Climate Change Impacts on Salt Marsh Blue Carbon, Nitrogen and Phosphorous Stocks and Ecosystem Services
Abstract
Featured Application
Abstract
1. Introduction
2. Materials and Methods
2.1. Floristic Inventory Data
2.2. Carbon, Nitrogen, and Phosphorous Retention Data
2.3. Ecosystem Services Values
2.4. Climate Change-Induced Physiological Change Data
3. Results and Discussion
3.1. Actual Floristic Inventory of the Different Transitional Systems
3.2. Present-Day Salt Marsh Ecosystem Services Economic Value
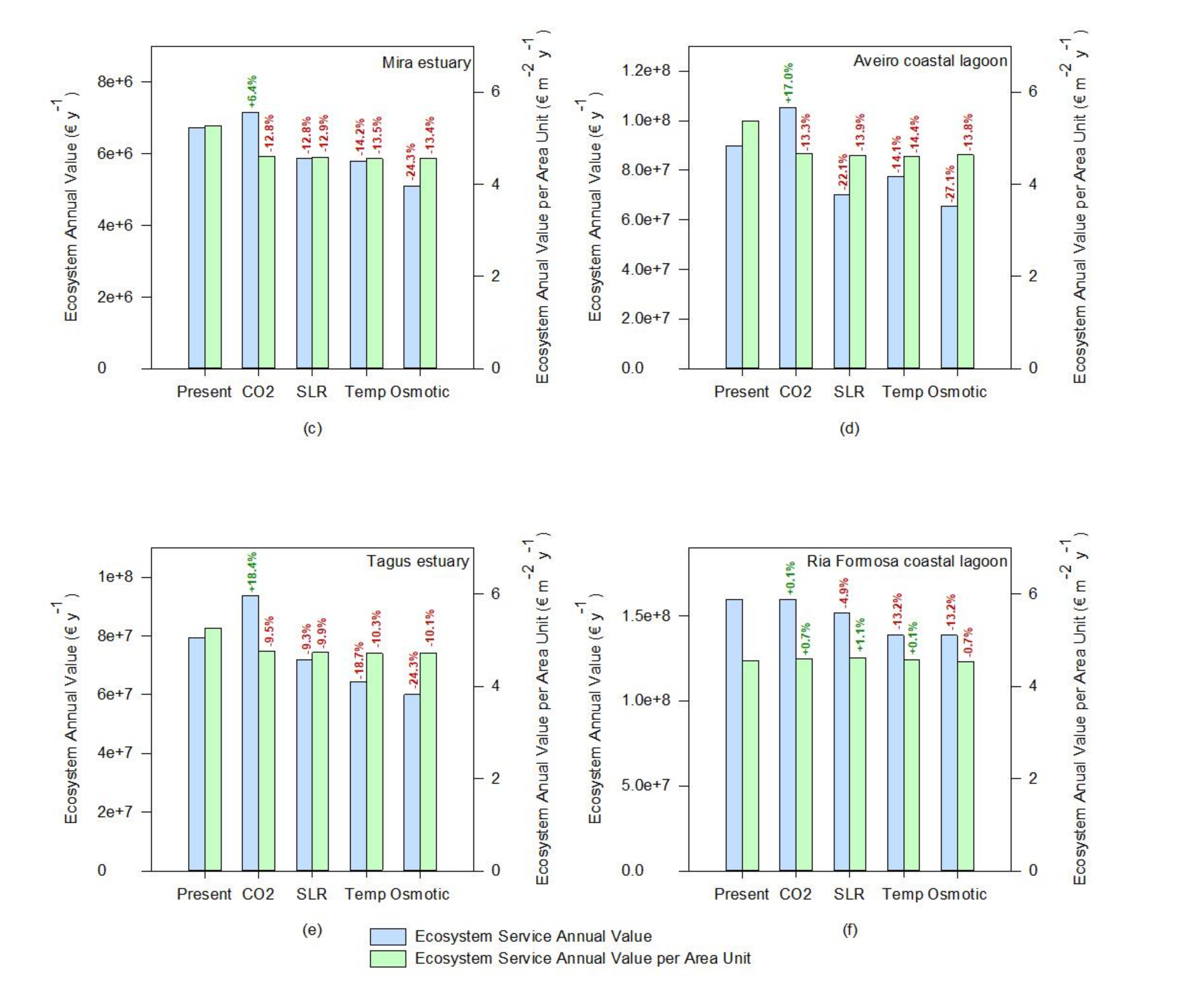
3.3. Climate Change Impact on Salt Marsh Composition and Ecosystem Services
4. Conclusions
Supplementary Materials
Author Contributions
Funding
Institutional Review Board Statement
Informed Consent Statement
Data Availability Statement
Conflicts of Interest
References
- UNEP. Marine and Coastal Ecosystems and Human Well-Being: A Synthesis Report Based on the Findings of the Millennium Ecosystem Assessment; UNEP: Nairobi, Kenya, 2006. [Google Scholar]
- Borja, A.; Dauer, D.M. Assessing the environmental quality status in estuarine and coastal systems: Comparing methodologies and indices. Ecol. Indic. 2008, 8, 331–337. [Google Scholar] [CrossRef]
- Borja, A.; Bricker, S.B.; Dauer, D.M.; Demetriades, N.T.; Ferreira, J.G.; Forbes, A.T.; Hutchings, P.; Jia, X.; Kenchington, R.; Marques, J.C.; et al. Overview of integrative tools and methods in assessing ecological integrity in estuarine and coastal systems worldwide. Mar. Pollut. Bull. 2008, 56, 1519–1537. [Google Scholar] [CrossRef]
- Hemminga, M.A.; Duarte, C.M. Seagrass Ecology; Cambridge University Press: Cambridge, UK, 2000; ISBN 978-0-52166-184-3. [Google Scholar]
- Costanza, R.; De Groot, R.; Sutton, P.; van der Ploeg, S.; Anderson, S.J.; Kubiszewski, I.; Farber, S.; Turner, R.K. Changes in the global value of ecosystem services. Glob. Environ. Change 2014, 26, 152–158. [Google Scholar] [CrossRef]
- Braat, L.C.; De Groot, R. The ecosystem services agenda:bridging the worlds of natural science and economics, conservation and development, and public and private policy. Ecosyst. Serv. 2012, 1, 4–15. [Google Scholar] [CrossRef]
- Costanza, R.; Kubiszewski, I. The authorship structure of “ecosystem services” as a transdisciplinary field of scholarship. Ecosyst. Serv. 2012, 1, 16–25. [Google Scholar] [CrossRef]
- Martínez, M.L.; Intralawan, A.; Vázquez, G.; Pérez-Maqueo, O.; Sutton, P.; Landgrave, R. The coasts of our world: Ecological, economic and social importance. Ecol. Econ. 2007, 63, 254–272. [Google Scholar] [CrossRef]
- Barbier, E.B.; Hacker, S.D.; Kennedy, C.; Koch, E.W.; Stier, A.C.; Silliman, B.R. The value of estuarine and coastal ecosystem services. Ecol. Monogr. 2011, 81, 169–193. [Google Scholar] [CrossRef]
