Life Cycle Assessment of an NMC Battery for Application to Electric Light-Duty Commercial Vehicles and Comparison with a Sodium-Nickel-Chloride Battery
Abstract
1. Introduction
- A complete Life Cycle Inventory of an NMC battery, which is fully replicable, is presented.
- The environmental impact of the NMC battery has been analysed considering all of the product life cycle stages, including the amount of electricity lost during the recharging phase along the lifespan of the battery and the battery EoL.
- The recycling phase of the battery components has been analysed, as recommended in the PEFCR on batteries [26], i.e., by modelling the Pyrometallurgic and Hydrometallurgical recycling processes in cascade. These two processes are usually presented in the literature as alternative options for the recycling phase.
- An application to electric LDCVs for urban and regional freight haulage has been analysed; most of the papers in the literature have instead focused on passenger cars.
- The energy consumption and emissions from the vehicle use phase have been calculated by means of a backward-facing model of the case-study LDCV.
- A total of 12 impact categories (listed in Section 2.1.5) have been analysed in the paper. These categories include the global warming potential and Energy Demand, which are the only impact categories that have usually been addressed in most of the studies in the literature.
2. Materials and Methods
2.1. Goal and Scope
2.1.1. Product Characterisation: the NMC111 Battery
2.1.2. Functional Unit and Reference Flow
2.1.3. System Boundary and Data Sources
2.1.4. Allocation and Multifunctionality
2.1.5. Impact Assessment
|
|
2.2. Life Cycle Inventory
2.2.1. Battery Production Phase
2.2.1.1. Cathode Production
2.2.1.2. Battery Cell Production
2.2.1.3. Production of the Non-Cell Materials
2.2.2. Use Phase
2.2.2.1. Vehicle Use Phase
2.2.2.2. Battery Use Phase
2.2.3. End-of-Life
2.2.3.1. Recycling of the Cell Materials
2.2.3.2. Non-Cell Materials-EoL
3. Life Cycle Impact Assessment: Results and Interpretations
3.1. NMC Battery Impact Assessment
3.2. Insight into the Life Cycle Assessment of Different NMC Chemistries
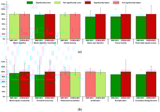
3.3. Comparison of the NMC and ZEBRA Batteries
3.4. Comparison of the LDCV Vehicles: Diesel, NMC111-BEV, and ZEBRA-BEV
- -
- Battery production (light blue bar): this includes the production of the cathode, battery cell, and non-cell materials and includes the total energy required for the manufacturing and the contributions of the battery transport from the manufacturing plant to the customer.
- -
- Vehicle production (dark blue bar): this includes all the processes, that is, from component production to distribution of the vehicle on the market [35].
- -
- Maintenance (green bar): this takes vehicle maintenance into account. Maintenance was modelled according to [35].
- -
- Battery losses (Magenta bar): these account for the amount of electricity lost during the recharging phase along the lifespan of the battery and are estimated according to Section 2.2.2.2.
- -
- Vehicle use phase (red bar): Well-To-Wheel energy consumption and emissions from the vehicle use phase were calculated by means of a backward-facing model of the LDCV case study, as detailed in Section 2.2.2.1.
4. Discussion
5. Conclusions
- (a)
- A cradle-to-grave life cycle assessment of an NMC111 battery, including production, further waste disposal related to the impact of incineration and the burial of materials, environmental credits, and recycling, as well as battery losses.
- (b)
- Insight into a life cycle assessment of different NMC chemistries.
- (c)
- Life cycle assessment of the manufacturing stages of NMC111 and ZEBRA batteries.
- (d)
- A life cycle assessment of three LDCV configurations (NMC111-BEV, ZEBRA-BEV, and conventional diesel), including battery and vehicle production, vehicle maintenance, battery losses, and vehicle use phases.
- The production stage is the main contributor to the total impact in all the impact categories. The main factors responsible for the production impact of the NMC111 battery are Nickel, Aluminium, Copper, Cobalt, and Energy demand. The amount of energy and heat necessary for the production stage is a source of uncertainty, as it has only been possible to estimate it partially.
- The contribution of the production of non-cell materials to battery production can range from 36% to 46% for many impact categories (ADP, CED, ADP-FF, and GWP). This confirms the importance of taking into account the impacts of battery production for both cell and non-cell materials when assessing the environmental sustainability of electric mobility.
- EoL produces environmental benefits that range from 3% to 25% of the total battery impact for most of the considered categories. The greatest benefits are shown for HTP (25%), POP (22%), AP (22%), and ADP (21%). However, the EoL stages increase the impact of ODP, ADP-FF and CED by about 30%, 7%, and 5%, respectively. However, recycling could be improved, since many of the materials involved in the production of batteries are not recycled (e.g., Lithium, Aluminium). The amount of energy and heat necessary for the EoL stages is another source of uncertainty.
- The battery production site influences GWP to a great extent, and the savings increase as the carbon intensity of the electricity chain decreases.
