Next Article in Journal
Petri Net Toolbox for Multi-Robot Planning under Uncertainty
Next Article in Special Issue
Custom-Made Alloplastic Prosthetic Implant to Treat Temporomandibular Joint Ankylosis in Pediatric Patients: A Case Study
Previous Article in Journal
Gradient Boosting Machine to Assess the Public Protest Impact on Urban Air Quality
Previous Article in Special Issue
Computer Assisted Surgery and 3D Printing in Orthopaedic Oncology: A Lesson Learned by Cranio-Maxillo-Facial Surgery
 
 
Font Type:
Arial Georgia Verdana
Font Size:
Aa Aa Aa
Line Spacing:
Column Width:
Background:
Article

Speech Disorders in Dysgnathic Adult Patients in the Field of Severity of Primary Dysfunction

by
Anna Lichnowska
* and
Marcin Kozakiewicz
Department of Maxillofacial Surgery, Medical University of Lodz, 113th S. Żeromskiego, 90-549 Lodz, Poland
*
Author to whom correspondence should be addressed.
Appl. Sci. 2021, 11(24), 12084; https://doi.org/10.3390/app112412084
Submission received: 1 November 2021 / Revised: 6 December 2021 / Accepted: 16 December 2021 / Published: 18 December 2021

Abstract

:
The normative functioning of the stomatognathic system and masticatory apparatus requires specific coordination between several structures such as teeth with good occlusion, tongue without ankyloglossia or thrusting, and well-balanced facial muscles. This study aimed to evaluate the influence of non-normative primary functions such as breathing, swallowing, biting and chewing on the consonant pronunciation outcome in adults affected with facial skeletal deformities. Moreover, the authors would like to promote a new kind of speech therapy-orthognathic speech therapy. A total of 181 adults affected by skeletal class II and III malocclusion were included, along with the relationship between the malocclusion, speech deficiency (20 phonemes tested) and primary function disorders, in the subjects before and after surgical correction. The impact of surgery on pronunciation and primary function improvement and types of Polish phonemes most often misarticulated by Polish adults were also examined. Patients underwent combined treatment and received a full speech pathology examination. The treatment improved speech (p < 0.05), and primary functions (p < 0.05). Palatal, alveolar (p < 0.05), fricatives (p < 0.05), and labiodental consonant pronunciation (p < 0.05) improved. The surgical correction of malocclusion leads to better oral motor control and articulation of Polish consonants in adults.

