Design of a Coplanar Interlayer Gapped Microstrips Arrangement for Multi-Nuclei (1H, 19F, 31P, and 23Na) Applications in 7T MRI
Abstract
1. Introduction
1.1. Multinuclear MRI
1.2. X-Nuclei RF Coils
1.3. Microstrip Coils in MRI
2. Materials and Methods
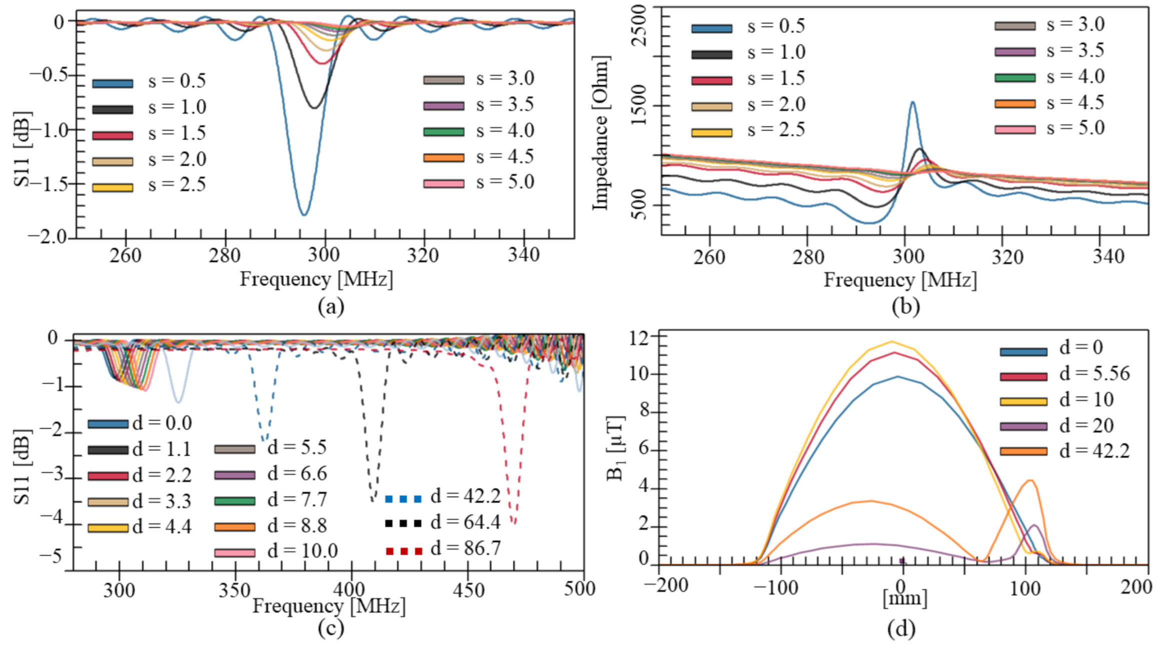
2.1. Gapped Microstrips
2.2. Coplanar Interleaved Dielectric Materials
2.3. Four Lines Microstrip Arrangement
3. Results
4. Discussion
Funding
Institutional Review Board Statement
Informed Consent Statement
Data Availability Statement
Acknowledgments
Conflicts of Interest
References
- Edlow, B.L.; Mareyam, A.; Horn, A.; Polimeni, J.R.; Witzel, T.; Tisdall, M.D.; Augustinack, J.C.; Stockmann, J.P.; Diamond, B.R.; Stevens, A.; et al. 7 Tesla MRI of the ex vivo human brain at 100 micron resolution. Sci. Data 2019, 6, 1–10. [Google Scholar] [CrossRef]
- Laader, A.; Beiderwellen, K.; Kraff, O.; Maderwald, S.; Wrede, K.; Ladd, M.E.; Lauenstein, T.C.; Forsting, M.; Quick, H.H.; Nassenstein, K.; et al. 1.5 versus 3 versus 7 Tesla in abdominal MRI: A comparative study. PLoS ONE 2017, 12, e0187528. [Google Scholar] [CrossRef] [PubMed]
- Van der Kolk, A.G.; Hendrikse, J.; Zwanenburg, J.J.; Visser, F.; Luijten, P.R. Clinical applications of 7 T MRI in the brain. Eur. J. Radiol. 2013, 82, 708–718. [Google Scholar] [CrossRef] [PubMed]
- Veersema, T.J.; Ferrier, C.H.; van Eijsden, P.; Gosselaar, P.H.; Aronica, E.; Visser, F.; Zwanenburg, J.M.; de Kort, G.A.; Hendrikse, J.; Luijten, P.R.; et al. Seven tesla MRI improves detection of focal cortical dysplasia in patients with refractory focal epilepsy. Epilepsia Open 2017, 2, 162–171. [Google Scholar] [CrossRef] [PubMed]
- Berthier, C.; Horvatić, M.; Julien, M.H.; Mayaffre, H.; Krämer, S. Nuclear magnetic resonance in high magnetic field: Application to condensed matter physics. Comptes Rendus Phys. 2017, 18, 331–348. [Google Scholar] [CrossRef]
- Redpath, T.W. Signal-to-noise ratio in MRI. Br. J. Radiol. 1998, 71, 704–707. [Google Scholar] [CrossRef] [PubMed]
- Marzola, P.; Osculati, F.; Sbarbati, A. High field MRI in preclinical research. Eur. J. Radiol. 2003, 48, 165–170. [Google Scholar] [CrossRef]
- Kraff, O.; Fischer, A.; Nagel, A.M.; Mönninghoff, C.; Ladd, M.E. MRI at 7 Tesla and above: Demonstrated and potential capabilities. J. Magn. Reson. Imaging 2015, 41, 13–33. [Google Scholar] [CrossRef]
- Meyerspeer, M.; Magill, A.W.; Kuehne, A.; Gruetter, R.; Moser, E.; Schmid, A.I. Simultaneous and interleaved acquisition of NMR signals from different nuclei with a clinical MRI scanner. Magn. Reson. Med. 2016, 76, 1636–1641. [Google Scholar] [CrossRef]
