A New Approach to Assess the Built Environment Risk under the Conjunct Effect of Critical Slow Onset Disasters: A Case Study in Milan, Italy
Abstract
1. Introduction
2. Materials and Methods
2.1. Temperature-Related Risk RiskT
- Dry bulb air temperature ()
 - Mean Radiant Temperature ()
 - Relative Humidity ()
 - Air/wind velocity ()
 
2.1.1. Undesired Boolean Conditions
- is recorded above 26 C (only heat stress (T) is considered);
 - is measured over 300 W/m;
 - is registered outside a 30–70% range; and
 - speed is below 2 m/s.
 
2.1.2. Weighting Factors
- for temperature, 0.4 is used, given that the temperature is perhaps the most relevant parameter;
 - for radiation, 0.3 is used, given that direct solar radiation falling on a body can significantly alter its heat exchange; and
 - for both air humidity and wind speed, 0.15 is given, as they can intensify or alleviate one’s perception of the previous conditions.
 
2.1.3. Comparison with the Simplified UTCI Calculation
- TP the number of True Positive values;
 - TN the number of True Negative values;
 - FP the number of False Positive values; and
 - FN the number of False Negative values.
 
- C
 
2.2. Pollution-Related Risk
2.3. Air Temperature and Pollution Confluence Risk
