSEFISMC) Design
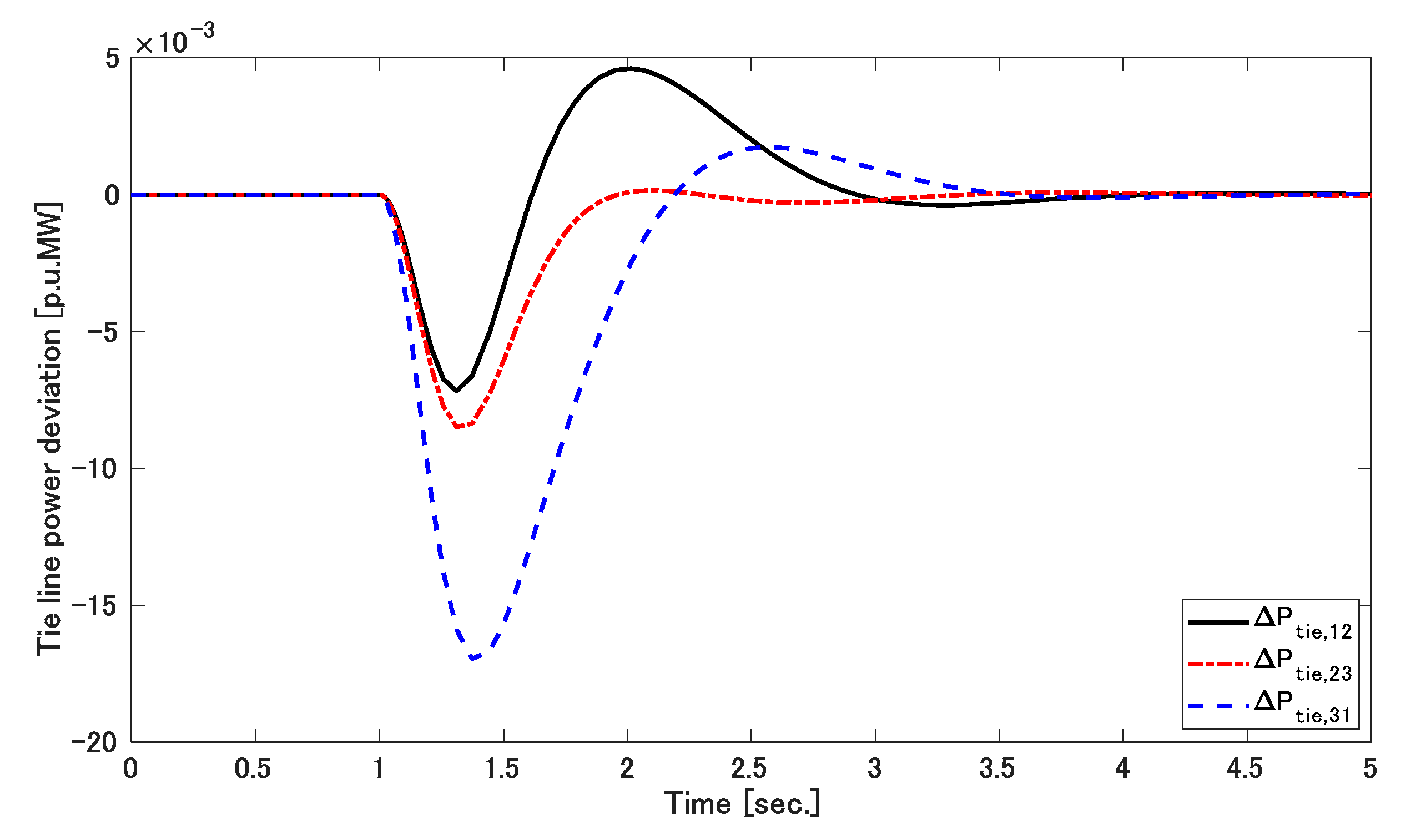
5. Result Discussions
5.1. Simulation 1
5.2. Simulation 2
6. Conclusions
Author Contributions
Funding
Institutional Review Board Statement
Informed Consent Statement
Data Availability Statement
Conflicts of Interest
References
- Hsu, K.C. Decentralized variable structure model-following adaptive control for interconnected systems with series nonlinearities. Int. J. Syst. Sci. 1998, 29, 365–372. [Google Scholar] [CrossRef]
- Bevrani, H.; Mitani, Y.; Tsuji, K. Robust decentralized load-frequency control using an iterative linear matrix inequalities algorithm. IEE Proc. Gener. Trans. Distrib. 2004, 151, 347–354. [Google Scholar] [CrossRef]
- Thirunavukarasu, R.; Chidambaram, I.A. PI2 controller based coordinated control with redox flow battery and unified power flow controller for improved restoration indices in a deregulated power system. Ain Shams Eng. J. 2016, 7, 1011–1102. [Google Scholar] [CrossRef]
- Farahani, M.; Ganjefar, S.; Alizadeh, M. PID controller adjustment using chaotic optimization algorithm for multi-area load frequency control. IET Control Theory Appl. 2012, 6, 1984–1992. [Google Scholar] [CrossRef]
- Saxena, S.; Hote, Y.V. Decentralized PID load frequency control for perturbed multi-area power systems. Int. J. Electr. Power Energy Syst. 2016, 81, 405–415. [Google Scholar] [CrossRef]
- Alrifai, M.T.; Hassan, M.F.; Zribi, M. Decentralized load frequency controller for a multi-area interconnected power system. Int. J. Electr. Power Energy Syst. 2011, 33, 198–209. [Google Scholar] [CrossRef]
- Zhao, C.; Topcu, U.; Low, S.H. Optimal load control via frequency measurement and neighborhood area communication. IEEE Trans. Power Syst. 2013, 28, 3576–3587. [Google Scholar] [CrossRef]
- Abdennour, A. Adaptive optimal gain scheduling for the load frequency control problem. Electr. Power Compon. Syst. 2002, 30, 45–56. [Google Scholar] [CrossRef]
- Daneshfar, F.; Bevrani, H. Load-frequency control: A GA based multi-agent reinforcement learning. IET Gener. Trans. Distrib. 2010, 4, 13–26. [Google Scholar] [CrossRef]
- Saxena, S.; Hote, Y.V. Load frequency control in power systems via internal model control scheme and model-order reduction. IEEE Trans. Power Syst. 2013, 28, 2749–2757. [Google Scholar] [CrossRef]
- Ersdal, A.M.; Imsland, L.; Uhlen, K. Model predictive load-frequency control. IEEE Trans. Power Syst. 2016, 31, 777–785. [Google Scholar] [CrossRef]
- Chang-Chien, L.R.; Wu, Y.S.; Cheng, J.S. Online estimation of system parameters for artificial intelligence applications to load frequency control. IET Gener. Trans. Distrib. 2010, 5, 895–902. [Google Scholar] [CrossRef]
- Yousef, H. Adaptive fuzzy logic load frequency control of multi-area power system. Int. J. Electr. Power Energy Syst. 2015, 68, 384–395. [Google Scholar] [CrossRef]
- Liu, F.; Li, Y.; Cao, Y.; She, J.; Wu, M. A two-layer active disturbance rejection controller design for load frequency control of interconnected power system. IEEE Trans. Power Syst. 2016, 31, 3320–3321. [Google Scholar] [CrossRef]