- A Hybrid Sodium/Proton Double-Resonant Transceiver Array for 9.4 T MRI. Available online: https://ieeexplore.ieee.org/abstract/document/6756178 (accessed on 21 January 2021).
- Niesporek, S.C.; Nagel, A.M.; Platt, T. Multinuclear MRI at Ultrahigh Fields. Top. Magn. Reson. Imaging 2019, 28, 173–188. [Google Scholar] [CrossRef]
- Anisimov, N.; Gulyaev, M.; Pavlova, O.; Volkov, D.; Gervits, L.; Pirogov, Y. Multinuclear magnetic resonance imaging in biomedical experiments. J. Phys. Conf. Ser. 2017, 886, 012006. [Google Scholar] [CrossRef]
- Hu, R.; Kleimaier, D.; Malzacher, M.; Hoesl, M.A.; Paschke, N.K.; Schad, L.R. X-nuclei imaging: Current state, technical challenges, and future directions. J. Magn. Reson. Imaging 2020, 51, 355–376. [Google Scholar] [CrossRef] [PubMed]
- Madelin, G.; Regatte, R.R. Biomedical applications of sodium MRI in vivo. J. Magn. Reson. Imaging 2013, 38, 511–529. [Google Scholar] [CrossRef] [PubMed]
- Nagel, A.M.; Bock, M.; Hartmann, C.; Gerigk, L.; Neumann, J.O.; Weber, M.A.; Bendszus, M.; Radbruch, A.; Wick, W.; Schlemmer, H.P.; et al. The potential of relaxation-weighted sodium magnetic resonance imaging as demonstrated on brain tumors. Investig. Radiol. 2011, 46, 539–547. [Google Scholar] [CrossRef] [PubMed]
- Ouwerkerk, R.; Bleich, K.B.; Gillen, J.S.; Pomper, M.G.; Bottomley, P.A. Tissue sodium concentration in human brain tumors as measured with 23Na MR imaging. Radiology 2003, 227, 529–537. [Google Scholar] [CrossRef]
- Petracca, M.; Fleysher, L.; Oesingmann, N.; Inglese, M. Sodium MRI of multiple sclerosis. NMR Biomed. 2016, 29, 153–161. [Google Scholar] [CrossRef]
- Hussain, M.S.; Stobbe, R.W.; Bhagat, Y.A.; Emery, D.; Butcher, K.S.; Manawadu, D.; Rizvi, N.; Maheshwari, P.; Scozzafava, J.; Shuaib, A.; et al. Sodium imaging intensity increases with time after human ischemic stroke. Ann. Neurol. 2009, 66, 55–62. [Google Scholar] [CrossRef]
- Maril, N.; Rosen, Y.; Reynolds, G.H.; Ivanishev, A.; Ngo, L.; Lenkinski, R.E. Sodium MRI of the human kidney at 3 Tesla. Magn. Reson. Med. 2006, 56, 1229–1234. [Google Scholar] [CrossRef]
- Valkovič, L.; Chmelík, M.; Krššák, M. In-vivo 31P-MRS of skeletal muscle and liver: A way for non-invasive assessment of their metabolism. Anal. Biochem. 2017, 529, 193–215. [Google Scholar]
- Bakermans, A.J.; Bazil, J.N.; Nederveen, A.J.; Strijkers, G.J.; Boekholdt, S.M.; Beard, D.A.; Jeneson, J.A. Human cardiac 31P-MR spectroscopy at 3 Tesla cannot detect failing myocardial energy homeostasis during exercise. Front. Physiol. 2017, 8, 939. [Google Scholar] [CrossRef]