- Since energy is a key factor for the total impacts of batteries, company data should be made public to encourage future LCAs.
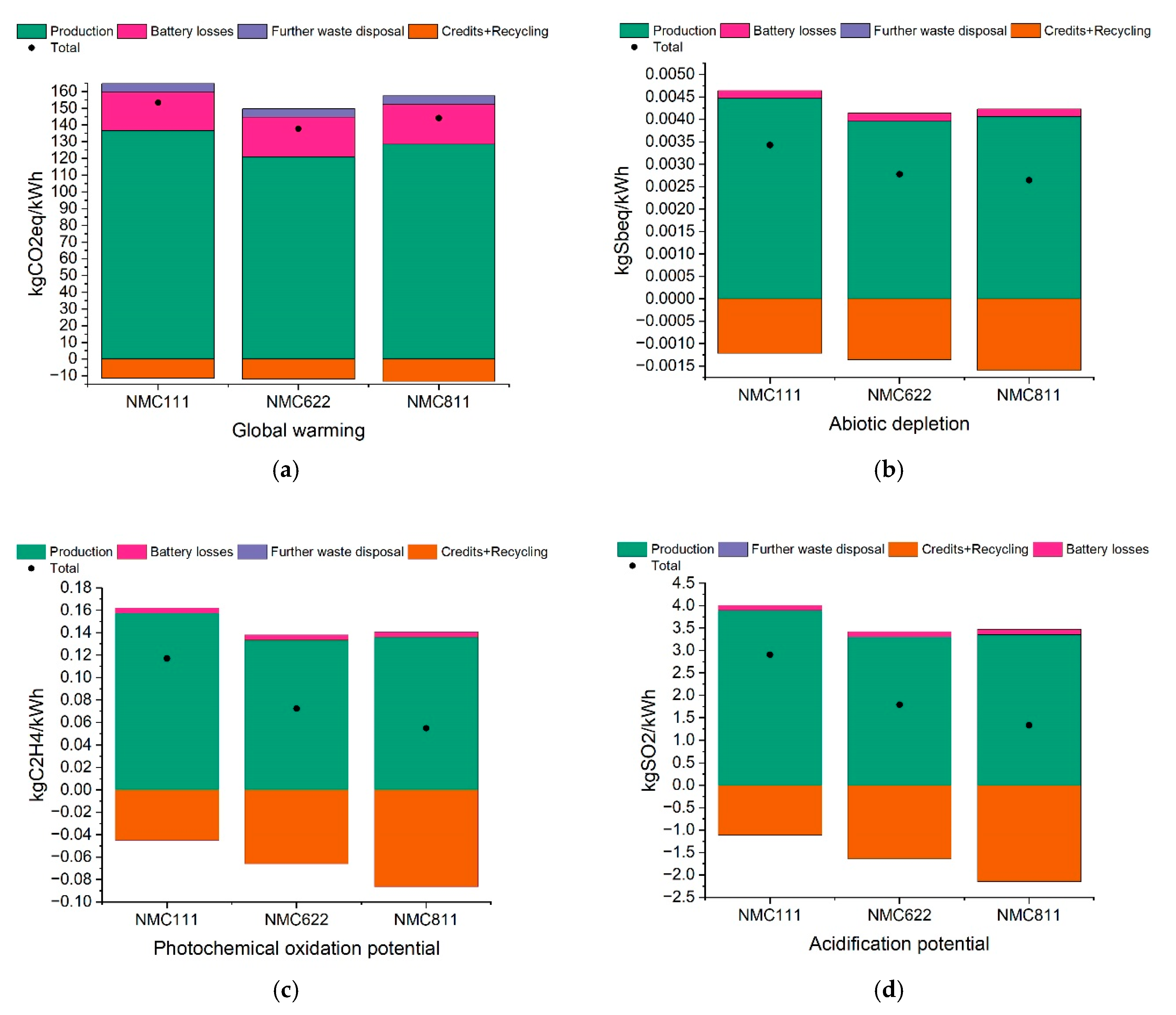
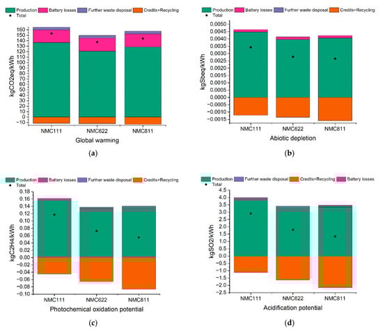
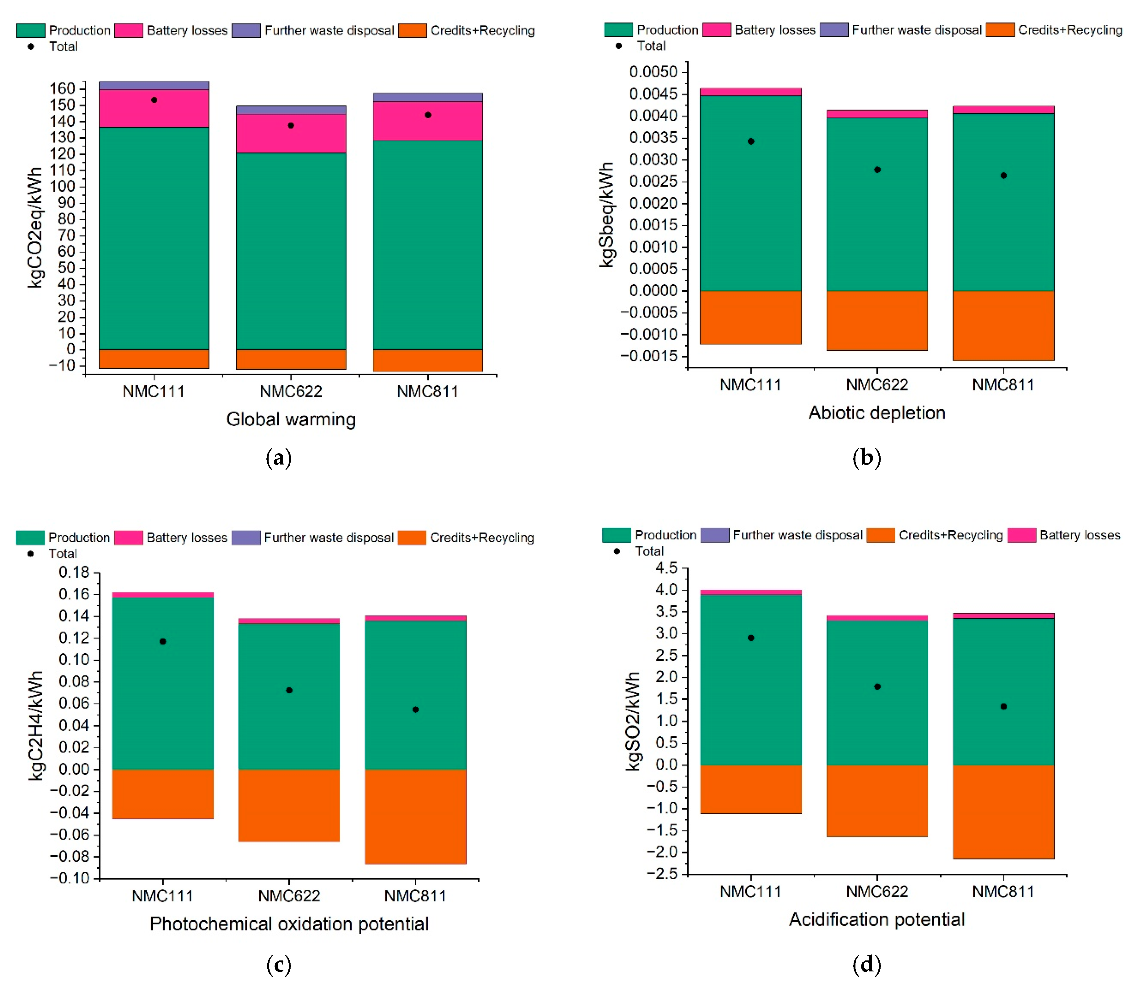
- In addition to NMC111, two cathode chemistries with increasing percentages of Nickel have been assessed, namely NMC622 and NMC811.
- Even though GWP shows slight differences between the considered NMC chemistries, NMC622 results to be the battery with the least GWP intensive formulation.
- ADP shows significant differences for the three chemistries. Nickel-rich cathodes mean reduced ADP and higher benefits, linked to the amount of avoided Nickel production. Thus, NMC811 contributes less to abiotic resource exploitation.
- NMC811 also shows the lowest impacts for POP and AP.
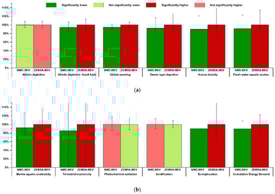
- NMC111 performs better for all the impact categories, except for ADP-FF, GWP, ODP and CED, where ZEBRA shows the lowest impacts.
- All the impact categories of NMC-BEV are significantly lower than those of ZEBRA-BEV.
- From a comparison of the vehicle LCA of the electric and diesel configurations, the following has emerged:
- ○
- The electric configurations show advantages over the diesel configuration, albeit only for GWP, POP, ADP-FF, and ODP.
- ○
- All the vehicle configurations seem to have quite similar impacts for CED.
- ○
- The diesel configuration shows a lower impact than the electric ones for HTP, F-ECOTP, M-ECOTP, T-ECOTP, AP, EP, and ADP.
- ○
- Both the NMC111 and ZEBRA batteries largely deteriorate the vehicle impacts, especially for POP (30 and 36%, respectively) and AP (30 and 37%, respectively).
- ○
- With reference to POP, it is worth pointing out that the use-phase emissions from electric powertrains are significant because of the energy carrier production, (especially because of the contribution of coal to electricity generation).
