Area and Volume of Remaining Cement and Enamel after Removal and Polishing of Buccal or Lingual Multibracket Appliances
Abstract
1. Introduction
2. Materials and Methods
2.1. Study Design
2.2. Experimental Procedure
2.3. Alignment Procedure
2.4. Measurement Procedure
2.5. Statistical Tests
3. Results
4. Discussion
5. Conclusions
Author Contributions
Funding
Institutional Review Board Statement
Informed Consent Statement
Data Availability Statement
Conflicts of Interest
References
- Papageorgiou, S.N.; Gölz, L.; Jäger, A.; Eliades, T.; Bourauel, C. Lingual vs. labial fixed orthodontic appliances: Systematic review and meta-analysis of treatment effects. Eur. J. Oral Sci. 2016, 124, 105–118. [Google Scholar] [CrossRef]
- Knösel, M.; Alvarez, R.V.; Blanck-Lubarsch, M.; Helms, H.J. Comparison of potential long-term costs for preventive dentistry treatment of post-orthodontic labial versus lingual enamel cavitations and esthetically relevant white-spot lesions: A simulation study with different scenarios. Head Face Med. 2019, 15, 22. [Google Scholar] [CrossRef]
- Hu, H.; Feng, C.; Jiang, Z.; Wang, L.; Shrestha, S.; Yan, J.; Shu, Y.; Ge, L.; Lai, W.; Hua, F.; et al. Effectiveness of remineralizing agents in the prevention and reversal of orthodontically induced white spot lesions: A systematic review and network meta-analysis. Clin. Oral Investig. 2020, 24, 4153–4167. [Google Scholar] [CrossRef] [PubMed]
- Botzenhart, U.U.; Henningsen, A.; Quaas, S.; Luthardt, R.G.; Proff, P.; Spassov, A.; Gedrange, T. 3D assisted morphological analysis of lingual upper central and lateral incisor surfaces. Biomed. Eng./Biomed. Tech. 2012, 57, 71–77. [Google Scholar] [CrossRef]
- Brosh, T.; Strouthou, S.; Sarne, O. Effects of buccal versus lingual surfaces, enamel conditioning procedures and storage duration on brackets debonding characteristics. J. Dent. 2005, 33, 99–105. [Google Scholar] [CrossRef] [PubMed]
- Hudson, A.P.; Grobler, S.R.; Harris, A.M. Orthodontic molar brackets: The effect of three different base designs on shear bond strength. Int. J. Biomed. Sci. 2011, 7, 27–34. [Google Scholar] [PubMed]
- Hobson, R.S.; Rugg-Gunn, A.J.; Booth, T.A. Acid-etch patterns on the buccal surface of human permanent teeth. Arch. Oral Biol. 2002, 47, 407–412. [Google Scholar] [PubMed]
- Mavreas, D.; Cuzin, J.F.; Boonen, G.; Vande Vannet, B. The effect of various adhesives, enamel etching, and base treatment on the failure frequency of customized lingual brackets: A randomized clinical trial. Eur. J. Orthod. 2018, 40, 249–253. [Google Scholar] [CrossRef]