1. Introduction

The normative functioning of the stomatognathic system and masticatory apparatus requires coordination between several structures such as teeth with good occlusion, tongue without ankyloglossia or thrusting, and well-balanced facial muscles. However, anatomy is only a part of the system, its other parts being primary functions, known as oral behaviours or non-speech activities [1].
The concept of primary function was introduced to Polish logopaedics by Wojciechowska [2]. It indicates the significant role of certain basic oral non-speech activities of the cranio- and oro-facial regions in proper pronunciation of the phonemes, especially consonants. These include breathing, swallowing, biting and chewing. In other words, primary functions are those essential for sustaining life and food intake. Even a minor disturbance of primary functions affects children and adults’ speech and articulatory abilities, especially those who suffer from a cleft palate [3]. Moreover, it is generally known that if difficulties occur, they may accelerate the development of malocclusion. D’Onofrio [4] stated that orofacial myofunctional disorders include dysfunctions of lips, jaw, tongue, and oropharynx, which often interfere with growth, development and functions of oral structures. D’Onofrio, in her article, lists several aspects that may be fundamental in malocclusion among children: airway obstruction, mouth breathing, abnormal resting postures of jaw, lips and tongue, oral habits, tongue thrust, incorrect chewing and other orofacial myofunctional disorders such as habitual thumb sucking, biting nails or other objects. The presence of one of the above may likely result in the need for orthodontic treatment in children. In their work on children, Yamaguchi et al. [5] presented a series of malocclusion and abnormal posture cases. They pointed out that force from unintentional and habitual behaviours constantly present in the maxillofacial and alveolar region can cause bony structures to deform gradually. Thijs et al. [6] stated that the disturbance of primary functions significantly impacts occlusion, as well as speech and may induce more articulation disorders for /s/, /n/, /l/, /t/ phonemes found in the subjects seeking orthodontic treatment. Several other phenomena were observed more often in this group: more impaired lip positioning during swallowing, impaired tongue function at rest, mouth breathing, open mouth posture, lips sucking/biting, anterior tongue position at rest and tongue thrust. Generally, oral control of fine motor skills should be established according to modern phonetics and logopaedics by the age of 7–8, which means that both children above that age and adults should not present disorders in primary functions, unless there is some anatomical or physiological obstacle. Even though there is plenty of literature concerning speech difficulties in children seeking orthodontic or orthognathic treatment, there is little research concerning adults.
Swallowing is a complex action that requires cooperation of multiple anatomic structures in the oral cavity, followed by the pharynx, the larynx, and the oesophagus. In adults, the act of normative swallowing can be described as follows: the tongue tip rests on the lingual part of the dentoalveolar region; however, the middle portion of the tongue elevates from the front to the back, contacting the palate, molar teeth (in horizontal and vertical directions) and preventing the bolus from being aspirated into the lungs. Melsen et al. [7] suggested two swallowing patterns and pointed out that a high position of the tongue favoured spacing in the maxilla and increased overjet; on the other hand, low tongue posture favoured spacing in the mandible and decreased overjet, such as in skeletal class III. Fujiki et al. [8] examined deglutitive tongue in mandibular protrusion and stated that in patients before surgery, the contact between the tongue and palate was significantly smaller, the anterior region of the dorsal tongue before the surgery was larger and, what is of high importance, that before the orthognathic surgery the tongue tip was significantly larger. They also reported that patients with anterior open bite had a tongue-tip protrusion, a slow movement of the posterior region of the dorsal tongue and early closure of the nasopharynx during deglutition. Foletti et al. [9] proved that atypical swallowing in adults with open bite might be one of the causes of relapse, adding that it also may be fundamental in non-normative pronouncing of /s/ and /z/ phonemes as well as developing interdental sigmatism.
Lichnowska and Kozakiewicz [10,11] proved that abnormal functioning of the tongue caused by ankyloglossia affects speech in adult patients with skeletal deformities. Moreover, as mentioned above, the authors proved that in most cases, phonemes such as alveolar, dental and palatal are disturbed and such coincidence of malocclusion and speech disorders require surgical intervention to correct.
Considering the data above, it should be suspected that such constitutional physiological problems affect the primary function and phonemes normative pronunciation in all dysgnathic adult population. Unfortunately, there has been very little research on adults in this area within the last half-century. Hassan et al. [12] presented a review in which they show a great need for research in this field, especially that speech pathologists and speech therapists more often have to face the problems of distorted primary functions among adults. They also pointed out the difficulty in gathering a control group, as people who do not suffer from any disorders mentioned above simply do not report to doctors or speech-language pathologists. Therefore, it is all the more worthwhile to assess the pronunciation capacity of consonants in patients anatomically affected by disorders of the craniofacial structure, i.e., those with facial skeletal deformities.
This study aimed to evaluate the influence of primary dysfunctions severity in breathing, swallowing, biting and chewing on the consonants pronunciation outcome in adults affected with facial skeletal deformities. Moreover, the authors would like to promote the role of a new kind of speech therapy: orthognathic speech therapy.