- the whole year (8760 h);
 - the summer period only (15 June–15 September, 2208 h);
 - both the mid-season and summer period (15 April–15 October, 4392 h); and,
 - mid-season (15 April–15 June and 15 September–15 October, 2184 h).
 
2.4. Case Study Description
3. Results
3.1. Meaningful Thermal Stress Risk Frequency
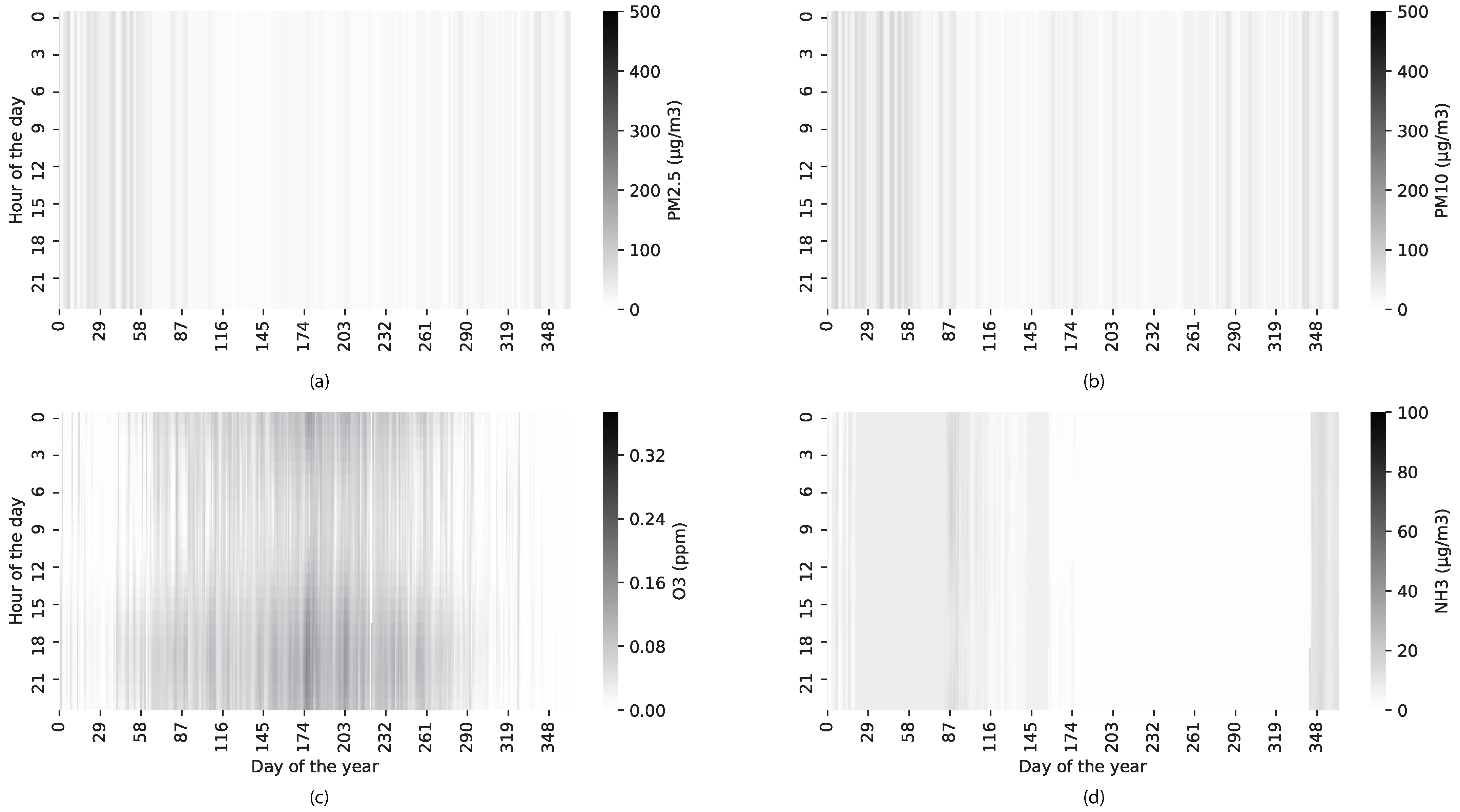
3.2. Unhealthy Polluted Air Recurrence
3.3. Boosted Health Risk from the Multiple Hazards Effect
4. Discussion
4.1. Validity of the Preliminary Assessment
4.2. Considerable Prevailing Pedestrian Risk
4.3. Limitations and Further Work
5. Conclusions
- Summer was found to be the most stressful period for both increasing temperatures and air pollution using a simplified thermal-related index (i.e., ) and the as separate criteria and/or combined criteria.
 - Winter prevalently had low air quality; along with late afternoon and early morning hours on a daily average.
 - Thermal stress was reported more frequently instead during midday and afternoon hours.
 - During the day, the conjoint effect of climatic and air quality distress was found to be more recurrent between 14:00 and 18:00, with a slight decay during 18:00 and 20:00 (as highlighted in Figure 5).
 