- Janiszewska-Olszowska, J.; Tomkowski, R.; Tandecka, K.; Stepien, P.; Szatkiewicz, T.; Sporniak-Tutak, K.; Grocholewicz, K. Effect of orthodontic debonding and residual adhesive removal on 3D enamel microroughness. PeerJ 2016, 4, e2558. [Google Scholar] [CrossRef] [PubMed]
- Garg, R.; Dixit, P.; Khosla, T.; Gupta, P.; Kalra, H.; Kumar, P. Enamel Surface Roughness after Debonding: A Comparative Study using Three Different Burs. J. Contemp. Dent. Pract. 2018, 19, 521–526. [Google Scholar] [PubMed]
- Mati, M.; Amm, E.; Bouserhal, J.; Bassil-Nassif, N. Effects of buccal and lingual enamel sandblasting on shear bond strength of orthodontic brackets bonded with a self-etching primer. Int. Orthod. 2012, 10, 422–431. [Google Scholar] [CrossRef] [PubMed]
- Medina-Sotomayor, P.; Pascual-Moscardó, A.; Camps, I. Relationship between resolution and accuracy of four intraoral scanners in complete-arch impressions. J. Clin. Exp. Dent. 2018, 10, e361–e366. [Google Scholar] [CrossRef] [PubMed]
- Van der Veen, M.H.; Attin, R.; Schwestka-Polly, R.; Wiechmann, D. Caries outcomes after orthodontic treatment with fixed appliances: Do lingual brackets make a difference? Eur. J. Oral Sci. 2010, 118, 298–303. [Google Scholar] [CrossRef] [PubMed]
- Lin, Y.C.; Lai, Y.L.; Chen, W.T.; Lee, S.Y. Kinetics of fluoride release from and reuptake by orthodontic cements. Am. J. Orthod. Dentofac. Orthop. 2008, 133, 427–434. [Google Scholar] [CrossRef]
- Pham, D.; Bollu, P.; Chaudhry, K.; Subramani, K. Comparative evaluation of orthodontic bracket base shapes on shear bond strength and adhesive remnant index: An in vitro study. J. Clin. Exp. Dent. 2017, 9, e848–e854. [Google Scholar]
- Tuncer, C.; Ulusoy, Ç. Tensile bond strength of lingual orthodontic brackets with adhesive systems. World J. Orthod. 2010, 11, 393–397. [Google Scholar]
- Saraç, Y.Ş.; Külünk, T.; Elekdağ-Türk, S.; Saraç, D.; Türk, T. Effects of surface-conditioning methods on shear bond strength of brackets bonded to different all-ceramic materials. Eur. J. Orthod. 2011, 33, 667–672. [Google Scholar] [CrossRef]
- Lopes, M.S.; Pereira, D.L.; de Oliveira Mota, C.C.B.; Amaral, M.M.; Zezell, D.M.; Gomes, A.S.L. The lingual enamel morphology and bracket shear bond strength influenced by Nd:YAG laser and aluminum oxide sandblasting preconditioning. Clin. Oral Investig. 2021, 25, 1151–1158. [Google Scholar] [CrossRef]
- Hamdani, S.; Anita, G.; Sodawala, J.; Gandhi, S.; Ali, S.M. The effect of pre-etching with 37% orthophosphoric acid on the shear bond strength of orthodontic brackets bonded using self-etching primer-adhesive system. Indian J. Dent. Res. 2016, 27, 498–501. [Google Scholar] [CrossRef]