- A new vehicle configuration has been introduced, for which the driving range of the NMC111-BEV has been increased by installing an additional NMC111 battery pack. Even though the impacts of the NMC111-BEV increase, these impacts can still be considered significantly lower than those of the ZEBRA BEV (with only two battery packs) for all the categories, except ADP, GWP, POP, and AP (for which the differences between the two configurations are not significant).
- A further comparison has been made by varying the production site of NMC111 from China to Europe. The GWP of the NMC111-BEV with three battery packs reduces from 0.350 kgCO2/km to 0.299 kgCO2/km, when the production is moved from China to Europe.
Supplementary Materials
Author Contributions
Funding
Conflicts of Interest
Abbreviations
| ADP | Abiotic Depletion Potential |
| ADP-FF | Abiotic Depletion Potential-Fossil Fuels |
| AP | Acidification potential |
| BEV | Battery Electric Vehicle |
| BMS | Battery Management System |
| BOL | Beginning of Life |
| BOM | Bill of Materials |
| CED | Cumulative Energy Demand |
| EoL | End-of-Life |
| EP | Eutrophication potential |
| F-ECOTP | Freshwater Aquatic Ecotoxicity |
| FU | Functional Unit |
| GHG | Greenhouse gas |
| GVW | Gross Vehicle Weight |
| GWP | Global warming potential |
| HTP | Human Toxicity Potential |
| ICEV | Internal Combustion Engine Vehicle |
| LCI | Life Cycle Inventory |
| LCIA | Life Cycle Impact Assessment |
| LDCV | Light Duty Commercial Vehicle |
| LFP | Lithium Iron Phosphate |
| LIB | Li-Ion Batteries |
| LCA | Life Cycle Assessment |
| LiPF6 | Lithium Hexafluorophosphate |
| M-ECOTP | Marine Aquatic Ecotoxicity Potential |
| NMC | Nickel-Manganese-Cobalt |
| NMP | N-methyl-2-pyrrolidone |
| ODP | Ozone depletion potential |
| PE | Polyethylene |
| PEFCR | Product Environmental Footprint Category Rule |
| PET | polyethylene terephthalate |
| POP | Photochemical Oxidation Potential |
| PP | Polypropylene |
| T-ECOTP | Terrestrial Ecotoxicity Potential |
| ZEBRA | Sodium-Nickel-Chloride |
Appendix A. Monte Carlo Analysis of the Impact Assessment Results




References
- Notter, D.A.; Gauch, M.; Widmer, R.; Wäger, P.; Stamp, A.; Zah, R.; Althaus, H.-J. Contribution of Li-ion batteries to the environmental impact of electric vehicles. Environ. Sci. Technol. 2010, 44, 6550–6556. [Google Scholar] [CrossRef] [PubMed]
- Iclodean, C.; Varga, B.; Burnete, N.; Cimerdean, D.; Jurchiş, B. Comparison of Different Battery Types for Electric Vehicles. IOP Conf. Ser. Mater. Sci. Eng. 2017, 252. [Google Scholar] [CrossRef]
- Ding, Y.; Cano, Z.P.; Yu, A.; Lu, J.; Chen, Z. Automotive Li-Ion Batteries: Current Status and Future Perspectives. Electrochem. Energy Rev. 2019, 2, 1–28. [Google Scholar] [CrossRef]
- Ou, D. State of the Art of Life Cycle Inventory Data for Electric Vehicle Batteries. Master’s Thesis, Degree Project in Environmental Engineering, School of Architecture and the Built Environment, KTH Royal Institute of Technology, Stockholm, Sweden, 2017. Available online: https://kth.diva-portal.org/smash/get/diva2:1163424/FULLTEXT01.pdf (accessed on 15 November 2020).
- Velázquez-Martínez, O.; Valio, J.; Santasalo-Aarnio, A.; Reuter, M.; Serna-Guerrero, R. A critical review of lithium-ion battery recycling processes from a circular economy perspective. Batteries 2019, 5, 68. [Google Scholar] [CrossRef]
- International Energy Agency. Innovation in Batteries and Electricity Storage. 2020. Available online: https://www.iea.org/reports/innovation-in-batteries-and-electricity-storage (accessed on 15 November 2020).