- Duarte, B.; Neto, J.M.; Marques, J.C.; Adams, J.B.; Caçador, I. Marine angiosperm indices used to assess ecological status within the Water Framework Directive and South African National Water Act: Learning from differences and common issues. Ecol. Indic. 2017, 83, 192–200. [Google Scholar] [CrossRef]
- Caçador, I.; Duarte, B.; Marques, J.C. Climate Change Impacts on Salt Marsh Vegetation Ecophysiology. In Sabkha Ecosystems: Volume VI: Asia/Pacific; Gul, B., Böer, B., Khan, M.A., Clüsener-Godt, M., Hameed, A., Eds.; Springer International Publishing: Cham, Switzerland, 2019; pp. 189–206. ISBN 978-3-030-04417-6. [Google Scholar]
- Duarte, B.; Santos, D.; Marques, J.C.; Caçador, I. Biophysical probing of Spartina maritima photo-system II changes during prolonged tidal submersion periods. Plant Physiol. Biochem. 2014, 77, 122–132. [Google Scholar] [CrossRef] [PubMed]
- Duarte, B.; Marques, J.C.C.; Caçador, I. Ecophysiological response of native and invasive Spartina species to extreme temperature events in Mediterranean marshes. Biol. Invasions 2016, 18, 2189–2205. [Google Scholar] [CrossRef]
- Duarte, B.; Santos, D.; Silva, H.; Marques, J.C.C.; Caçador, I. Photochemical and biophysical feedbacks of C₃ and C₄ Mediterranean halophytes to atmospheric CO₂ enrichment confirmed by their stable isotope signatures. Plant Physiol. Biochem. PPB 2014, 80, 10–22. [Google Scholar] [CrossRef]
- Caçador, I.; Neto, J.M.; Duarte, B.; Barroso, D.V.; Pinto, M.; Marques, J.C. Development of an Angiosperm Quality Assessment Index (AQuA-Index) for ecological quality evaluation of Portuguese water bodies—A multi-metric approach. Ecol. Indic. 2013, 25, 141–148. [Google Scholar] [CrossRef]
- Pérez-Romero, J.A.; Idaszkin, Y.L.; Duarte, B.; Baeta, A.; Marques, J.C.; Redondo-Gómez, S.; Caçador, I.; Mateos-Naranjo, E. Atmospheric CO 2 enrichment effect on the Cu-tolerance of the C 4 cordgrass Spartina densiflora. J. Plant Physiol. 2018, 220, 155–166. [Google Scholar] [CrossRef]
- Pérez-Romero, J.A.; Duarte, B.; Barcia-Piedras, J.-M.; Matos, A.R.; Redondo-Gómez, S.; Caçador, I.; Mateos-Naranjo, E. Investigating the physiological mechanisms underlying Salicornia ramosissima response to atmospheric CO2 enrichment under coexistence of prolonged soil flooding and saline excess. Plant Physiol. Biochem. 2019, 135, 149–159. [Google Scholar] [CrossRef] [PubMed]
- Pérez-Romero, J.A.; Idaszkin, Y.L.; Barcia-Piedras, J.-M.; Duarte, B.; Redondo-Gómez, S.; Caçador, I.; Mateos-Naranjo, E. Disentangling the effect of atmospheric CO2 enrichment on the halophyte Salicornia ramosissima J. Woods physiological performance under optimal and suboptimal saline conditions. Plant Physiol. Biochem. 2018, 127, 617–629. [Google Scholar] [CrossRef]
