Optimal Multi-Antenna Transmission for the Cooperative Non-Orthogonal Multiple-Access System
Abstract
1. Introduction
2. System Model
3. Beamformer Design
3.1. The Optimality of Rank One Beamformer
3.2. Design Principle
3.3. Two Designs
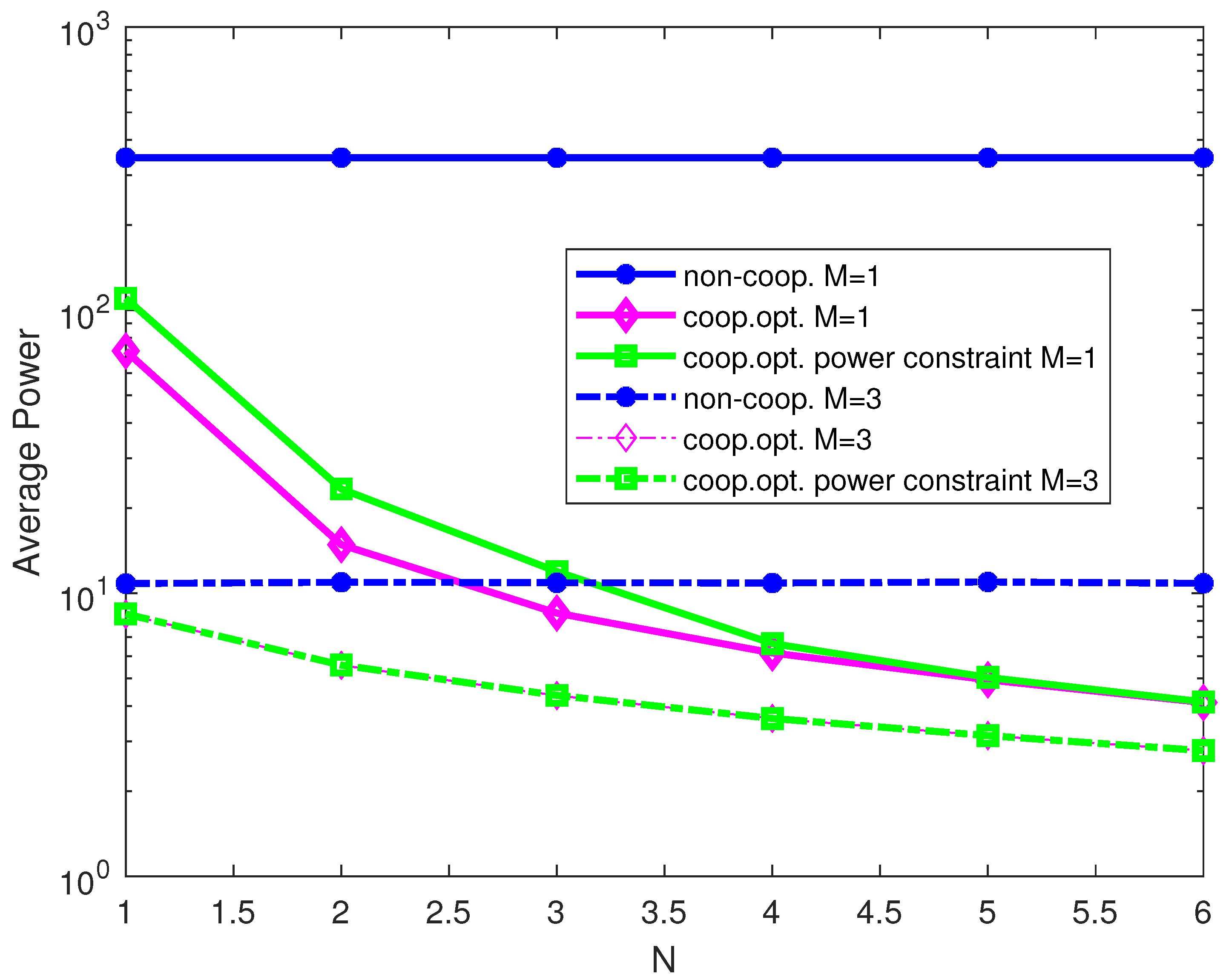
4. Numerical Results
5. Conclusions
Author Contributions
Funding
Institutional Review Board Statement
Informed Consent Statement
Data Availability Statement
Acknowledgments
Conflicts of Interest
References
- Saito, Y.; Kishyama, Y.; Benjebbour, A.; Nakamura, T.; Li, A.; Higuchi, K. Non-Orthogonal Multiple Access (NOMA) for Cellular Future Radio Access. In Proceedings of the IEEE VTC (Spring), Dresden, Germany, 2–5 June 2013; pp. 1–5. [Google Scholar]
- Wang, Q.; Zhang, R.; Yang, L.-L.; Hanzo, L. Non Orthogonal Multiple Access: A Unified Perspective. IEEE Wirel. Commun. Mag. 2018, 25, 10–16. [Google Scholar] [CrossRef]
- Liu, Y.; Pan, C.; Nallanathan, A.; Elkashan, M.; Hanzo, L. Multiple-Antenna-Assisted Non-Orthogonal Multiple Access. IEEE Wirel. Commun. Mag. 2018, 25, 17–23. [Google Scholar] [CrossRef]
- Huang, Y.; Zhang, C.; Wang, J.; Jing, Y.; Yang, L.; You, Z. Signal Processing for MIMO-NOMA: Present and Future Challenges. IEEE Wirel. Commun. Mag. 2018, 25, 32–38. [Google Scholar] [CrossRef]
- Fang, F.; Zhang, H.; Cheng, J.; Leung, V.C.M. Energy-Efficient Resource Allocation for Downlink Non-Orthogonal Multiple Access Network. IEEE Trans. Commun. 2016, 64, 3722–3732. [Google Scholar] [CrossRef]
- Bao, W.; Chen, H.; Li, Y.; Vucetic, B. Joint Rate Control and Power Allocation for Non-Orthogonal Multiple Access Systems. IEEE J. Sel. Areas Commun. 2017, 35, 2798–2811. [Google Scholar] [CrossRef]
- Zhu, J.; Wang, J.; Huang, Y.; He, S.; You, X.; Yang, L. On Optimal Power Allocation for Downlink Non-Orthogonal Multiple Access Systems. IEEE J. Sel. Areas Commun. 2017, 35, 2744–2757. [Google Scholar] [CrossRef]
- Pliatsios, D.; Sarigiannidis, P. Resource allocation combining heuristic matching and particle swarm optimization approaches: The case of downlink non-orthogonal multiple access. Information 2019, 10, 336. [Google Scholar] [CrossRef]
- Zhao, C.; Cai, Y.; Liu, A.; Zhao, M.; Hanzo, L. Mobile edge computing meets mmWave communications: Joint beamforming and resource allocation for system delay minimization. IEEE Trans. Wirel. Commun. 2020, 19, 2382–2396. [Google Scholar] [CrossRef]
- Xiao, Z.; Zhu, L.; Choi, J.; Xia, P.; Xia, X. Joint power allocation and beamforming for non-orthogonal multiple access (NOMA) in 5G millimeter wave communications. IEEE Trans. Wirel. Commun. 2018, 17, 2961–2974. [Google Scholar] [CrossRef]
- Zhu, L.; Zhang, J.; Xiao, Z.; Cao, X.; Wu, D.; Xia, X. Millimeter-wave NOMA with user grouping, power allocation and hybrid beamforming. IEEE Trans. Wirel. Commun. 2019, 18, 5065–5079. [Google Scholar] [CrossRef]