2. Materials and Methods

This study was approved by the Bioethical Committee of the University of Łódź no. RNN/73/19/KE. The research, in general, was about the relationship between malocclusion, speech and articulation disorders. Previous papers on the subject have published data on the impact of short frenulum on speech and logopaedic evaluation of adult patients after orthognathic surgery [10,11]. In the presented study, the materials and the method were extended and adjusted. In addition, inclusion and exclusion criteria (Table 1) were established.
The authors collected the data from 181 consecutive adult (26.4 ± 7.6 y.o.) patients (61 males and 120 females) diagnosed with class II and III skeletal deformities, who were treated at the Department of the Maxillofacial Surgery of Medical University of Łódź, Poland. The patients were enrolled to research randomly, based on reporting time to the Maxillofacial Outpatient Clinic and the possibilities of coordinating all medical and speech examinations before the surgery. The data present disorders prior to the surgery. The group consisted of 4 patients with laterogenia, 117 with progenia, 44 with retrogenia and 16 with open bite. All the selected participants had undergone a combined orthodontic and orthognathic treatment accompanied by a qualified speech-language pathologist’s diagnosis, and orofacial myofunctional therapy, if necessary, along with evaluation. The study was performed in stages: a patient’s qualification for combined treatment along with orthodontic diagnosis (Table 2), a detailed interview with particular emphasis on information about previous speech-language therapy with external and intraoral examinations by a speech-language pathologist. The study took into account overall language proficiency and thorough phonetic analysis of the collected speech samples. Speech-language pathology diagnosis was based on the Speech Organ Fitness Questionnaire [13] and the Articulation Test for Children and Adolescents [14]. Every patient was diagnosed by the same speech-language pathologist and the same maxillofacial surgeon conducted the surgery. Both tools were adapted for this study. Table 3 presents all phonemes tested. The previous research. The Logopaedic Evaluation of Adult Patients after Orthognathic Surgery-statistically confirmed and presented a new classification: Skeletal Consonants (SC) consisting predominantly of alveolar, palatal and dental consonants. The second group of consonants detected by mathematic analysis are Soft Tissue (STC) consonants. They consisted mainly of bilabial and labiodental consonants. Skeletal consonants and soft tissue consonants are terms used for the second time according to modern logopaedics worldwide. That is a proposed form of a new kind of classification.
Some additional examinations on breathing, swallowing, chewing and biting patterns were added. The study was conducted and recorded using a digital voice recorder. During an essential intraoral examination, the assessment included:
  • The type of occlusion (noted after an orthodontist or a maxillofacial surgeon diagnosis, the speech-language pathologist did not diagnose the occlusion herself), teeth position (including incisors protrusion or retrusion), missing teeth, crowding, diastema and other dental malpositions;
  • The shape of the tongue and its resting position;
  • The resting position of lips;
  • Tongue and lips frenulum length;
  • The shape of dental arches and palate;
  • Breathing, swallowing, biting and chewing patterns as well as the pace of speech and fluency.
Furthermore, the patients were asked to assess their hearing subjectively. The motor assessment of the tongue and lips was based on the Speech Organ Fitness Questionnaire. Twenty tests were provided to assess both tongue and lip motor skills. Each trial was marked on a scale from 0 to 3 points: 0—a movement impossible to be performed mainly due to anatomical status or weak abilities, 1—the improper quality of movement due to low efficiency of the articulators, 2—slightly reduced quality of movement, and 3—a perfect movement. After assessing motor skills of the tongue and the lips, the patients were asked to drink about 50 mL of water to examine the swallowing pattern. The examination focused on tongue movements, lips and facial muscles activity, especially orbicularis oris, buccinators, and mentalis muscle. Additionally, the speech pathologist gently unclenched the lips to observe the movements of the tongue. During swallowing examination, patients were instructed to sit upright with proper head position (without jaw protraction) and not to clench teeth but adjust them to their natural occlusal position. Subsequently, the patients were asked to eat a piece of an apple to assess biting and chewing patterns. It was observed whether the patients bite using central incisors or premolars. The patients were also asked if they observed unilateral biting or chewing