- Rodgers, C.T.; Clarke, W.T.; Snyder, C.; Vaughan, J.T.; Neubauer, S.; Robson, M.D. Human cardiac 31P magnetic resonance spectroscopy at 7 Tesla. Magn. Reson. Med. 2014, 72, 304–315. [Google Scholar] [CrossRef] [PubMed]
- Ha, D.H.; Choi, S.; Oh, J.Y.; Yoon, S.K.; Kang, M.J.; Kim, K.U. Application of 31P MR spectroscopy to the brain tumors. Korean J. Radiol. 2013, 14, 477–486. [Google Scholar] [CrossRef] [PubMed]
- Novak, J.; Wilson, M.; MacPherson, L.; Arvanitis, T.N.; Davies, N.P.; Peet, A.C. Clinical protocols for 31P MRS of the brain and their use in evaluating optic pathway gliomas in children. Eur. J. Radiol. 2014, 83, e106–e112. [Google Scholar] [CrossRef] [PubMed]
- Ren, J.; Sherry, A.D.; Malloy, C.R. 31P-MRS of healthy human brain: ATP synthesis, metabolite concentrations, pH, and T1 relaxation times. NMR Biomed. 2015, 28, 1455–1462. [Google Scholar] [CrossRef] [PubMed]
- Klomp, D.W.; van de Bank, B.L.; Raaijmakers, A.; Korteweg, M.A.; Possanzini, C.; Boer, V.O.; van de Berg, C.A.; van de Bosch, M.A.; Luijten, P.R. 31P MRSI and 1H MRS at 7 T: Initial results in human breast cancer. NMR Biomed. 2011, 24, 1337–1342. [Google Scholar] [CrossRef]
- Liu, Y.; Gu, Y.; Yu, X. Assessing tissue metabolism by phosphorous-31 magnetic resonance spectroscopy and imaging: A methodology review. Quant. Imaging Med. Surg. 2017, 7, 707. [Google Scholar] [CrossRef]
- Lee, D.; Marcinek, D. Noninvasive In Vivo Small Animal MRI and MRS: Basic Experimental Procedures. JOVE 2009, 32, 1592. [Google Scholar] [CrossRef]
- Srinivas, M.; Heerschap, A.; Ahrens, E.T.; Figdor, C.G.; de Vries, I.J.M. 19F MRI for quantitative in vivo cell tracking. Trends Biotechnol. 2010, 28, 363–370. [Google Scholar] [CrossRef]
- Schwarz, R.; Schuurmans, M.; Seelig, J.; Künnecke, B. 19F-MRI of perfluorononane as a novel contrast modality for gastrointestinal imaging. Magn. Reson. Med. 1999, 41, 80–86. [Google Scholar] [CrossRef]
- Ratner, A.V.; Hurd, R.; Muller, H.H.; Bradley-Simpson, B.; Pitts, W.; Shibata, J.D.; Sotak, C.; Young, S.W. 19F magnetic resonance imaging of the reticuloendothelial system. Magn. Reson. Med. 1987, 5, 548–554. [Google Scholar] [CrossRef]
- Han, S.D.; Heo, P.; Kim, H.J.; Song, H.; Kim, D.; Seo, J.H.; Ryu, Y.; Noh, Y.; Kim, K.N. Double-layered dual-tuned RF coil using frequency-selectable PIN-diode control at 7-T MRI. Concepts Magn. Reson. B 2017, 47, e21363. [Google Scholar] [CrossRef]
- Barker, G.J.; Simmons, A.; Arridge, S.R.; Tofts, P.S. A simple method for investigating the effects of non-uniformity of radiofrequency transmission and radiofrequency reception in MRI. Br. J. Radiol. 1998, 71, 59–67. [Google Scholar] [CrossRef]