- Märker, K.; Reeves, P.J.; Xu, C.; Griffith, K.J.; Grey, C.P. Evolution of Structure and Lithium Dynamics in LiNi0.8Mn0.1Co0.1O2 (NMC811) Cathodes during Electrochemical Cycling. Chem. Mater. 2019, 31, 2545–2554. [Google Scholar] [CrossRef]
- Margaritis, D.; Anagnostopoulou, A.; Tromaras, A.; Boile, M. Electric commercial vehicles: Practical perspectives and future research directions. Res. Transp. Bus. Manag. 2016, 18, 4–10. [Google Scholar] [CrossRef]
- Dunn, J.B.; Gaines, L.; Kelly, J.C.; James, C.; Gallagher, K.G. The significance of Li-ion batteries in electric vehicle life-cycle energy and emissions and recycling’s role in its reduction. Energy Environ. Sci. 2015, 8, 158–168. [Google Scholar] [CrossRef]
- Ellingsen, L.A.W.; Hung, C.R.; Strømman, A.H. Identifying key assumptions and differences in life cycle assessment studies of lithium-ion traction batteries with focus on greenhouse gas emissions. Transp. Res. Part D Transp. Environ. 2017, 55, 82–90. [Google Scholar] [CrossRef]
- Kallitsis, E.; Korre, A.; Kelsall, G.; Kupfersberger, M.; Nie, Z. Environmental life cycle assessment of the production in China of lithium-ion batteries with nickel-cobalt-manganese cathodes utilising novel electrode chemistries. J. Clean. Prod. 2020, 254, 120067. [Google Scholar] [CrossRef]
- Kelly, J.C.; Dai, Q.; Wang, M. Globally regional life cycle analysis of automotive lithium-ion nickel manganese cobalt batteries. Mitig. Adapt. Strateg. Glob. Chang. 2019. [Google Scholar] [CrossRef]
- Wentker, M.; Greenwood, M.; Leker, J. A bottom-up approach to lithium-ion battery cost modeling with a focus on cathode active materials. Energies 2019, 12, 504. [Google Scholar] [CrossRef]
- Miao, Y.; Hynan, P.; von Jouanne, A.; Yokochi, A. Current li-ion battery technologies in electric vehicles and opportunities for advancements. Energies 2019, 12, 1074. [Google Scholar] [CrossRef]
- Ahmed, S.; Nelson, P.A.; Gallagher, K.G.; Susarla, N.; Dees, D.W. Cost and energy demand of producing nickel manganese cobalt cathode material for lithium ion batteries. J. Power Sources 2017, 342, 733–740. [Google Scholar] [CrossRef]
- Wood, M.; Li, J.; Ruther, R.E.; Du, Z.; Self, E.C.; Meyer, H.M.; Daniel, C.; Belharouak, I.; Wood, I.D.L. Chemical stability and long-term cell performance of low-cobalt, Ni-Rich cathodes prepared by aqueous processing for high-energy Li-Ion batteries. Energy Storage Mater. 2020, 24, 188–197. [Google Scholar] [CrossRef]
- Battery University. Learning the Basics about Batteries—Types of Lithium-ion. Available online: https://batteryuniversity.com/learn/article/types_of_lithium_ion#:~:text=Nickel-based-systems-have-higher,-and-higher-to-boost-capacity (accessed on 10 January 2020).
- Ellingsen, L.A.W.; Majeau-Bettez, G.; Singh, B.; Srivastava, A.K.; Valøen, L.O.; Strømman, A.H. Life Cycle Assessment of a Lithium-Ion Battery Vehicle Pack. J. Ind. Ecol. 2014, 18, 113–124. [Google Scholar] [CrossRef]
- Hao, H.; Mu, Z.; Jiang, S.; Liu, Z.; Zhao, F. GHG Emissions from the production of lithium-ion batteries for electric vehicles in China. Sustainability 2017, 9, 504. [Google Scholar] [CrossRef]
- Hawkins, T.R.; Singh, B.; Majeau-Bettez, G.; Strømman, A.H. Comparative Environmental Life Cycle Assessment of Conventional and Electric Vehicles. J. Ind. Ecol. 2013, 17, 53–64. [Google Scholar] [CrossRef]
- Dai, Q.; Kelly, J.C.; Gaines, L.; Wang, M. Life cycle analysis of lithium-ion batteries for automotive applications. Batteries 2019, 5, 48. [Google Scholar] [CrossRef]
- Majeau-Bettez, G.; Hawkins, T.R.; Strømman, A.H. Life Cycle Environmental Assessment of Lithium-Ion and Nickel Metal Hydride Batteries for Plug-In Hybrid and Battery Electric Vehicles. Environ. Sci. Technol. 2011, 45, 4548–4554. [Google Scholar] [CrossRef]
- Dai, Q.; Spangenberger, J.; Ahmed, S.; Gaines, L.; Kelly, J.C.; Wang, M. EverBatt: A Closed-loop Battery Recycling Cost and Environmental Impacts Model Energy Systems Division; Argonne National Lab. (ANL): Argonne, IL, USA, 2019. [Google Scholar]
- Yang, L.; Hao, C.; Chai, Y. Life cycle assessment of commercial delivery trucks: Diesel, plug-in electric, and battery-swap electric. Sustainability 2018, 10, 4547. [Google Scholar] [CrossRef]