patterns. Breathing was assessed continuously during the whole examination. Firstly, if the lips were sealed during static breathing, the patients were asked to do some squats (10 repetitions) to see whether mouth breath was inhaled. The final step was to conduct a phonetic analysis. Each phoneme was assessed in three different voice word positions, i.e., front, middle and end. During the articulation examination, both auditory and visual analyses were used to determine the correct positioning of the speech organs, i.e., the appropriate position of the tongue, lips for the given phoneme accepted as a norm in phonetics. For visual analysis some primary criteria were established on a 0 to 3 points scale: 0—an articulation movement done completely incorrectly in which both lips and tongue were not appropriately shaped, and the tongue was in a completely different place than it should be; 1 point—better lips shaping, e.g., round lips for rustling phonemes position but still the tongue had the wrong position; 2 points—well shaped lips, but the lateral position of the tongue; 3 points—perfect motor skills of lips and tongue. As far as the total visual assessment is concerned, all abnormal oral behaviours were noted. The pronunciation of a particular phoneme was in agreement with the articulation place and was considered the primary factor conditioning the assessment as correct or incorrect. Above, for these three groups of tests, individual scores were summed, and pooled scores were evaluated as total lips efficiency, total tongue efficiency and total visual assessment. The classification of the articulation place was adopted after T. Laine’s [15] study protocol as follows: anterior variant, which means that the phoneme was pronounced in too close contact with teeth; interdental variant, when the tongue was located precisely between arches and the central incisors, without performing lateral movements; lateral variant, indicated a deviation of the tongue movements to the right or left side, and posterior variant, indicated that phonemes were pronounced with the tongue mass withdrawn towards the oropharynx. A five-grade scale of pronunciation was established: 1 point—phoneme omission, 2 points—a completely deformed phoneme, interdental manner, 3 points—the phoneme pronounced too anteriorly, 4 points—a phoneme pronounced with a lateral position, and 5 points—correct phoneme.
The primary functions such as breathing were marked: correct for nasal breathing with lips sealed without exceeding mentalis muscle or orbicularis oris, mixed breathing if patients had to take extra inhales using mouth, especially when doing squats, and incorrect when mouth breathing pattern was present during all the procedures. For swallowing, the criteria were: correct when there was no or minimal activity of the facial muscles, and tongue contacted both the hard palate in the first oral phase and soft palate in the second oral phase of swallowing and did not thrust on the teeth; the incorrect type was when classical tongue thrust was observed without the exaggerated activity of the facial muscles; the childish swallowing type was noted when the patients swallowed with the tongue tip placed closed to the lower incisors with orbicularis oris, mentalis and buccinator visible activity, often with lips sucked into the oral cavity. For biting assessment, the patients needed to bite with their central incisors; if patients could not do that or did it with canine teeth or premolars, it was marked as incorrect. Chewing was assessed, observing whether the patients used both sides of the oral cavity and dental arches, performing round instead of vertical movements with lip closure. Further, the patients were asked to subjectively assess their chewing and biting and reporting any discomfort during these functions. Severity of primary dysfunction was created by counting the number of abnormal primary functions present. Thus, the range of values of the variable created in this study was from 0 (i.e., no abnormalities of primary functions) to 4 (i.e., maximum abnormality indicating the occurrence of abnormality in each of the primary functions examined).
Statistical analysis was performed in Statgraphics Centurion 18 (Statgraphics Technologies Inc., The Plains, VA, USA). Averages before and after surgery were compared by paired t-test. Categorical variables were tested for independence by the chi-square test. One-way ANOVA or Kruskal–Wallis (as a lack of normal distribution was observed) tests were applied for a factor (categorical variable) influence evaluation onto quantitative variables. The relationship of two quantitative variables was investigated by simple regression. Linear regression was performed in which Correlation Coefficient (CC) calculations and R-squared statistic (R2) indicated how much the model fitted to the variability in post-operational consonants. Significant statistics were considered as p < 0.05.