- Effects of Tuning Condition, Head Size and Position on the SAR of MRI Dual-Row Transmit Arrays. EuMC. Available online: https://ieeexplore.ieee.org/document/6686754 (accessed on 21 January 2021).
- Zhang, X.; Ugurbil, K.; Chen, W. Microstrip RF surface coil design for extremely high-field MRI and spectroscopy. Magn. Reson. Med. 2001, 46, 443–450. [Google Scholar] [CrossRef]
- Mahendra, A.; Rahardjo, E.T. Numerical Design of Dual Resonant Microstrip Surface RF Coil for MRI Application. In Proceedings of the 2019 IEEE Conference on Antenna Measurements & Applications (CAMA), Bali, Indonesia, 23–25 October 2019; pp. 1–3. [Google Scholar]
- Aliane, K.; Benahmed, N.; Bouhmidi, R.; Meriah, S.M.; Bendimerad, F.T.; Benabdallah, N. Analysis and Design of a 12-Element Coupled-Microstrip-Line quasi-TEM Resonator for MRI. In Proceedings of the 2012 Spring Congress on Engineering and Technology, Xi’an, China, 27–30 May 2012; pp. 1–4. [Google Scholar]
- Zhang, X.; Ugurbil, K.; Chen, W. A microstrip transmission line volume coil for human head MR imaging at 4 T. J. Magn. Reson. 2003, 161, 242–251. [Google Scholar] [CrossRef]
- Gruber, B.; Froeling, M.; Leiner, T.; Klomp, D.W. RF coils: A practical guide for nonphysicists. J. Magn. Reson. Imaging 2018, 48, 590–604. [Google Scholar] [CrossRef] [PubMed]
- Naghed, M.; Wolff, I.N.G.O. Equivalent capacitances of coplanar waveguide discontinuities and interdigitated capacitors using a three-dimensional finite difference method. IEEE Trans. Microw. Theory Tech. 1990, 38, 1808–1815. [Google Scholar] [CrossRef]
- Martel, J.; Medina, F.; Boix, R.R.; Horno, M. Comparison between theoretical and measured microstrip gap parameters involving anisotropic substrates. IEEE Trans. Microw. Theory Tech. 1998, 46, 198–201. [Google Scholar] [CrossRef]
- Kompa, G. Practical Microstrip Design and Applications; Artech House: London, UK, 2005. [Google Scholar]
- Maeda, M. An analysis of gap in microstrip transmission lines. IEEE Trans. Microw. Theory Tech. 1972, 20, 390–396. [Google Scholar] [CrossRef]
- Kirschning, M. Entwicklung von Näherungsmodellen für den Rechnergestützten Entwurf von Hybriden und Monolithischen Schaltungen in Mikrostreifenleitungstechnik. Ph.D. Thesis, Universität Duisburg, Duisburg, Germany, 1984. [Google Scholar]
- Kirschning, M.; Jansen, R.H.; Koster, N.H.L. Measurement and computer-aided modeling of microstrip discontinuities by an improved resonator method. IEEE MTT-S Int. Microw. Symp. Dig. 1983, 1983, 495–497. [Google Scholar]
- Quite Universal Circuit Simulator. Available online: http://qucs.sourceforge.net/index.html (accessed on 8 October 2020).