- Hanif, M.F.; Ding, Z.; Ratnarajah, T.; Karagiannidis, G.K. A Minorization-Maximization Method for Optimizing Sum rate in the Downlink of Non-Orthogonal Multiple Access Systems. IEEE Trans. Veh. Technol. 2016, 64, 76–88. [Google Scholar] [CrossRef]
- Ding, Z.; Adachi, F.; Poor, H.V. The Application of MIMO to Non-Orthogonal Multiple Access. IEEE Trans. Wirel. Commun. 2016, 15, 537–552. [Google Scholar] [CrossRef]
- Ding, Z.; Schober, R.; Poor, H.V. A General MIMO framework for NOMA downlink and uplink transmission based on signal alignment. IEEE Trans. Wirel. Commun. 2016, 15, 4438–4454. [Google Scholar] [CrossRef]
- Chen, Z.Y.; Ding, Z.; Dai, X. Beamforming for Combating Inter-cluster and Intra-cluster Interference in Hybrid NOMA Systems. IEEE Access 2016, 4, 4452–4463. [Google Scholar] [CrossRef]
- Jeong, Y.; Lee, C.; Kim, Y. Power minimizing beamforming and power allocation for MISO-NOMA systems. IIEEE Trans. Veh. Technol. 2019, 68, 6187–6191. [Google Scholar] [CrossRef]
- Sun, X.; Nan, Y.; Yan, S.; Ding, Z.; Ng, D.; Shen, C.; Zhong, Z. Joint beamforming and power allocation in downlink NOMA multiuser MIMO networks. IEEE Trans. Wirel. Commun. 2018, 17, 5367–5381. [Google Scholar] [CrossRef]
- Al-Obiedollah, H.; Cumanan, K.; Thiyagalingam, J.; Burr, A.G.; Ding, Z.; Dobre, O.A. Energy efficient beamforming design for MISO non-orthogonal multiple access systems. IEEE Trans. Commun. 2019, 67, 4117–4131. [Google Scholar] [CrossRef]
- Alavi, F.; Cumanan, K.; Ding, Z.; Burr, A.G. Beamforming techniques for nonorthogonal multiple access in 5G cellular networks. IEEE Trans. Veh. Technol. 2018, 67, 9474–9487. [Google Scholar] [CrossRef]
- Nandan, N.; Sudhan, M.; Wu, H. Secure beamforming for MIMO-NOMA-based cognitive radio network. IEEE Commun. Lett. 2018, 8, 1708–1711. [Google Scholar] [CrossRef]
- Feng, Y.; Yan, S.; Yang, Z.; Yang, N.; Yuan, J. Beamforming Design and Power Allocation for Secure Transmission with NOMA. IEEE Trans. Wirel. Commun. 2019, 18, 2639–2651. [Google Scholar] [CrossRef]
- Xu, Y.; Shen, C.; Ding, Z.; Sun, X.; Yan, S.; Zhu, G.; Zhong, Z. Joim Beamforming and Power-Spliting Control in Downlink Cooperative SWIPT NOMA Systems. IEEE Trans. Signal Process. 2017, 65, 4874–4886. [Google Scholar] [CrossRef]
- Alsaba, Y.; Leow, C.Y.; Rahim, S.K.A. Full-Duplex Cooperative Non-orthogonal multiple access with beamforming and energy harvesting. IEEE Access 2018, 6, 19726–19738. [Google Scholar] [CrossRef]
- Zhang, Z.; Ma, Z.; Xiao, M.; Ding, Z.; Fan, P. Full-Duplex Device-to-device-aided Cooperative Non-orthogonal multiple access. IEEE Trans. Veh. Technol. 2017, 66, 4467–4471. [Google Scholar] [CrossRef]
- Kim, J.; Lee, I. Capacity Analysis of Cooperative relaying Systems Using Non-Orthogonal Multiple Access. IEEE Commun. Lett. 2015, 19, 1949–1952. [Google Scholar] [CrossRef]