3. Results

Patients with progenia and open bite perform significantly worse on alveolar, dental and skeletal consonants (Table 4). Receiving speech therapy in childhood was not associated with adult-onset breathing disorders, swallowing disorders, or biting disorders. However, it was significantly associated with normal chewing. Individuals with dysgnathic malocclusion who had received previous speech therapy maintained the incorrect type of food chewing in adulthood (p < 0.01).
Disturbance of the primary functions is associated with a statistically significant deterioration in the pronunciation of the phonemes studied. Each consonant group was deformed in one of the examined primary functions (Table 5). It was observed that malocclusion (in twenty-one selected categories) was statistically related to the articulation quality of the skeletal consonants (p < 0.01), palatal (p < 0.05) and dental (p < 0.05) consonants. Such a relationship was not present in case of soft tissue consonants, bilabial, alveolar, labiodental and palatal_PL (p = 0.1031). Similarly, no relationship was detected between malocclusion (defined as above) and Severity Primary Disfunction (p = 0.0516).
Breathing is not related (χ2 test) to skeletal diagnosis established as in Table 3, malocclusion, understood as additional occlusal data, tongue volume, tongue scars, palate shape, palate scars, enlargement of palatal tonsils as well lip shape.
Incorrect breathing is related (Kruskal–Wallis test) to lower total lips efficiency (p < 0.05), lower total tongue efficiency (p < 0.005) but not with total visual assessment.
Swallowing function is not related (χ2 test) to skeletal diagnosis established as in Table 3, malocclusion, understood as additional occlusal data, tongue volume, tongue scars, palate scars, enlargement of palatal tonsils, lips shape. Incorrect swallowing is related to high palate as well high and narrow shape of the palate (p < 0.05). Swallowing is not related (Kruskal–Wallis test) to total lips efficiency, total tongue efficiency; however, incorrect swallowing is related to lower total visual assessment (p < 0.05). It was observed that dysgnathic patients with an incorrect swallowing type had better articulation of bilabials.
Chewing is not related (χ2 test) to skeletal diagnosis established as in Table 3, malocclusion, understood as additional occlusal data, tongue volume, tongue scars, palate shape, palate scars, enlargement of palatal tonsils, and lips shape. Incorrect chewing is related (Kruskal–Wallis test) to lower total lips efficiency, lower total tongue efficiency (p < 0.05) and with extremely low total visual assessment (p < 0.001).
Biting is not related (χ2 test) to skeletal diagnosis established as in Table 3, malocclusion, understood as additional occlusal data, tongue volume, tongue scars, palate shape, palate scars, enlargement of palatal tonsils, lips shape.
If the severity of primary dysfunction value increases it was noted in this study that total lips efficiency (p < 0.05), total tongue efficiency (p < 0.05), total visual assessment (p < 0.05) worsen. Only weak relationships were observed.
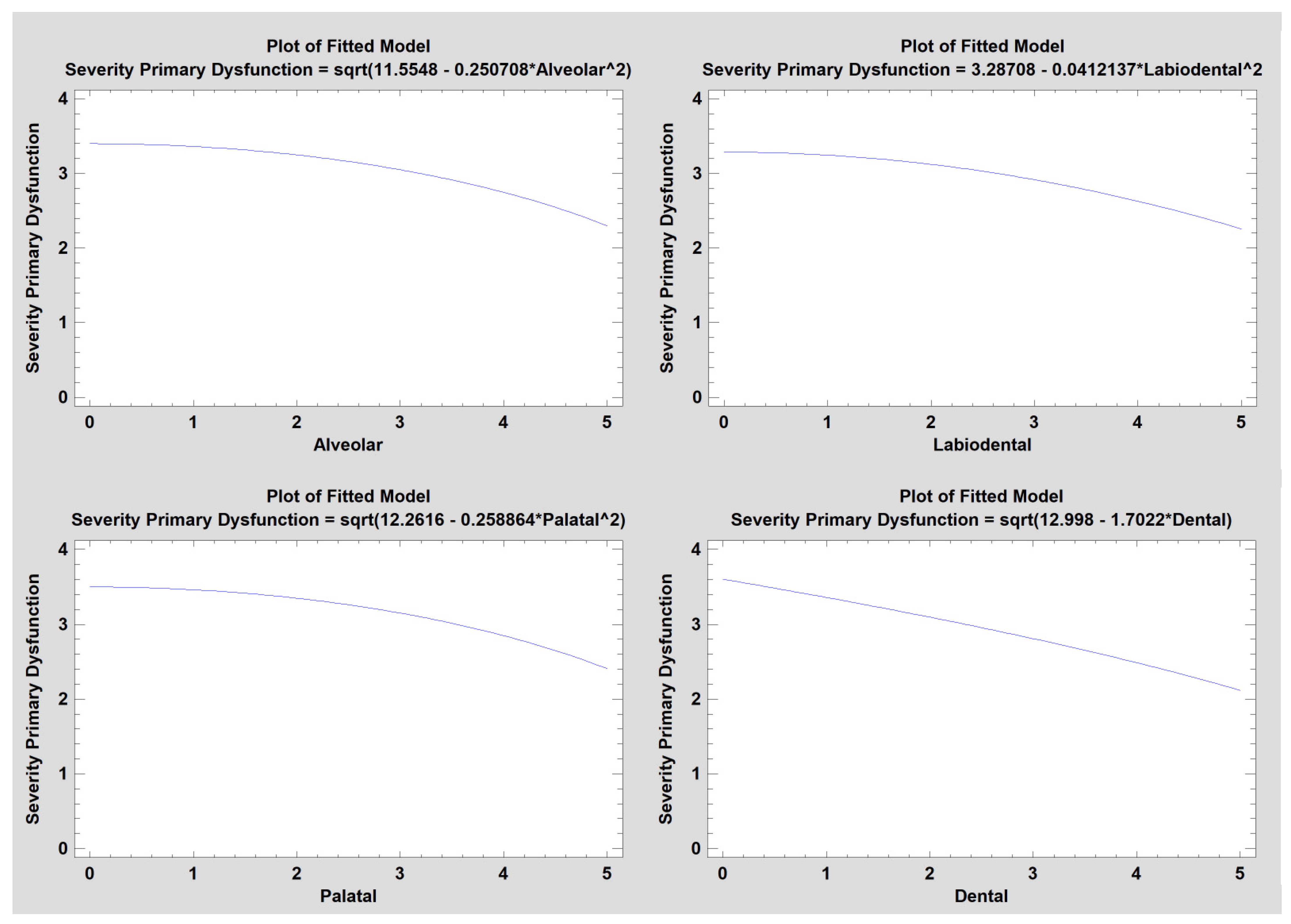
A collective measure of severity of primary dysfunction (SPD) indicates that a skeletal class III deformity leads to a greater primary dysfunction (Figure 1) than a class II disorder (p < 0.05). Furthermore, it was noted that SPD is related to the quality of pronunciation of alveolar (p < 0.001), labiodental (p < 0.005), palatal (p < 0.001), palatal_PL (p < 0.001), dental (p < 0.001), skeletal (p < 0.001) and soft tissue (p < 0.05) consonants. These showed relatively weak relationships. Table 6 presents additional date distribution. Figure 1 present severity of primary dysfunction.