- Nordelöf, A.; Poulikidou, S.; Chordia, M.; de Oliveira, F.B.; Tivander, J.; Arvidsson, R. Methodological approaches to end-of-life modelling in life cycle assessments of lithium-ion batteries. Batteries 2019, 5, 51. [Google Scholar] [CrossRef]
- Recharge. PEFCR—Product Environmental Footprint Category Rules for High Specific Energy Rechargeable Batteries for Mobile Applications; European Commission: Brussels, Belgium, 2020; pp. 1–98. [Google Scholar]
- Energy Agency. World Energy Outlook 2020; IEA: Paris, France, 2020. [Google Scholar]
- Çabukoglu, E.; Georges, G.; Küng, L.; Pareschi, G.; Boulouchos, K. Battery electric propulsion: An option for heavy-duty vehicles? Results from a Swiss case-study. Transp. Res. Part C Emerg. Technol. 2018, 88, 107–123. [Google Scholar] [CrossRef]
- Teoh, T.; Kunze, O.; Teo, C.C.; Wong, Y.D. Decarbonisation of urban freight transport using electric vehicles and opportunity charging. Sustainability 2018, 10, 3258. [Google Scholar] [CrossRef]
- Lee, D.Y.; Thomas, V.M.; Brown, M.A. Electric urban delivery trucks: Energy use, greenhouse gas emissions, and cost-effectiveness. Environ. Sci. Technol. 2013, 47, 8022–8030. [Google Scholar] [CrossRef]
- Ricardo. Determining the Environmental Impacts of Conventional and Alternatively Fuelled Vehicles through LCA—Interim Report; Directorate-General for Climate Action (European Commission), Ricardo Energy & Environment: Brussels, Belgium, 2020; pp. 1–456. [Google Scholar]
- Nigro, N. Lifecycle Greenhouse Gas Emissions from Different Light-Duty Vehicle and Fuel Pathways: A Synthesis of Recent Research. 2013. Available online: https://www.c2es.org/document/lifecycle-greenhouse-gas-emissions-from-different-light-duty-vehicle-and-fuel-pathways-a-synthesis-of-recent-research/ (accessed on 10 December 2020).
- Argonne National Laboratory. Cradle-to-Grave Lifecycle Analysis of U.S. Light-Duty Vehicle-Fuel Pathways: A Greenhouse Gas Emissions and Economic Assessment of Current (2015) and Future (2025–2030) Technologies; Argonne National Lab. (ANL): Argonne, IL, USA, 2016; pp. 1689–1699. [Google Scholar]
- Amarakoon, S.; Smith, J.; Segal, B. Application of Life-Cycle Assessment to Nanoscale Technology: Lithium-ion Batteries for Electric Vehicles. 2013. Available online: http://www.epa.gov/dfe/pubs/projects/lbnp/final-li-ion-battery-lca-report.pdf (accessed on 2 September 2020).
- Marmiroli, B.; Venditti, M.; Dotelli, G.; Spessa, E. The transport of goods in the urban environment: A comparative life cycle assessment of electric, compressed natural gas and diesel light-duty vehicles. Appl. Energy 2020, 260, 114236. [Google Scholar] [CrossRef]
- European Commission—Joint Research Centre—Institute for Environment and Sustainability. International Reference Life Cycle Data System (ILCD) Handbook—General guide for Life Cycle Assessment—Detailed Guidance, 1st ed.; EUR 24708 EN; Publications Office of the European Union: Luxembourg, March 2010. [Google Scholar]
- Zackrisson, M.; Avellán, L.; Orlenius, J. Life cycle assessment of lithium-ion batteries for plug-in hybrid electric vehicles-Critical issues. J. Clean. Prod. 2010, 18, 1519–1529. [Google Scholar] [CrossRef]
- Dai, Q.; Kelly, C.J.; Dunn, J.; Benavides, T.P. Update of Bill-of-materials and Cathode Materials Production for Lithium-ion Batteries in the GREET Model. U.S. Dep. Energy. 2018. Available online: https://greet.es.anl.gov/publication-update_bom_cm (accessed on 31 August 2020).
- Allacker, K.; Mathieux, F.; Pennington, D.; Pant, R. The search for an appropriate end-of-life formula for the purpose of the European Commission Environmental Footprint initiative. Int. J. Life Cycle Assess. 2017, 22, 1441–1458. [Google Scholar] [CrossRef]
- Zwicker, M.F.R.; Moghadam, M.; Zhang, W.; Nielsen, C.V. Automotive battery pack manufacturing—A review of battery to tab joining. J. Adv. Join. Process. 2020, 1, 100017. [Google Scholar] [CrossRef]
- Bennett, L.M.S. Who Wants to Be in Charge? IEA. 2017. Available online: https://www.iea.org/commentaries/who-wants-to-be-in-charge (accessed on 25 November 2020).