- Couto, T.; Martins, I.; Duarte, B.; Caçador, I.; Marques, J.C. Modelling the effects of global temperature increase on the growth of salt marsh plants. Appl. Ecol. Environ. Res. 2014, 12, 753–764. [Google Scholar] [CrossRef]
- Duarte, B.; Santos, D.; Silva, H.; Marques, J.C.; Caçador, I.; Sleimi, N. Light–dark O2 dynamics in submerged leaves of C3 and C4 halophytes under increased dissolved CO2: Clues for saltmarsh response to climate change. AoB Plants 2014, 6, 1–15. [Google Scholar] [CrossRef] [PubMed]
- Duarte, B.; Santos, D.; Marques, J.C.; Caçador, I. Impact of heat and cold events on the energetic metabolism of the C3 halophyte Halimione portulacoides. Estuar. Coast. Shelf Sci. 2015, 167, 166–177. [Google Scholar] [CrossRef]
- Duarte, B.; Matos, A.R.; Caçador, I. Photobiological and lipidic responses reveal the drought tolerance of Aster tripolium cultivated under severe and moderate drought: Perspectives for arid agriculture in the mediterranean. Plant Physiol. Biochem. 2020, 154, 304–315. [Google Scholar] [CrossRef] [PubMed]
- Himes-Cornell, A.; Pendleton, L.; Atiyah, P. Valuing ecosystem services from blue forests: A systematic review of the valuation of salt marshes, sea grass beds and mangrove forests. Ecosyst. Serv. 2018, 30, 36–48. [Google Scholar] [CrossRef]
- Sousa, A.I.; Santos, D.B.; Da Silva, E.F.; Sousa, L.P.; Cleary, D.F.R.; Soares, A.M.V.M.; Lillebø, A.I. “Blue Carbon” and Nutrient Stocks of Salt Marshes at a Temperate Coastal Lagoon (Ria de Aveiro, Portugal). Sci. Rep. 2017, 7, 1–11. [Google Scholar] [CrossRef] [PubMed]
- Luisetti, T.; Jackson, E.L.; Turner, R.K. Valuing the European “coastal blue carbon” storage benefit. Mar. Pollut. Bull. 2013, 71, 101–106. [Google Scholar] [CrossRef] [PubMed]
- McLeod, E.; Chmura, G.L.; Bouillon, S.; Salm, R.; Björk, M.; Duarte, C.M.; Lovelock, C.E.; Schlesinger, W.H.; Silliman, B.R. A blueprint for blue carbon: Toward an improved understanding of the role of vegetated coastal habitats in sequestering CO2. Front. Ecol. Environ. 2011, 9, 552–560. [Google Scholar] [CrossRef]
- Clarke, K.R.; Gorley, R.N. PRIMER v6: User Manual/Tutorial; PRIMER: Plymouth, UK, 2006; 192p. [Google Scholar]
- Sousa, A.I.; Lillebø, A.I.; Pardal, M.A.; Caçador, I. Productivity and nutrient cycling in salt marshes: Contribution to ecosystem health. Estuar. Coast. Shelf Sci. 2010, 87, 640–646. [Google Scholar] [CrossRef]
- Caçador, I.; Costa, A.L.A.L.; Vale, C. Carbon storage in tagus salt marsh sediments. Water Air Soil Pollut. Focus 2004, 4, 701–714. [Google Scholar]