4. Discussion

This study examining adult population describes the associations between human primary function disorders and the quality of articulated consonants. In addition, an attempt was made to relate primary function abnormalities to other features captured in the examination of the patients (scars, symmetries, aspects of anatomical structure), which are vital as these data concerned the patients affected by facial skeletal deformities. Apart from contradictory findings within the last 50 years concerning the relationship of malocclusion and motor speech disorders orthodontists, maxillofacial surgeons and speech pathologists agree that correct oral behaviours, listed here as the primary functions are fundamental in the stability of any treatment in the craniofacial and orofacial regions. In general, some types of malocclusion cause speech disorders (i.e., open bite), but in the light of the presented study, it is not the malocclusion itself but combined with abnormal functions of articulators such as the tongue, lips and jaws, as the function defines the bony structure. The severity of primary function disorders increases in class III and decreases in between the upper and lower teeth during production of sibilants (here dental phonemes). Still, in the light of our findings, it is the abnormal function of the tongue, not the malocclusion itself. Similar findings to Vallino and Tompson’s [16] were stated by Blythe [17], Mumin [18] and Subtelny and Mestre [19]. Ray [20] examined 6 adults with tongue thrust and some residual speech sound errors and assumed that the residual errors appeared to be a result of different dental or occlusal problems presented by those adults. Vallino and Tompson [16] also expressed that defective sibilant production may occur when the tongue is positioned low in the oral cavity, which could be due to ankyloglossia. This case was the aim of our previous paper on ankyloglossia and frenotomy effectiveness on speech production in adults [10]. It was proven that some phonemes are highly prone to any anatomical and functional changes. In cases of ankyloglossia, patients had some limitations in the vertical and horizontal movements of the tongue and due to this fact, they could not pronounce the consonants correctly or place the tongue in the right articulation site.
The patients diagnosed with some breathing disorders, mainly oral breathing, were also identified with the worse pronunciation of alveolar, palatal, palatal_PL and dental phonemes. There is no literature to discuss this issue. However, the observations during the research let the authors assume that oral breathing forces low tongue position, and due to this patients are unable to place it at the proper articulation site, i.e., palatal consonants in Polish are pronounced with a dorsal part of the tongue placed close to the palate and the alveolar ridge abnormal tongue resting position and functioning during swallowing II. Moreover, it was observed that pronunciation of consonants was better in class II than in class III malocclusion. In their article, Vallino and Tompson [16] pointed out that the occurrence of open bite can result in tongue protruding in the space created be.
As far as swallowing is concerned, it is one of the most repetitive functions, as human swallows between 800 to 1000 times a day. During normative swallowing, the tongue-tip and the sides of the tongue are in close contact with the alveolar ridge, and its central part (mediodorsum) elevates from front to back. As the bolus passes across the posterior or the inferior margin of the ramus of the mandible, the pharyngeal swallowing phase starts. The time of a singular swallowing act oscillates around 1 s. When such function is abnormal, it may lead to structural changes, as mentioned earlier by Yamaguchi et al. and Thijs et al. [5,6]. Fujiki et al. [8] proved that before the orthognathic surgery, the contact between the tongue and palate was smaller and the tongue tip was positioned more anteriorly than in control subjects when the dorsal tongue lost contact with soft palate. The patients with prognathism have small tongue-palate contact and tongue tip protrusion during deglutition. They also stated that the contact between the tongue and palate and tongue-tip position after the surgical intervention was similar to those of the controls. They stated that it could be possible that after the correction of prognathism, there was a negative intraoral pressure, leading to changes in tongue-tip position and deglutition patterns. Unfortunately, Fujiki et al. [8] did not provide any information on patients’ quality of articulation. In the present research, it was noted that patients with incorrect swallowing type often had a high palate—“gothic palate”. In such anatomical condition, it is almost impossible to place the tongue on the palate in a proper position called vertically-horizontal resting position, even if the frenulum is of a proper length and does not cause any discomfort or pain. According to this, it is easier for the patient. The constriction of airflow should be narrow. If the tongue is placed lower, the area of constriction becomes wider and the acoustic layer of the consonants in syllables or words is distorted. As a result, the sound seems to be more strident.
Contemporary orthodontics searches for the cause of an open bite and finds it in contact frame for /t/ and /s/ articulation were significantly higher after SSRO, and the value was approximately the same as that of normal subjects. They also suggested that after SSRO, a more posterior position for alveolar stop /t/ was observed, although little contact was observed before the surgery. These findings are in agreement with our study as the patients with the non-normative articulation of /t/ and /s/ also had the incorrect type of swallowing, which means that the palatal-tongue contact was disturbed. Kojima et al. [21] suggested that orthognathic surgery can improve the malocclusion and skeletal jaw relationship and tongue-palate position during post-operative articulation. Considering tongue thrust, Mozzanica et al. [22] also stated that patients with tongue thrust perform forward movements and interpose the tongue between their teeth while speaking and swallowing with consecutive pressure against the lingual surfaces of the anterior teeth and altered tongue position in the oral cavity. As in the present study, incorrect swallowing is related to the bone morphology named as the high palate; it may be possible that abnormal tongue activity is associated with some reduced contraction of the lower jaw elevator and by this, somewhat compensation mechanism activates the perioral muscles. That is also why, the total visual