Author Contributions
Funding
Institutional Review Board Statement
Informed Consent Statement
Data Availability Statement
Conflicts of Interest
References
- United Nations, Department of Economic and Social Affairs, Population Division. World Urbanization Prospects: The 2018 Revision; Technical report; United Nations: New York, NY, USA, 2019. [Google Scholar]
 - World Health Organization. Quantitative Risk Assessment of the Effects of Climate Change on Selected Causes of Death, 2030s and 2050s; WHO Press: Geneva, Switzerland, 2014. [Google Scholar]
 - World Health Organization. Ambient Air Pollution: A Global Assessment of Exposure and Burden of Disease; World Health Organization: Geneva, Switzerland, 2016; p. 121. [Google Scholar]
 - United Nations. Transforming Our World: The 2030 Agenda for Sustainable Development; United Nations: New York, NY, USA, 2015. [Google Scholar]
 - Lee, J.Y.; Kim, H. Projection of future temperature-related mortality due to climate and demographic changes. Environ. Int. 2016, 94, 489–494. [Google Scholar] [CrossRef] [PubMed]
 - Jackson, J.E.; Yost, M.G.; Karr, C.; Fitzpatrick, C.; Lamb, B.K.; Chung, S.H.; Chen, J.; Avise, J.; Rosenblatt, R.A.; Fenske, R.A. Public health impacts of climate change in Washington State: Projected mortality risks due to heat events and air pollution. Clim. Chang. 2010, 102, 159–186. [Google Scholar] [CrossRef]
 - UNFCCC. Slow Onset Events; Technical report; United Nations: New York, NY, USA, 2012. [Google Scholar]
 - U.S. Environmental Protection Agency. Urban heat island basics. In Reducing Urban Heat Islands: Compendium of Strategies|Heat Island Effect|US EPA; U.S. Environmental Protection Agency: Washington, DC, USA, 2008. [Google Scholar]
 - Rosenzweig, C.; Solecki, W.D.; Romero-Lankao, P.; Mehrotra, S.; Dhakal, S.; Ibrahim, S.A. Climate Change and Cities: Second Assessment Report of the Urban Climate Change Research Network; Cambridge University Press: Cambridge, UK, 2018. [Google Scholar]
 - Niemenmaa, V.; Happach, B.; Kubat, J.; Otto, J.; Pirelli, L.; Simeonova, R.; Zalega, A.; Wisniewska-Danek, K.; Radecka-Moroz, K.; Wojciechowski, J.; et al. Air pollution: Our Health Still Insufficiently Protected; Technical report; ECA: Luxembourg, 2018. [Google Scholar] [CrossRef]
 - Colaninno, N.; Morello, E. Modelling the impact of green solutions upon the urban heat island phenomenon by means of satellite data. J. Phys. Conf. Ser. 2019, 1343, 012010. [Google Scholar] [CrossRef]
 - Fuladlu, K.; Riza, M.; İlkan, M. The Effect of Rapid Urbanization on the Physical Modification of Urban Area. In Proceedings of the International Conference on Architecture and Built Environment with AWARDs, Venice, Italy, 22–24 May 2018; pp. 1–9. [Google Scholar]
 - Paolini, R.; Mainini, A.G.; Poli, T.; Vercesi, L. Assessment of thermal stress in a street canyon in pedestrian area with or without canopy shading. Energy Procedia 2014, 48, 1570–1575. [Google Scholar] [CrossRef]
 - Jamei, E.; Rajagopalan, P.; Seyedmahmoudian, M.; Jamei, Y. Review on the impact of urban geometry and pedestrian level greening on outdoor thermal comfort. Renew. Sustain. Energy Rev. 2016, 54, 1002–1017. [Google Scholar] [CrossRef]
 - Stewart, I.D.; Oke, T.R. Local climate zones for urban temperature studies. Bull. Am. Meteorol. Soc. 2012, 93, 1879–1900. [Google Scholar] [CrossRef]
 - Udristioiu, M.T.; Velea, L.; Bojariu, R.; Sararu, S.C. Assessment of urban heat Island for Craiova from satellite-based LST. In AIP Conference Proceedings; AIP Publishing LLC: Melville, NY, USA, 2017; Volume 1916, p. 040004. [Google Scholar]
 - Sassi, M.Z.; Fourrié, N.; Guidard, V.; Birman, C. Use of Infrared Satellite Observations for the Surface Temperature Retrieval over Land in a NWP Context. Remote Sens. 2019, 11, 2371. [Google Scholar] [CrossRef]