- Couto, T.; Duarte, B.; Caçador, I.; Baeta, A.; Marques, J.C. Salt marsh plants carbon storage in a temperate Atlantic estuary illustrated by a stable isotopic analysis based approach. Ecol. Indic. 2013, 32, 305–311. [Google Scholar] [CrossRef]
- Curado, G.; Rubio-Casal, A.E.; Figueroa, E.; Grewell, B.J.; Castillo, J.M. Native plant restoration combats environmental change: Development of carbon and nitrogen sequestration capacity using small cordgrass in European salt marshes. Environ. Monit. Assess. 2013, 185, 8439–8449. [Google Scholar] [CrossRef]
- De Groot, R.; Brander, L.; van der Ploeg, S.; Costanza, R.; Bernard, F.; Braat, L.; Christie, M.; Crossman, N.; Ghermandi, A.; Hein, L.; et al. Global estimates of the value of ecosystems and their services in monetary units. Ecosyst. Serv. 2012, 1, 50–61. [Google Scholar] [CrossRef]
- De Groot, R.; Stuip, M.; Finlayson, M.; Davidson, N. Valuing Wetlands: Guidance for Valuing the Benefits Derived from Wetland Ecosystem Services; International Water Management Institute: Montreal, QC, Canada, 2006. [Google Scholar]
- Ballard, J.; Pezda, J. Devin Spencer an Economic Valuation of Southern California Coastal Wetlands; Bren School of Environmental Science and Management: Santa Barbara, CA, USA, 2017. [Google Scholar]
- Saleh, Z.; Menassa, J.; Abbas, O.; Atweh, S.; Arayssi, T. Cranial nerve VI palsy as a rare initial presentation of systemic lupus erythematosus: Case report and review of the literature. Lupus 2010, 19, 201–205. [Google Scholar] [CrossRef] [PubMed]
- De Groot, R.S.; Wilson, M.A.; Boumans, R.M.J. A typology for the classification, description and valuation of ecosystem functions, goods and services. Ecol. Econ. 2002, 41, 393–408. [Google Scholar] [CrossRef]
- Purcell, A.D.; Khanal, P.; Straka, T.; Willis, D.B. Valuing Ecosystem Services of Coastal Marshes and Wetlands; Clemson Cooperative Extension, Land-Grant Press by Clemson Extension: Clemson, SC, USA, 2020. [Google Scholar]
- Chmura, G.L.; Anisfeld, S.C.; Cahoon, D.R.; Lynch, J.C. Global carbon sequestration in tidal, saline wetland soils. Glob. Biogeochem. Cycles 2003, 17. [Google Scholar] [CrossRef]
- Brady, M.V.; Hristov, J.; Wilhelmsson, F.; Hedlund, K. Roadmap for Valuing Soil Ecosystem Services to Inform Multi-Level Decision-Making in Agriculture. Sustainability 2019, 11, 5285. [Google Scholar] [CrossRef]
- Van der Schatte Olivier, A.; Jones, L.; Le Vay, L.; Christie, M.; Wilson, J.; Malham, S.K. A global review of the ecosystem services provided by bivalve aquaculture. Rev. Aquac. 2020, 12, 3–25. [Google Scholar] [CrossRef]
- Rohatgi, A. WebPlotDigitizer 2015. Available online: http://arohatgi.info/WebPlotDigitizer/ (accessed on 22 February 2021).