- Valletta, R.; Prisco, D.; De Santis, R.; Ambrosio, L.; Martina, R. Evaluation of the debonding strength of orthodontic brackets using three different bonding systems. Eur. J. Orthod. 2007, 29, 571–577. [Google Scholar]
- Vinagre, A.R.; Messias, A.L.; Gomes, M.A.; Costa, A.L.; Ramos, J.C. Effect of time on shear bond strength of four orthodontic adhesive systems. Rev. Port. Estomatol. Med. Dent. Maxilofac. 2014, 55, 142–151. [Google Scholar] [CrossRef]
- Cucu, M.; Driessen, C.H.; Ferreira, P.D. The influence of orthodontic bracket base diameter and mesh size on bond strength. S. Afr. Mella. J. 2002, 57, 16–20. [Google Scholar]
- Sharma-Sayal, S.K.; Rossouw, P.E.; Kulkarni, G.V.; Titley, K.C. The influence of orthodontic bracket base design on shear bond strength. Am. J. Orthod. Dentofac. Orthop. 2003, 124, 74–82. [Google Scholar] [CrossRef]
- Chumak, L.; Galil, K.A.; Way, D.C.; Johnson, L.N.; Hunter, W.S. An in vitro investigation of lingual bonding. Am. J. Orthod. Dentofac. Orthop. 1989, 95, 20–28. [Google Scholar] [CrossRef]
- Ziebura, T.; Hohoff, A.; Flieger, S.; Stamm, T. Accidental debondings: Buccal vs fully individualized lingual multibracket appliances. Am. J. Orthod. Dentofac. Orthop. 2014, 145, 649–654. [Google Scholar] [CrossRef]
- Sung, J.W.; Kwon, T.Y.; Kyung, H.M. Debonding forces of three different customized bases of a lingual bracket system. Korean J. Orthod. 2013, 43, 235–241. [Google Scholar] [CrossRef] [PubMed]
- Arima, V.O.; Vedovello Filho, M.; Valdrighi, H.C.; Lucato, A.S.; Santamaria, M., Jr.; Vedovello, S.A.S. Debonding forces of different pads in a lingual bracket system. Dental Press J. Orthod. 2017, 22, 34–40. [Google Scholar] [CrossRef]
- Erdur, E.A.; Akın, M.; Cime, L.; İleri, Z. Evaluation of Enamel Surface Roughness after Various Finishing Techniques for Debonding of Orthodontic Brackets. Turk. J. Orthod. 2016, 29, 1–5. [Google Scholar] [CrossRef] [PubMed]
- Mandall, N.A.; Hickman, J.; Macfarlane, T.V.; Mattick, R.C.; Millett, D.T.; Worthington, H.V. Adhesives for fixed orthodontic brackets. Cochrane Database Syst. Rev. 2018, 4, CD002282. [Google Scholar] [CrossRef]
- Eichenberger, M.; Iliadi, A.; Koletsi, D.; Eliades, G.; Verna, C.; Eliades, T. Enamel Surface Roughness after Lingual Bracket Debonding: An In Vitro Study. Materials 2019, 12, 4196. [Google Scholar]







| Study Group | Measure | n | Mean | SD | Median | Range |
|---|---|---|---|---|---|---|
| Lingual | Area | 10 | 7.07 | 4.85 | 5.34 | 12.95 |