- Dunn, J.K.J.; James, C.; Gaines, L.; Gallagher, K.; Dai, Q. Material and Energy Flows in the Production of Cathode and Anode Materials for Lithium Ion Batteries; Argonne National Lab. (ANL): Argonne, IL, USA, 2015. [Google Scholar]
- Cusenza, M.A.; Bobba, S.; Ardente, F.; Cellura, M.; di Persio, F. Energy and environmental assessment of a traction lithium-ion battery pack for plug-in hybrid electric vehicles. J. Clean. Prod. 2019, 215, 634–649. [Google Scholar] [CrossRef]
- Gorner, M. The Global EV Outlook 2019—Life-Cycle Analysis the Clean Energy Ministerial Electric Vehicles Initiative; IEA International Energy Agency, ITF Workshop “LCA of urban Transport Business Models”: Paris, France, 2019; Available online: https://www.iea.org/reports/global-ev-outlook-2019#abstract (accessed on 31 August 2020).
- Mohr, M.; Peters, J.F.; Baumann, M.; Weil, M. Toward a cell-chemistry specific life cycle assessment of lithium-ion battery recycling processes. J. Ind. Ecol. 2020, 24, 1310–1322. [Google Scholar] [CrossRef]
- Longo, S.; Antonucci, V.; Cellura, M.; Ferraro, M. Life cycle assessment of storage systems: The case study of a sodium/nickel chloride battery. J. Clean. Prod. 2014, 85, 337–346. [Google Scholar] [CrossRef]
- Goedkoop, M.; Oele, M.; Leijting, J.; Ponsioen, T.; Meijer, E. Introduction to LCA with SimaPro; PRé, Report Version 5.2. Available online: https://www.researchgate.net/publication/305444131_Introduction_to_LCA_with_SimaPro (accessed on 31 August 2020).
- Newkirk, M.S.; Smith, L.R.; Merritt, P.M. Heavy-duty diesel hydrocarbon speciation: Key issues and technological challenges. SAE Tech. Pap. 1993. [Google Scholar] [CrossRef]
- Bohac, S.V.; Han, M.; Jacobs, T.J.; López, A.J.; Assanis, D.N.; Szymkowicz, P.G. Speciated hydrocarbon emissions from an automotive diesel engine and DOC utilizing conventional and PCI combustion. SAE Tech. Pap. 2006, 2006. [Google Scholar] [CrossRef]
- Payri, F.; Bermúdez, V.R.; Tormos, B.; Linares, W.G. Hydrocarbon emissions speciation in diesel and biodiesel exhausts. Atmos. Environ. 2009, 43, 1273–1279. [Google Scholar] [CrossRef]
- Qiao, Q.; Zhao, F.; Liu, Z.; Jiang, S.; Hao, H. Cradle-to-gate greenhouse gas emissions of battery electric and internal combustion engine vehicles in China. Appl. Energy 2017, 204, 1399–1411. [Google Scholar] [CrossRef]
- Argonne National Laboratory. GREET® Model the Greenhouse Gases, Regulated Emissions, and Energy Use in Technologies Mode. Available online: https://greet.es.anl.gov/ (accessed on 3 February 2020).
- Emilsson, E.; Dahllöf, L. Lithium-Ion Vehicle Battery Production. Status 2019 on Energy Use, CO2 Emissions, Use of Metals, Products Environmental Footprint, and Recycling; No. C 444; IVL Swedish Environmental Research Institute: Stockholm, Sweden, November 2019. [Google Scholar]
- Xiong, S.; Ji, J.; Ma, X. Comparative life cycle energy and GHG emission analysis for BEVs and PHEVs: A case study in China. Energies 2019, 12, 834. [Google Scholar] [CrossRef]
- Heijungs, R. On the number of Monte Carlo runs in comparative probabilistic LCA. Int. J. Life Cycle Assess. 2020, 25, 394–402. [Google Scholar] [CrossRef]
- Raynolds, M.; Checkel, M.D.; Fraser, R.A. Application of Monte Carlo analysis to life cycle assessment. SAE Tech. Pap. 1999. [Google Scholar] [CrossRef]











| Characteristics | Sources | |
|---|---|---|
| Available Energy (BOL) | 35 kWh | Primary data |
| No. of parallel units per battery pack | 2 | Primary data |
| No. of cells in series per each unit | 96 | Primary data |
| Nominal voltage of the cell | 3.7 V | Primary data |
| Cell weight | 0.856 kg | Secondary data 1 |
| Battery pack weight | 226 kg | Estimated 1 |
| NMC111 | NMC622 | NMC811 | |
|---|---|---|---|
| Cell materials | kg | kg | kg |
| Active Cathode Material | 0.287 | 0.263 | 0.253 |