assessment was low in our research. It was stated earlier that proper swallowing does not need the assistance of the perioral muscles. A.C. Pereira et al. [23] mentioned that dolichocephalic individuals showed an altered breathing mode (oral or oronasal), tongue interposition and exaggerated participation of perioral muscles during swallowing, articulation was followed by mandible deviation such as other authors suggested. In the present research, we observed some equivocal results concerning swallowing and articulation of bilabial phonemes. Some explanations may be found in Galvao de Almeida Prado et al. [24] research on oral motor control and orofacial functions in individuals with dentofacial deformity in which they showed a correlation between diadochokinesis emissions and swallowing. They pointed out that the greater the instability of the emission of the syllable ‘pa’ (the first phoneme is a bilabial), the more altered this function is. They presented the justification that patients with prognathism usually swallow using the anterior tongue thrust with the participation of the perioral muscles while individuals with retrognathism present anterior mandible sliding, tongue posteroanterior movement, participation of the perioral muscles and tongue thrusting. They presented patients with class III and pointed out that in these cases, swallowing was done with anterior tongue protraction and some reduced force of liquids oral ejection. All these characteristics may have interfered in the oral motor control and performance in the patients with dentofacial deformity. Additionally, all presented types of swallowing may interfere with the pronunciation of every consonant tested, which agrees with the present study.
The patients with class III often present disorders of stomatognathic functions, especially masticatory disorders. Therefore, individuals who undergo orthognathic surgery may expect a rapid change after treatment. Those expectations are based on essential changes in psychological function and significant changes in the facial skeleton and soft tissues. As skeletal class III patients usually have a jaw deformity accompanied by occlusal problems, qualitative differences were observed. They may concern bilateral imbalances and improper masticatory movements. Chewing is one of the most critical stomatognathic functions. In the literature reporting on maxillofacial surgeries, chewing is mainly connected with unilateral movements, TMD, and improvements in smoothness chewing cycles. There is no literature discussing the impact of improper chewing on speech. The present study proved that bilabial, palatal_PL and dental phonemes misarticulations were detected in patients with incorrect chewing types. Islam et al. [25] suggested that the reason could be skeletal abnormalities and suggests patients’ rehabilitation using myofunctional therapy after the surgical treatment. The patients with class II usually have better motor abilities in the orofacial region than class III. It is easier to use muscles to create some compensations than to force the skeleton. Chewing activates several muscles in cranio- and orofacial regions, and because of their constant activity class II patients had less evident pronunciation disorders. The patients with unilateral chewing more often present disorders in pronouncing palatal and dental sounds; however, patients with class III, especially progenia, presented distortions in bilabial sound due to the inability to seal the lips. The lack of lips seal was also observed during chewing, which justifies why total visual assessment in our study is low. Chewing and biting patterns are closely connected with motor skills which are fundamental for pronunciation.
In addition to chewing, it was proved that patients with lateral biting patterns had difficulties in pronunciation palatal_PL and dental phonemes. In Polish, palatal_PL phonemes are medio-alveolar sounds, meaning that the tongue must be placed correctly, and the mandible has to present good kinematics. Piancino et al. [26] stated that during normal chewing, the mandible deviates laterally towards the bolus side and then medially during closure. In the reverse sequence, the mandible first deviates medially and then laterally, thus ensuring an overlap of opposing dental occlusal surfaces. They also add that reverse chewing cycles show an abnormal, narrow pattern characterised by smaller lateral displacement, a crossover of the opening and closing pattern, the mandible’s slow velocity, and altered coordination of the masseter muscles. As this state becomes habitual for a patient affected by malocclusion, it may influence oral motor control and tongue movements crucial for proper articulation of alveolar, palatal_PL and dental phonemes. It has to be added that such observations may be a tool for the detection of primary function disorders which may require a myofunctional treatment after surgical correction. That is a justification for orthognathic speech therapy present in the field of maxillofacial surgery and widely recognised dentistry. The presented method of calculating severity of primary dysfunction showed to be an interesting and helpful tool for diagnosing disorders in the stomatognathic system.
Moreover, the lack of proper elevating movements creates compensation mechanisms for pronunciation of palatal, dental and alveolar phonemes as well as provokes extra muscles activity. All phonemes require exact elevation of the tongue and its placement over the hard palate and the alveolar ridge. Kojima et al. [21] conducted research on tongue-palatal contact changes in patients with skeletal mandibular prognathism after sagittal split ramus osteotomy and found that whole total of palate tongue. To summarise, the conducted study accompanied by a literature review reveals that primary functions such as breathing, swallowing, chewing and biting are usually distorted in patients affected by malocclusion in class II and class III and impair articulation of speech intelligibility. Maxillofacial surgery can successfully correct both. Considering the functions, stomatognathic surgery corrects the skeleton and provides new and often better possibilities for oral motor control and due to that leads to pronunciation improvement. It is crucial to establish criteria for diagnosing primary function dysfunction and speech before surgery. Such actions may help early diagnosing the possibility of relapse in some malocclusions, such as the open bite. Moreover, it is crucial for orthodontists, maxillofacial surgeons and speech-language pathologists to cooperate as only by interdisciplinary treatment it is possible to accomplish all the goals both for the patients and for the medical team.