- Geissler, N.; Hussin, S.; Koyro, H.W. Interactive effects of NaCl salinity and elevated atmospheric CO2 concentration on growth, photosynthesis, water relations and chemical composition of the potential cash crop halophyte Aster tripolium L. Environ. Exp. Bot. 2009, 65, 220–231. [Google Scholar] [CrossRef]
- Neto, D.; Carvalho, L.M.; Cruz, C.; Martins-Loução, M.A. How do Mycorrhizas Affect C and N Relationships in Flooded Aster tripolium Plants? Plant Soil 2006, 279, 51–63. [Google Scholar] [CrossRef]
- Cott, G.M.; Reidy, D.T.; Chapman, D.V.; Jansen, M.A.K. Waterlogging affects the distribution of the saltmarsh plant Atriplex portulacoides (L.) Aellen. Flora Morphol. Distrib. Funct. Ecol. Plants 2013, 208, 336–342. [Google Scholar] [CrossRef]
- Duarte, B.; Goessling, J.W.; Marques, J.C.; Caçador, I. Ecophysiological constraints of Aster tripolium under extreme thermal events impacts: Merging biophysical, biochemical and genetic insights. Plant Physiol. Biochem. 2015, 97, 217–228. [Google Scholar] [CrossRef] [PubMed]
- Pérez-Romero, J.A.; Barcia-Piedras, J.-M.; Redondo-Gómez, S.; Mateos-Naranjo, E. Impact of short-term extreme temperature events on physiological performance of Salicornia ramosissima J. Woods under optimal and sub-optimal saline conditions. Sci. Rep. 2019, 9, 659. [Google Scholar] [CrossRef] [PubMed]
- Duarte, B.; Cabrita, M.T.; Gameiro, C.; Matos, A.R.A.R.; Godinho, R.; Marques, J.C.; Caçador, I. Disentangling the photochemical salinity tolerance in Aster tripolium L.: Connecting biophysical traits with changes in fatty acid composition. Plant Biol. 2017, 19, 239–248. [Google Scholar] [CrossRef]
- Redondo-Gomez, S.; Mateos-Naranjo, E.; Davy, A.J.; Fernandez-Munoz, F.; Castellanos, E.M.; Luque, T.; Figueroa, M.E. Growth and Photosynthetic Responses to Salinity of the Salt-marsh Shrub Atriplex portulacoides. Ann. Bot. 2007, 100, 555–563. [Google Scholar] [CrossRef]
- Duarte, B.; Santos, D.; Marques, J.C.; Caçador, I. Ecophysiological adaptations of two halophytes to salt stress: Photosynthesis, PS II photochemistry and anti-oxidant feedback–Implications for resilience in climate change. Plant Physiol. Biochem. 2013, 67, 178–188. [Google Scholar] [CrossRef] [PubMed]
- Redondo-Gómez, S.; Wharmby, C.; Castillo, J.M.; Mateos-Naranjo, E.; Luque, C.J.; de Cires, A.; Luque, T.; Davy, A.J.; Enrique Figueroa, M. Growth and photosynthetic responses to salinity in an extreme halophyte, Sarcocornia fruticosa. Physiol. Plant. 2006, 128, 116–124. [Google Scholar] [CrossRef]
- Mateos-Naranjo, E.; Redondo-Gómez, S.; Andrades-Moreno, L.; Davy, A.J. Growth and photosynthetic responses of the cordgrass Spartina maritima to CO2 enrichment and salinity. Chemosphere 2010, 81, 725–731. [Google Scholar] [CrossRef] [PubMed]
- Redondo-Gomez, S.; Mateos-Naranjo, E.; Figueroa, M.E.; Davy, A.J. Salt stimulation of growth and photosynthesis in an extreme halophyte, Arthrocnemum macrostachyum. Plant Biol. 2010, 12, 79–87. [Google Scholar] [CrossRef] [PubMed]