 - Khamchiangta, D.; Dhakal, S. Time series analysis of land use and land cover changes related to urban heat island intensity: Case of Bangkok Metropolitan Area in Thailand. J. Urban Manag. 2020, 9, 383–395. [Google Scholar] [CrossRef]
 - Ketterer, C.; Matzarakis, A. Mapping the Physiologically Equivalent Temperature in urban areas using artificial neural network. Landsc. Urban Plan. 2016, 150, 1–9. [Google Scholar] [CrossRef]
 - Sharifi, E.; Lehmann, S. Correlation analysis of surface temperature of rooftops, streetscapes and urban heat island effect: Case study of central Sydney. J. Urban Environ. Eng. 2015, 9, 3–11. [Google Scholar] [CrossRef]
 - Vienneau, D.; De Hoogh, K.; Briggs, D. A GIS-based method for modelling air pollution exposures across Europe. Sci. Total Environ. 2009, 408, 255–266. [Google Scholar] [CrossRef] [PubMed]
 - Mackey, C.; Galanos, T.; Norford, L.; Roudsari, M.S.; Bhd, N.S. Wind, Sun, Surface Temperature, and Heat Island: Critical Variables for High-Resolution Outdoor Thermal Comfort Payette Architects, United States of America Massachusetts Institute of Technology, United States of America University of Pennsylvania. In Proceedings of the 15th IBPSA Conference, San Francisco, CA, USA, 7–9 August 2017; pp. 985–993. [Google Scholar]
 - Salmond, J.A.; Williams, D.E.; Laing, G.; Kingham, S.; Dirks, K.; Longley, I.; Henshaw, G.S. The influence of vegetation on the horizontal and vertical distribution of pollutants in a street canyon. Sci. Total Environ. 2013, 443, 287–298. [Google Scholar] [CrossRef] [PubMed]
 - ARPA Lombardia. Dati e Indicatori, ARPA Lombardia: Rosellini, Milano, Italy. Available online: https://www.arpalombardia.it (accessed on 25 March 2020).
 - Salvalai, G.; Enrico, Q.; Blanco Cadena, J.D. Built environment and human behavior boosting Slow-onset disaster risk. In Heritage 2020; Green Lines Institute for Sustainable Development: Coimbra, Portugal, 2020; pp. 199–209. [Google Scholar]
 - ISTAT. Statistiche Istat. ISTAT: Rome, Italy. Available online: http://dati.istat.it/ (accessed on 16 January 2020).
 - (EEA), Observed Annual Mean Temperature Change from 1960 to 2019 and Projected 21st Century Change Under Different Emissions Scenarios in Europe. Available online: https://www.eea.europa.eu/data-and-maps/figures/trends-in-annual-temperature-across-1 (accessed on 31 March 2020).
 - European Environment Agency. Air Quality in Europe—2019 Report. EEA Report No 10/2019; Technical report; European Environment Agency: Copenhagen, Denmark, 2019. [Google Scholar] [CrossRef]
 - Bröde, P.; Fiala, D.; Blazejczyk, K.; Epstein, Y.; Holmér, I.; Jendritzky, G.; Kampmann, B.; Richards, M.; Rintamäki, H.; Shitzer, A.; et al. Calculating UTCI equivalent temperature. In Environmental Ergonomics XIII; University of Wollongong: Wollongong, Australia, 2009; pp. 49–53. [Google Scholar]
 - ANSI/ASHRAE. ANSI/ASHRAE Standard 55-2017: Thermal Environmental Conditions for Human Occupancy; ASHRAE Inc.: Atlanta, GA, USA, 2017. [Google Scholar]
 - U.S. Environmental Protection Agency. Guidelines for the Reporting of Daily Air Quality—The Air Quality Index (AQI); Technical report; EPA: Washington, DC, USA, 2006. [Google Scholar]
 - Comune di Milano. Portale Open Data|Comune di Milano. Comune di Milano: Milano Italia. Available online: http://dati.comune.milano.it/ (accessed on 16 January 2020).
 - Zani, A.; Mainini, A.G.; Blanco Cadena, J.D.; Schiavon, S.; Arens, E. A New Modeling Approach for the Assessment of the Effect of Solar Radiation on Indoor Thermal Comfort. In Proceedings of the Building Performance Analysis Conference and SimBuild, Chicago, IL, USA, 26–28 September 2018. [Google Scholar]
 - Arens, E.; Hoyt, T.; Zhou, X.; Huang, L.; Zhang, H.; Schiavon, S. Modeling the comfort effects of short-wave solar radiation indoors. Build. Environ. 2015, 88, 3–9. [Google Scholar] [CrossRef]
 