- Liu, Y.; Lan, Q.; Qian, C.; Qian, W.; Chu, H. Universal finite time observer design and adaptive frequency regulation of hydraulic turbine systems. IET Control Theory Appl. 2016, 10, 363–370. [Google Scholar] [CrossRef]
- Chen, H.; Sun, N. Nonlinear control of under-actuated systems subject to both actuated and unactuated state constraints with experimental verification. IEEE Trans. Ind. Electr. 2019, 67, 7702–7714. [Google Scholar] [CrossRef]
- Sun, Y.; Qiang, H.; Mei, X.; Teng, Y. Modified repetitive learning control with unidirectional control input for uncertain nonlinear systems. Neural Comput. Appl. 2018, 30, 2003–2012. [Google Scholar] [CrossRef]
- Bevrani, H. Robust Power System Frequency Control; Springer: New York, NY, USA, 2009. [Google Scholar]
- Mi, Y.; Fu, Y.; Wang, C.; Wang, P. Decentralized sliding mode load frequency control for multi-area power systems. IEEE Trans. Power Syst. 2013, 28, 4301–4309. [Google Scholar] [CrossRef]
- Onyeka, A.E.; Xing-Gang, Y.; Mao, Z.; Jiang, B.; Zhang, Q. Robust decentralized load frequency control for interconnected time delay power systems using sliding mode techniques. IET Control Theory Appl. 2019, 14, 470–480. [Google Scholar] [CrossRef]
- Guo, J. Application of a novel adaptive sliding mode control method to the load frequency control. Eur. J. Control 2020, 57, 172–178. [Google Scholar]
- Lv, X.; Sun, Y.; Wang, Y.; Dinavahi, V. Adaptive event-triggered load frequency control of multi-area power systems under networked environment via sliding mode control. IEEE Access 2020, 8, 86585–86594. [Google Scholar] [CrossRef]
- Le Ngnoc Minh, B.; Huynh, V.V.; Nguyen, T.M.; Tsai, Y.W. Decentralized adaptive double integral sliding mode controller for multi-area power systems. Math. Probl. Eng. 2018, 2018, 1–11. [Google Scholar] [CrossRef]
- Huynh, V.V.; Tran, P.T.; Minh, B.L.N.; Tran, A.T.; Tuan, D.H.; Nguyen, T.M.; Vu, P.T. New second-order sliding mode control design for load frequency control of a power system. Energies 2020, 13, 6509. [Google Scholar] [CrossRef]
- Kalla, U.K.; Singh, B.; Murthy, S.S.; Jain, C.; Kant, K. Adaptive sliding mode control of standalone single-phase microgrid using hydro, wind, and solar PV array-based generation. IEEE Trans. Smart Grid 2017, 9, 6806–6814. [Google Scholar] [CrossRef]
- Dev, A.; Sarkar, M.K.; Asthana, P.; Narzary, D. Event-Triggered adaptive integral higher-order sliding mode control for load frequency problems in multi-area power systems. Iran. J. Sci. Technol. Trans. Electr. Eng. 2019, 43, 137–152. [Google Scholar] [CrossRef]
- Sarkar, M.K.; Dev, A.; Asthana, P.; Narzary, D. Chattering free robust adaptive integral higher order sliding mode control for load frequency problems in multi-area power systems. IET Control Theory Appl. 2018, 12, 1216–1227. [Google Scholar] [CrossRef]
- Rosyiana, F.I.; Kim, J.S.; Song, H. High-gain disturbance observer-based robust load frequency control of power systems with multiple areas. Energies 2017, 10, 595. [Google Scholar]
- Mi, Y.; Fu, Y.; Li, D.; Wang, C.; Loh, P.C.; Wang, P. The sliding mode load frequency control for hybrid power system based on disturbance observer. Int. J. Electr. Power Energy Syst. 2016, 74, 446–452. [Google Scholar] [CrossRef]