| Volume | 10 | 0.87 | 1.34 | 0.28 | 4.25 | |
| Buccal | Area | 10 | 21.99 | 4.18 | 22.60 | 13.72 |
| Volume | 10 | 3.48 | 0.96 | 3.61 | 3.26 |
| Study Group | Measure | n | Mean | SD | Median | Range |
|---|---|---|---|---|---|---|
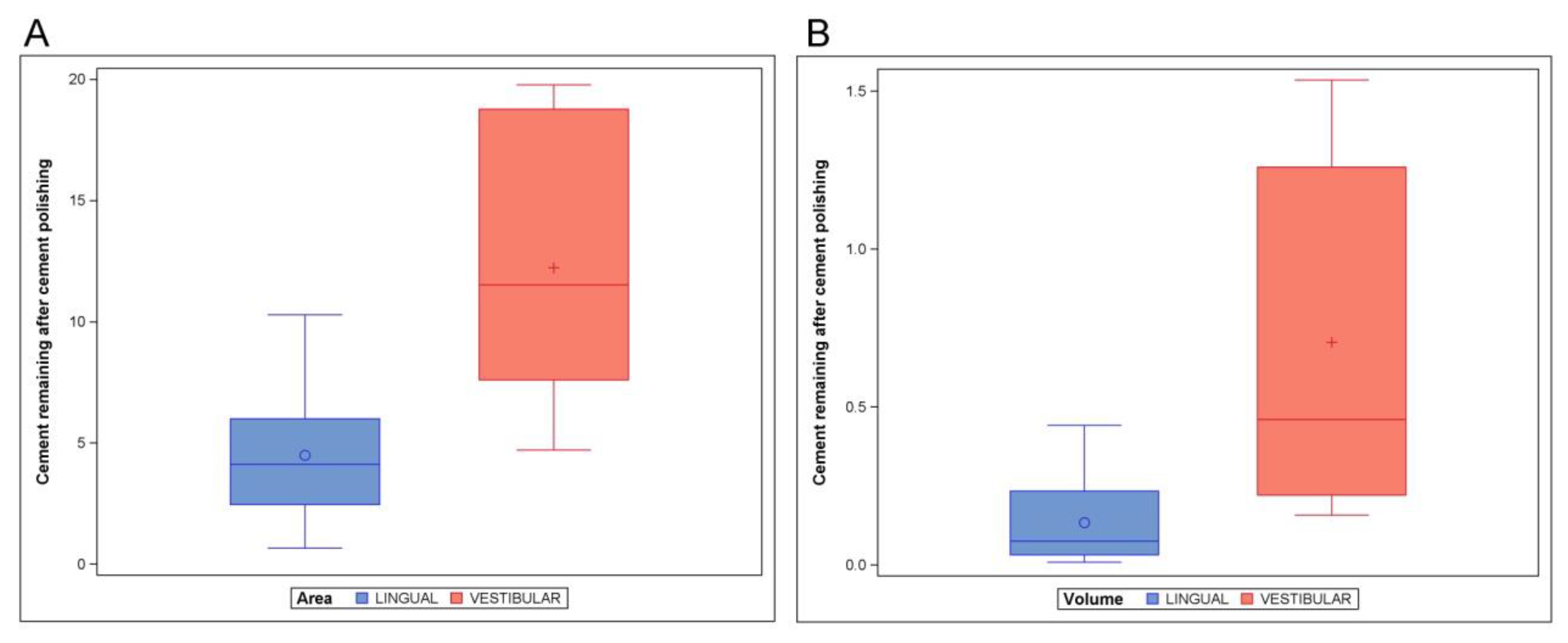
| Lingual | Area | 10 | 4.48 | 3.08 | 4.11 | 9.63 |
| Volume | 10 | 0.13 | 0.15 | 0.07 | 0.43 | |
| Buccal | Area | 10 | 12.22 | 5.98 | 11.52 | 15.07 |
| Volume | 10 | 0.70 | 0.56 | 0.46 | 1.37 |
| Study Group | Measure | n | Mean | SD | Median | Range |
|---|---|---|---|---|---|---|
| Lingual | Area | 10 | 6.13 | 2.97 | 5.98 | 10.07 |
| Volume | 10 | 0.49 | 0.42 | 0.32 | 1.46 | |
| Buccal | Area | 10 | 6.71 | 3.81 | 6.46 | 12.09 |
| Volume | 10 | 0.33 | 0.26 | 0.27 | 0.79 |
Publisher’s Note: MDPI stays neutral with regard to jurisdictional claims in published maps and institutional affiliations. |
© 2021 by the authors. Licensee MDPI, Basel, Switzerland. This article is an open access article distributed under the terms and conditions of the Creative Commons Attribution (CC BY) license (http://creativecommons.org/licenses/by/4.0/).
Share and Cite
Belanche Monterde, A.; Albaladejo Martínez, A.; Curto, A.; Alonso Pérez-Barquero, J.; Guinot-Barona, C.; Zubizarreta-Macho, Á.; Calama González, R.M. Area and Volume of Remaining Cement and Enamel after Removal and Polishing of Buccal or Lingual Multibracket Appliances. Appl. Sci. 2021, 11, 1719. https://doi.org/10.3390/app11041719
Belanche Monterde A, Albaladejo Martínez A, Curto A, Alonso Pérez-Barquero J, Guinot-Barona C, Zubizarreta-Macho Á, Calama González RM. Area and Volume of Remaining Cement and Enamel after Removal and Polishing of Buccal or Lingual Multibracket Appliances. Applied Sciences. 2021; 11(4):1719. https://doi.org/10.3390/app11041719
Chicago/Turabian StyleBelanche Monterde, Alba, Alberto Albaladejo Martínez, Adrián Curto, Jorge Alonso Pérez-Barquero, Clara Guinot-Barona, Álvaro Zubizarreta-Macho, and Rosa María Calama González. 2021. "Area and Volume of Remaining Cement and Enamel after Removal and Polishing of Buccal or Lingual Multibracket Appliances" Applied Sciences 11, no. 4: 1719. https://doi.org/10.3390/app11041719
APA StyleBelanche Monterde, A., Albaladejo Martínez, A., Curto, A., Alonso Pérez-Barquero, J., Guinot-Barona, C., Zubizarreta-Macho, Á., & Calama González, R. M. (2021). Area and Volume of Remaining Cement and Enamel after Removal and Polishing of Buccal or Lingual Multibracket Appliances. Applied Sciences, 11(4), 1719. https://doi.org/10.3390/app11041719