- Kirschning, M.; Jansen, R.H.; Koster, N.H.L. Accurate model for open end effect of microstrip lines. Electron. Lett. 1981, 17, 123–125. [Google Scholar] [CrossRef]
- Ponchak, G.E.; Dalton, E.; Tentzeris, M.M.; Papapolymerou, J. Coupling between microstrip lines with finite width ground plane embedded in thin-film circuits. IEEE Trans. Adv. Packag. 2005, 28, 320–327. [Google Scholar] [CrossRef]
- Bryant, T.G.; Weiss, J.A. Parameters of microstrip transmission lines and of coupled pairs of microstrip lines. IEEE Trans. Microw. Theory Tech. 1968, 16, 1021–1027. [Google Scholar] [CrossRef]
- Matsunaga, M.; Katayama, M.; Yasumoto, K. Coupled-mode analysis of line parameters of coupled microstrip lines. Prog. Electromagn. Res. 1999, 24, 1–17. [Google Scholar] [CrossRef]
- Lee, R.F.; Westgate, C.R.; Weiss, R.G.; Newman, D.C.; Bottomley, P.A. Planar strip array (PSA) for MRI. Magn. Reson. Med. 2001, 45, 673–683. [Google Scholar] [CrossRef]
- Nishiyama, H.; Nakazoe, J. Efficient calculation of interconnect capacitance and characteristic impedance for coupled pairs of microstrip-like transmission lines. Electron. Commun. Jpn. 1997, 80, 17–26. [Google Scholar] [CrossRef]
- Sim4Life by ZMT. Available online: www.zurichmedtech.com (accessed on 6 October 2020).









| Line Number | Frequency [MHz] | Dielectric Permittivity | Loading Capacitor [pF] | Parallel Capacitor [pF] |
|---|---|---|---|---|
| 1 | 121 | 10.7 | 80 | 18 |
| 2 | 300 | 2.94 | 11 | - |
| 3 | 78 | 10.7 | 100 | 65 |
| 4 | 280 | 2.94 | 15 | - |
Publisher’s Note: MDPI stays neutral with regard to jurisdictional claims in published maps and institutional affiliations. |
© 2021 by the author. Licensee MDPI, Basel, Switzerland. This article is an open access article distributed under the terms and conditions of the Creative Commons Attribution (CC BY) license (http://creativecommons.org/licenses/by/4.0/).
Share and Cite
Hernandez, D. Design of a Coplanar Interlayer Gapped Microstrips Arrangement for Multi-Nuclei (1H, 19F, 31P, and 23Na) Applications in 7T MRI. Appl. Sci. 2021, 11, 957. https://doi.org/10.3390/app11030957
Hernandez D. Design of a Coplanar Interlayer Gapped Microstrips Arrangement for Multi-Nuclei (1H, 19F, 31P, and 23Na) Applications in 7T MRI. Applied Sciences. 2021; 11(3):957. https://doi.org/10.3390/app11030957
Chicago/Turabian StyleHernandez, Daniel. 2021. "Design of a Coplanar Interlayer Gapped Microstrips Arrangement for Multi-Nuclei (1H, 19F, 31P, and 23Na) Applications in 7T MRI" Applied Sciences 11, no. 3: 957. https://doi.org/10.3390/app11030957
APA StyleHernandez, D. (2021). Design of a Coplanar Interlayer Gapped Microstrips Arrangement for Multi-Nuclei (1H, 19F, 31P, and 23Na) Applications in 7T MRI. Applied Sciences, 11(3), 957. https://doi.org/10.3390/app11030957