- Wang, C.; Mi, Y.; Fu, Y.; Wang, P. Frequency control of an isolated micro-grid using double sliding mode controllers and disturbance observer. IEEE Trans. Smart Grid 2016, 9, 923–930. [Google Scholar] [CrossRef]
- Liao, K.; Xu, Y. A robust load frequency control scheme for power systems based on second-order sliding mode and extended disturbance observer. IEEE Trans. Ind. Inf. 2017, 14, 3076–3086. [Google Scholar] [CrossRef]
- Huynh, V.V.; Minh, B.L.N.; Amaefule, E.N.; Tran, A.T.; Tran, P.T. Highly robust observer sliding mode based frequency control for multi area power systems with renewable power plants. Electronics 2021, 10, 274. [Google Scholar] [CrossRef]
- Tummala, A.S.; Inapakurthi, R.; Ramanarao, P.V. Observer based sliding mode frequency control for multi-machine power systems with high renewable energy. J. Mod. Power Syst. Clean Energy 2018, 6, 473–474. [Google Scholar] [CrossRef]
- Prasad, S.; Purwar, S.; Kishor, N. Load frequency regulation using observer based non-linear sliding mode control. Int. J. Electr. Power Energy Syst. 2019, 104, 178–193. [Google Scholar] [CrossRef]
- Liu, X.; Wang, P.; Loh, P.C. A hybrid AC/DC microgrid and its coordination control. IEEE Trans. Smart Grid 2011, 2, 278–286. [Google Scholar]
- Obaid, Z.A.; Cipcigan, L.M.; Abrahim, L.; Muhssin, M.T. Frequency control of future power systems: Reviewing and evaluating challenges and new control methods. J. Mod. Power Syst. Clean Energy 2019, 7, 9–25. [Google Scholar] [CrossRef]
- Bucolo, M.; Buscarino, A.; Famoso CFortuna, L.; Frasca, M. Control of imperfect dynamical systems. Nonlinear Dyn. 2019, 98, 2989–2999. [Google Scholar] [CrossRef]






















Publisher’s Note: MDPI stays neutral with regard to jurisdictional claims in published maps and institutional affiliations. |
© 2021 by the authors. Licensee MDPI, Basel, Switzerland. This article is an open access article distributed under the terms and conditions of the Creative Commons Attribution (CC BY) license (http://creativecommons.org/licenses/by/4.0/).
Share and Cite
Huynh, V.V.; Minh, B.L.N.; Amaefule, E.N.; Tran, A.-T.; Tran, P.T.; Phan, V.-D.; Pham, V.-T.; Nguyen, T.M. Load Frequency Control for Multi-Area Power Plants with Integrated Wind Resources. Appl. Sci. 2021, 11, 3051. https://doi.org/10.3390/app11073051
Huynh VV, Minh BLN, Amaefule EN, Tran A-T, Tran PT, Phan V-D, Pham V-T, Nguyen TM. Load Frequency Control for Multi-Area Power Plants with Integrated Wind Resources. Applied Sciences. 2021; 11(7):3051. https://doi.org/10.3390/app11073051
Chicago/Turabian StyleHuynh, Van Van, Bui Le Ngoc Minh, Emmanuel Nduka Amaefule, Anh-Tuan Tran, Phong Thanh Tran, Van-Duc Phan, Viet-Thanh Pham, and Tam Minh Nguyen. 2021. "Load Frequency Control for Multi-Area Power Plants with Integrated Wind Resources" Applied Sciences 11, no. 7: 3051. https://doi.org/10.3390/app11073051
APA StyleHuynh, V. V., Minh, B. L. N., Amaefule, E. N., Tran, A.-T., Tran, P. T., Phan, V.-D., Pham, V.-T., & Nguyen, T. M. (2021). Load Frequency Control for Multi-Area Power Plants with Integrated Wind Resources. Applied Sciences, 11(7), 3051. https://doi.org/10.3390/app11073051