- Adams, J.B.; Bate, G.C. The effect of salinity and inundation on the estuarine macrophyte Sarcocornia perennis (Mill.) A.J. Scott. Aquat. Bot. 1994, 47, 341–348. [Google Scholar] [CrossRef]
- Duarte, B.; Couto, T.; Freitas, J.; Valentim, J.; Silva, H.; Marques, J.C.; Dias, J.M.; Caçador, I. Abiotic modulation of Spartina maritima photobiology in different latitudinal populations. Estuar. Coast. Shelf Sci. 2013, 130, 127–137. [Google Scholar] [CrossRef]
- Teixeira, A.; Duarte, B.; Caçador, I. Sabkha Ecosystems: Volume IV: Cash Crop Halophyte and Biodiversity Conservation. In Tasks for Vegetation Science; Khan, M.A., Böer, B., Böztürk, M., Al Abdessalaam, T.Z., Clüsener-Godt, M., Gul, B., Eds.; Springer: Dordrecht, The Netherlands, 2014; Volume 47, ISBN 978-94-007-7410-0. [Google Scholar]
- França, S.; Vinagre, C.; Caçador, I.; Cabral, H.N. Heavy metal concentrations in sediment, benthic invertebrates and fish in three salt marsh areas subjected to different pollution loads in the Tagus Estuary (Portugal). Mar. Pollut. Bull. 2005, 50, 998–1003. [Google Scholar] [CrossRef]
- Freitas, J.; Duarte, B.; Caçador, I. Biogeochemical drivers of phosphatase activity in salt marsh sediments. J. Sea Res. 2014, 93, 57–62. [Google Scholar] [CrossRef]
- Sousa, A.I.; Lillebø, A.I.; Risgaard-Petersen, N.; Pardal, M.A.; Caçador, I. Denitrification: An ecosystem service provided by salt marshes. Mar. Ecol. Prog. Ser. 2012, 448, 79–92. [Google Scholar] [CrossRef]
- Mitsch, W.J.; Gosselink, J.G. Wetlands, 5th ed.; John Wiley and Sons Inc: New York, NY, USA, 2015; ISBN 978-1118676820. [Google Scholar]
- Caçador, I.; Caetano, M.; Duarte, B.; Vale, C. Stock and losses of trace metals from salt marsh plants. Mar. Environ. Res. 2009, 67, 75–82. [Google Scholar] [CrossRef]
- Duarte, B.; Caetano, M.; Almeida, P.R.; Vale, C.; Caçador, I. Accumulation and biological cycling of heavy metal in four salt marsh species, from Tagus estuary (Portugal). Environ. Pollut. 2010, 158, 1661–1668. [Google Scholar] [CrossRef] [PubMed]
- Farber, S.; Costanza, R.; Childers, D.L.; Erickson, J.; Gross, K.; Grove, M.; Hopkinson, C.S.; Kahn, J.; Pincetl, S.; Troy, A.; et al. Linking ecology and economics for ecosystem management. Bioscience 2006, 56, 121–133. [Google Scholar] [CrossRef]
- Kirwan, M.L.; Mudd, S.M. Response of salt-marsh carbon accumulation to climate change. Nature 2012, 489, 550–553. [Google Scholar] [CrossRef]










| Sado Estuary | Mira Estuary | Tagus Estuary | Mondego Estuary | Aveiro Coastal Lagoon | Ria Formosa Coastal Lagoon | |
|---|---|---|---|---|---|---|
| Latitude | 38°29′ | 37°42′ | 38°40′ | 40°08′ | 40°38′ | 36°59′ |
| Total area 1 | 180 | 5 | 320 | 10 | 74 | 184 |
| Volume 2 | 500 | 27 | 1900 | 22 | 84 | 115 |
| Annual river flow 3 | 40 | 3 | 300 | 79 | 40 | 2.7 |