| Graphite | 0.160 | 0.171 | 0.168 |
| Carbon black | 0.020 | 0.018 | 0.014 |
| Binder (PVDF) | 0.025 | 0.024 | 0.029 |
| Copper | 0.134 | 0.134 | 0.131 |
| Aluminium | 0.069 | 0.069 | 0.068 |
| Electrolyte: LiPF6 | 0.018 | 0.018 | 0.021 |
| Electrolyte: Ethylene Carbonate | 0.050 | 0.050 | 0.057 |
| Electrolyte: Dimethyl Carbonate | 0.050 | 0.050 | 0.057 |
| Plastic: Polypropylene | 0.012 | 0.012 | 0.011 |
| Plastic: Polyethylene | 0.003 | 0.003 | 0.003 |
| Non-cell materials | |||
| Copper | 0.003 | 0.002 | 0.003 |
| Aluminium | 0.184 | 0.186 | 0.187 |
| Steel | 0.007 | 0.004 | 0.006 |
| PET | 0.005 | 0.004 | 0.005 |
| Electronics | 0.037 | 0.037 | 0.038 |
| Parameters | DIESEL-ICEV | NMC-BEV | ZEBRA-BEV |
|---|---|---|---|
| GVW [kg] | 5200 | 5200 | 5200 |
| Max Payload [kg] | 2495 | 1918 | 2064 |
| Maximum Power [kW] | 107 | 80 | 80 |
| Maximum Torque [Nm] | 350 | 300 | 300 |
| Kerb weight [kg] | 2577 | 2959 | 3039 |
| No. of battery packs | - | 2 | 2 |
| Total battery capacity [kWh] | - | 70 | 64 |
| Total battery weight [kg] | - | 452 | 532 |
| Cycle | Duration [s] | Length [km] | SEC-Tract [kWh/km] | SEC-Brake [kWh/km] | V-Tract [km/h] | V-Max [km/h] | P-Tract [kW] |
|---|---|---|---|---|---|---|---|
| AUDC | 993 | 4.83 | 0.56 | −0.47 | 25.48 | 57.70 | 14.15 |
| URBAN | 2583 | 13.48 | 0.47 | −0.42 | 29.86 | 75.29 | 14.07 |
| CO2-TTW [g/km] | EC-TTW [Wh/km] | ||||||
|---|---|---|---|---|---|---|---|
| Cycle | Load | DIE-ICEV 1 | NMC-BEV | ZEBRA-BEV | DIE-ICEV | ZEBRA-BEV | NMC-BEV |
| AUDC | 50 | 355.2 | - | - | 1424.0 | 561.1 | 424.6 |
| URB | 50 | 318.1 | - | - | 1276.0 | 540.0 | 406.0 |
| AUDC | 0 | 301.1 | - | - | 1208.0 | 515.6 | 380.4 |
| URB | 0 | 277.1 | - | - | 1111.0 | 506.0 | 373 |
| M1 | 312.9 | - | - | 1254.7 | 530.7 | 396 | |
| Study | Production Location | Battery Mass (kg) | Battery Capacity (kWh) | Manufacturing (kgCO2eq/kWh) | Manufacturing (kgCO2eq/kWh) | Recycling (kgCO2eq/kWh) |
|---|---|---|---|---|---|---|
| [22] | EU | (1) | (1) | 196 | 22 | |
| [18] | KR/NO | 253 | 26.6 | 172 | 18 | |
| [19] | CN | 170 | 28 | 104 | 17.2 | |
| [14] | US | - | 40 | 121 | - | |
| [51] | CN | 188.7 | 27 | 117 | 17 | |
| [53] | average | average | average | 146 | - | 15 |
| This study | CN | 226 | 35 | 135 | 21.2 | |
| This study | EU | 100 | 15.4 | 11.3 |
Publisher’s Note: MDPI stays neutral with regard to jurisdictional claims in published maps and institutional affiliations. |
© 2021 by the authors. Licensee MDPI, Basel, Switzerland. This article is an open access article distributed under the terms and conditions of the Creative Commons Attribution (CC BY) license (http://creativecommons.org/licenses/by/4.0/).
Share and Cite
Accardo, A.; Dotelli, G.; Musa, M.L.; Spessa, E. Life Cycle Assessment of an NMC Battery for Application to Electric Light-Duty Commercial Vehicles and Comparison with a Sodium-Nickel-Chloride Battery. Appl. Sci. 2021, 11, 1160. https://doi.org/10.3390/app11031160
Accardo A, Dotelli G, Musa ML, Spessa E. Life Cycle Assessment of an NMC Battery for Application to Electric Light-Duty Commercial Vehicles and Comparison with a Sodium-Nickel-Chloride Battery. Applied Sciences. 2021; 11(3):1160. https://doi.org/10.3390/app11031160
Chicago/Turabian StyleAccardo, Antonella, Giovanni Dotelli, Marco Luigi Musa, and Ezio Spessa. 2021. "Life Cycle Assessment of an NMC Battery for Application to Electric Light-Duty Commercial Vehicles and Comparison with a Sodium-Nickel-Chloride Battery" Applied Sciences 11, no. 3: 1160. https://doi.org/10.3390/app11031160
APA StyleAccardo, A., Dotelli, G., Musa, M. L., & Spessa, E. (2021). Life Cycle Assessment of an NMC Battery for Application to Electric Light-Duty Commercial Vehicles and Comparison with a Sodium-Nickel-Chloride Battery. Applied Sciences, 11(3), 1160. https://doi.org/10.3390/app11031160