| BPs | |||||
|---|---|---|---|---|---|
| O3 (ppm) | PM10 (µg/m3) | PM2.5 (µg/m3) | NH3 (µg/m3) | AQI | Category | 
| 0.000–0.064 | 0–54 | 0.0–15.4 | 0–200 | 0–50 | Good | 
| 0.065–0.084 | 55–154 | 15.5–40.4 | 201–400 | 51–100 | Moderate | 
| 0.085–0.104 | 155–254 | 40.5–65.4 | 401–600 | 101–150 | Unhealthy for sensitive groups | 
| 0.105–0.124 | 255–354 | 65.5–150.4 | 601–800 | 151–200 | Unhealthy | 
| 0.125–0.374 | 355–424 | 150.5–250.4 | 801–1200 | 201–300 | Very unhealthy | 
| 425–504 | 250.5–350.4 | 1201–1800 | 301–400 | Hazardous | |
| 505–604 | 350.5–500.4 | >1800 | 401–500 | Hazardous | |
| Pollutant | Demographic Groups at Higher Risk | 
|---|---|
| Ozone () | People with lung disease, children, elderly, and people who are active outdoors | 
| Particulate matter () | People with heart or lung disease, elderly, and children | 
| Particulate matter () | People with heart or lung disease, elderly, and children | 
| RiskT | UTCI | ||||
|---|---|---|---|---|---|
| Season | # of Hours | Hours at Risk | Ratio | Hours at Risk | Ratio | 
| Whole year | 8760 | 1324 | 15.11% | 1343 | 15.33% | 
| Summer and mid | 4392 | 1295 | 29.49% | 1343 | 30.58% | 
| Summer | 2208 | 1145 | 26.21% | 1253 | 28.69% | 
| Mid | 2184 | 150 | 3.42% | 90 | 2.05% | 
| Winter | 4368 | 29 | 0.66% | 0 | 0.00% | 
| AQI | |||
|---|---|---|---|
| Season | # of Hours | Hours at risk | Ratio | 
| Whole year | 8760 | 2193 | 25.03% | 
| Summer and mid | 4392 | 1155 | 26.30% | 
| Summer | 2208 | 808 | 18.50% | 
| Mid | 2184 | 347 | 7.90% | 
| Winter | 4368 | 1038 | 23.76% | 
| RiskT and AQI | |||
|---|---|---|---|
| Season | # of Hours | Hours at Risk | Ratio | 
| Whole year | 8760 | 485 | 5.54% | 
| Summer and mid | 4392 | 480 | 10.93% | 
| summer | 2208 | 435 | 9.96% | 
| Mid | 2184 | 45 | 1.02% | 
| Winter | 4368 | 5 | 0.11% | 
Publisher’s Note: MDPI stays neutral with regard to jurisdictional claims in published maps and institutional affiliations.  | 
© 2021 by the authors. Licensee MDPI, Basel, Switzerland. This article is an open access article distributed under the terms and conditions of the Creative Commons Attribution (CC BY) license (http://creativecommons.org/licenses/by/4.0/).
Share and Cite
Blanco Cadena, J.D.; Moretti, N.; Salvalai, G.; Quagliarini, E.; Re Cecconi, F.; Poli, T. A New Approach to Assess the Built Environment Risk under the Conjunct Effect of Critical Slow Onset Disasters: A Case Study in Milan, Italy. Appl. Sci. 2021, 11, 1186. https://doi.org/10.3390/app11031186
Blanco Cadena JD, Moretti N, Salvalai G, Quagliarini E, Re Cecconi F, Poli T. A New Approach to Assess the Built Environment Risk under the Conjunct Effect of Critical Slow Onset Disasters: A Case Study in Milan, Italy. Applied Sciences. 2021; 11(3):1186. https://doi.org/10.3390/app11031186
Chicago/Turabian StyleBlanco Cadena, Juan Diego, Nicola Moretti, Graziano Salvalai, Enrico Quagliarini, Fulvio Re Cecconi, and Tiziana Poli. 2021. "A New Approach to Assess the Built Environment Risk under the Conjunct Effect of Critical Slow Onset Disasters: A Case Study in Milan, Italy" Applied Sciences 11, no. 3: 1186. https://doi.org/10.3390/app11031186
APA StyleBlanco Cadena, J. D., Moretti, N., Salvalai, G., Quagliarini, E., Re Cecconi, F., & Poli, T. (2021). A New Approach to Assess the Built Environment Risk under the Conjunct Effect of Critical Slow Onset Disasters: A Case Study in Milan, Italy. Applied Sciences, 11(3), 1186. https://doi.org/10.3390/app11031186
        
                                                