| Residence 4 | 30 | 15 | 25 | 3 | 17 | 4 |
| Tidal range 5 | 2.7 | 2.4 | 2.6 | 3 | 3 | 2.5 |
| Type | Estuary bay | Estuary channel | Estuary bay | Estuary channel | Coastal lagoon | Coastal lagoon |
| Water bodies 6 | 4 | 3 | 4 | 2 | 5 | 5 |
| Salt marsh area 7 | 6.07 | 1.46 | 17.24 | 0.46 | 19.27 | 35 |
| Species | System | Blue C | Blue N | Blue P | Reference | |||
|---|---|---|---|---|---|---|---|---|
| Max | Min | Max | Min | Max | Min | |||
| Halimione portulacoides | Aveiro coastal lagoon | 1000 | 109 | 29 | [24] | |||
| Tagus estuary | 458 | 67 | 13 | [28] | ||||
| Tagus estuary | 3765 | 3651 | 400 | 294 | NA | NA | [29] | |
| Average | 2218 | 209 | 21 | |||||
| Juncus maritimus | Aveiro coastal lagoon | 1543 | 1491 | 60 | 58 | 12 | 11 | [24] |
| Sarcocornia fruticosa | Tagus estuary | 1539 | 113 | 17 | [28] | |||
| Sarcocornia perennis | Aveiro coastal lagoon | 1015 | 98 | 20 | [24] | |||
| Tagus estuary | 421 | 63 | 9 | [28] | ||||
| Tagus estuary | 4683 | 4560 | 378 | 264 | NA | NA | [29] | |
| Average | 2670 | 201 | 15 | |||||
| Scirpus maritimus | Aveiro coastal lagoon | 1324 | 66 | 11 | [24] | |||
| Mondego estuary | 454 | 314 | NA | NA | NA | NA | [30] | |
| Mondego estuary | 343 | 34 | 6 | [28] | ||||
| Average | 609 | 50 | 8 | |||||
| Spartina maritima | Aveiro coastal lagoon | 512 | 472 | 23 | 23 | 5 | 5 | [24] |
| Mondego estuary | 589 | 429 | NA | NA | NA | NA | [30] | |
| Tagus estuary | 959 | 45 | 7 | [28] | ||||
| Mondego estuary | 128 | 33 | 10 | [28] | ||||
| Tagus estuary | 3461 | 3347 | 335 | 229 | NA | NA | [29] | |
| Odiel estuary | 560 | 53 | NA | NA | [31] | |||
| Average | 1248 | 106 | 7 | |||||
| Classification | Ecosystem Service | Economic Value (EUR ha−1 y−1) | Reference | ||
|---|---|---|---|---|---|
| Minimum | Maximum | Average | |||
| Cultural | Recreational | 925.37 | [34,35] | ||
| Educational | 0.81 | 8.30 | 4.56 | [31] | |
| Aesthetics | 8.30 | 2 158.00 | 1 083.15 | [36] | |
| Cultural activities | 5,81 | [34,35] | |||
| Ornamental | 3.32 | 177.62 | 90.47 | [34,36] | |
| Provisioning | Maintenance of fisheries | 2 012.01 | 13 271.86 | 7 641.93 | [9] |
| Seafood harvest | 0.39 | 387.63 | 194.01 | [9] | |
| Regulating | Coastal protection | 6 835.88 | [9] | ||
| Flood and storm protection | 395.08 | 12 611.02 | 6 503.05 | [9] | |
| Water purification | 71.38 | 8 207.04 | 4 139.21 | [37] | |
| Biological and pest control | 50.63 | [34] | |||
| Water flow regulation | 19.92 | [34] | |||
| Nutrient cycling | 115.37 | 28 008.35 | 14 061.86 | [34] | |
| Air quality | 10.79 | [34] | |||
| Blue carbon storage 1 | 12.38 EUR ton−1 C | [38] | |||
| Blue nitrogen storage 1 | 270 EUR ton−1 N | [39] | |||
| Blue phosphorous storage 1 | 36 444 EUR ton−1 P | [40] | |||
| Supporting | Habitat/refugia | 243.19 | 581.00 | 412.10 | [34] |
| Physiological Impact | |||||
|---|---|---|---|---|---|
| Parameter | Minimum | Maximum | Average | Reference | |