- Ding, Z.; Peng, M.; Poor, H.V. Cooperative Non-Orthogonal Multiple Access in 5G Systems. IEEE Commun. Lett. 2015, 19, 1462–1465. [Google Scholar] [CrossRef]
- Yang, Z.; Ding, Z.; Wu, Y.; Fan, P. Novel Relay Selection Strategies for Cooperative NOMAs. IEEE Trans. Veh. Technol. 2017, 66, 10114–10123. [Google Scholar] [CrossRef]
- Sidiropoulos, N.D.; Davidson, T.N.; Luo, Z.Q. Transmit Beamforming for Physical-Layer Multicasting. IEEE Trans. Signal Process. 2006, 54, 2239–2251. [Google Scholar] [CrossRef]
- Best, S.R. Operating Band Comparison of the Perturbed Sierpinski and Modified Parany Gasket Antennas. IEEE Antennas Wirel. Propag. Lett. 2002, 1, 35–38. [Google Scholar] [CrossRef]
- Best, S.R. A Discussion on the Significance of Geometry in Determining the Resonant Behavior of Fractal and Other Non-Euclidean Wire Antennas. IEEE Antennas Propag. Mag. 2003, 45, 9–28. [Google Scholar] [CrossRef]
- Guariglia, E. Spectral analysis of the Weierstrass-Mandelbrot function. In Proceedings of the 2nd International Multidisciplinary Conference on Computer and Energy Science, Split, Croatia, 12–14 July 2017; pp. 1–6. [Google Scholar]




| M | AP antenna number. | N | cooperative UT antenna number. |
| L | number of cooperative UTs. | J | Total number of UTs |
| AP to the j-th non cooperative UT channel | AP to the j-th cooperative UT channel. | ||
| n-th cooperative UT to the m-th non cooperative UT channel. | n-th cooperative UT to the m-th cooperative UT channel. | ||
| 50,000 | channel generation for outage probability. | 2000 | channel generation for average power. |
Publisher’s Note: MDPI stays neutral with regard to jurisdictional claims in published maps and institutional affiliations. |
© 2021 by the authors. Licensee MDPI, Basel, Switzerland. This article is an open access article distributed under the terms and conditions of the Creative Commons Attribution (CC BY) license (http://creativecommons.org/licenses/by/4.0/).
Share and Cite
Hwang, D.; Yang, J.; Nam, S.S.; Song, H.-K. Optimal Multi-Antenna Transmission for the Cooperative Non-Orthogonal Multiple-Access System. Appl. Sci. 2021, 11, 2203. https://doi.org/10.3390/app11052203
Hwang D, Yang J, Nam SS, Song H-K. Optimal Multi-Antenna Transmission for the Cooperative Non-Orthogonal Multiple-Access System. Applied Sciences. 2021; 11(5):2203. https://doi.org/10.3390/app11052203
Chicago/Turabian StyleHwang, Duckdong, Janghoon Yang, Sung Sik Nam, and Hyoung-Kyu Song. 2021. "Optimal Multi-Antenna Transmission for the Cooperative Non-Orthogonal Multiple-Access System" Applied Sciences 11, no. 5: 2203. https://doi.org/10.3390/app11052203
APA StyleHwang, D., Yang, J., Nam, S. S., & Song, H.-K. (2021). Optimal Multi-Antenna Transmission for the Cooperative Non-Orthogonal Multiple-Access System. Applied Sciences, 11(5), 2203. https://doi.org/10.3390/app11052203