| Atmospheric CO2 rise | |||||
| A. tripolium | AN | 32% | [42] | ||
| H. portulacoides | α | 25% | [14] | ||
| S. maritima | α | −17% | [14] | ||
| Salicornia sp. | AN | 26% | [17] | ||
| Average | −17% | 32% | 15% | ||
| Prolonged submersion | |||||
| A. tripolium | RGR | −38% | [43] | ||
| H. portulacoides | Abundance | −58% | [44] | ||
| S. maritima | α | −33% | [12] | ||
| Salicornia sp. | RGR | −11% | [17] | ||
| S. perennis | Elongation | 63% | |||
| Average | −58% | 63% | −16% | ||
| Temperature rise | |||||
| A. tripolium | α | −71% | [45] | ||
| H. portulacoides | α | −29% | [21] | ||
| S. maritima | α / PPmodel | −38% | 10% | −14% | [13,19] |
| S. maritimus | PPmodel | 30% | [19] | ||
| Salicornia sp. | AN | 56% | [46] | ||
| Average | −71% | 56% | −7% | ||
| Osmotic stress | |||||
| A. tripolium | α | −43% | −25% | −34% | [22,47] |
| H. portulacoides | AN/RGR | −75% | −50% | −63% | [48,49] |
| S. fruticosa | AN/RGR | −20% | 47% | 13% | [49,50] |
| S. maritima | RGR | −20% | [51] | ||
| Salicornia sp. | AN | −38% | [18] | ||
| A. macrostachyum | RGR | 20% | [52] | ||
| S. perennis | Elongation | −67% | [53] | ||
| Average | −75% | 47% | −27% | ||
| Climate Change Scenario | ||||
|---|---|---|---|---|
| Atmospheric CO2 Rise | Prolonged Submersion | Temperature Rise | Osmotic Stress | |
| Sado estuary | 14% | −9% | −20% | −35% |
| Mira estuary | 6% | −14% | −15% | −31% |
| Tagus estuary | 15% | −10% | −22% | −32% |
| Mondego estuary | 14% | −25% | −15% | −34% |
| Aveiro coastal lagoon | 15% | −27% | −15% | −36% |
| Ria Formosa coastal lagoon | 5% | −1% | −9% | −8% |
Publisher’s Note: MDPI stays neutral with regard to jurisdictional claims in published maps and institutional affiliations. |
© 2021 by the authors. Licensee MDPI, Basel, Switzerland. This article is an open access article distributed under the terms and conditions of the Creative Commons Attribution (CC BY) license (http://creativecommons.org/licenses/by/4.0/).
Share and Cite
Duarte, B.; Carreiras, J.; Caçador, I. Climate Change Impacts on Salt Marsh Blue Carbon, Nitrogen and Phosphorous Stocks and Ecosystem Services. Appl. Sci. 2021, 11, 1969. https://doi.org/10.3390/app11041969
Duarte B, Carreiras J, Caçador I. Climate Change Impacts on Salt Marsh Blue Carbon, Nitrogen and Phosphorous Stocks and Ecosystem Services. Applied Sciences. 2021; 11(4):1969. https://doi.org/10.3390/app11041969
Chicago/Turabian StyleDuarte, Bernardo, João Carreiras, and Isabel Caçador. 2021. "Climate Change Impacts on Salt Marsh Blue Carbon, Nitrogen and Phosphorous Stocks and Ecosystem Services" Applied Sciences 11, no. 4: 1969. https://doi.org/10.3390/app11041969
APA StyleDuarte, B., Carreiras, J., & Caçador, I. (2021). Climate Change Impacts on Salt Marsh Blue Carbon, Nitrogen and Phosphorous Stocks and Ecosystem Services. Applied Sciences, 11(4), 1969. https://doi.org/10.3390/app11041969