5. Conclusions

As far as Polish consonant phonemes are concerned, the most critical risk factors for misarticulations are occlusal anomalies and severity of primary dysfunction, which result in the changes of the jaw, the tongue and the lip positions together with their functions. Primary functions are fundamental for articulation of phonemes. The interdisciplinarity of speech pathology and its effectiveness in treating an adult population requires the cooperation of a speech-language pathologist qualified in orthognathic speech therapy, a maxillofacial surgeon, an orthodontist, and even a physiotherapist to help patients improve their articulation and implement elements of myofunctional therapy prior and after the surgery. In both class II and class III skeletal defects similar levels of severity of primary dysfunction were found. It was proved by the authors that surgical correction of malocclusion is of great importance and improves the facial skeleton, stomatognathic functions, and aesthetics, as well as general quality of life. This type of research should be conducted and extended by examining how particular elements of the stomatognathic system such as the short frenulum limits mandible movements and moreover, developing a screening test that will help detect the severity of primary dysfunction and the need for myofunctional therapy before and after the surgical correction of any malocclusion.
Finally, there is patients’ education about the influences of stomatognathic dysfunction on their future treatment result. If patients will be aware how they can control their stomatognathic functions due to orthognathic speech therapy and orofacial myofunctional therapy, they may support the successful treatment by themselves.

Author Contributions

Conceptualization, A.L. and M.K.; methodology, A.L.; software, M.K.; validation, A.L. and M.K.; formal analysis, M.K.; investigation, A.L.; resources, A.L.; data curation, A.L. and M.K.; writing—original draft preparation, A.L.; writing—review and editing, A.L. and M.K.; visualisation, M.K.; supervision, M.K.; funding acquisition, M.K. All authors have read and agreed to the published version of the manuscript.

Funding

This research was funded by Medical University of Lodz grant number: 503-1-138-01-503-51-001-17, 503-1-138-01-503-51-001-18 and 503-1-138-01-503-51-001-19-00.

Institutional Review Board Statement

The study was conducted according to the guidelines of the Declaration of Helsinki and approved by the Institutional Ethics Committee of Medical University of Lodz (protocol code RNN/73/19/KB approval date: 12 February 2019).

Informed Consent Statement

Informed consent was obtained from all subjects involved in the study.

Data Availability Statement

Not applicable.

Conflicts of Interest

The authors declare no conflict of interest.

References

  1. Kent, R.D. Nonspeech Oral Movements and Oral Motor Disorders: A Narrative Review. Am. J. Speech-Lang. Pathol. 2015, 24, 763–789. [Google Scholar] [CrossRef] [PubMed]
  2. Pluta-Wojciechowska, D. Zaburzenia Czynności Prymarnych i Artykulacji; Ergo-Sum: Bytom, Poland, 2003. [Google Scholar]
  3. Pluta-Wojciechowska, D. Realizacja fonemów języka polskiego u osób z rozszczepem podniebienia pierwotnego i/lub wtórnego—przegląd wybranych problemów, stanowisk, propozycji; Logopedia: Bytom, Poland, 2002; pp. 199–225. [Google Scholar]
  4. D’Onofrio, L. Oral dysfunction as a cause of malocclusion. Orthod. Craniofacial Res. 2019, 22 (Suppl. 1), 43–48. [Google Scholar] [CrossRef] [PubMed]
  5. Yamaguchi, H.; Sueishi, K. Malocclusion associated with abnormal posture. Bull. Tokyo Dent. Coll. 2003, 44, 43–54. [Google Scholar] [CrossRef] [PubMed] [Green Version]
  6. Thijs, Z.; Bruneel, L.; De Pauw, G.; Van Lierde, K.M. Oral Myofunctional and Articulation Disorders in Children with Malocclusions: A Systematic Review. Folia Phoniatr. Logop. 2021, 2021, 1–16. [Google Scholar] [CrossRef]
  7. Melsen, B.; Attina, L.; Santuari, M.; Attina, A. Relationships between swallowing pattern, mode of respiration, and development of malocclusion. Angle Orthod. 1987, 57, 113–120. [Google Scholar] [CrossRef] [PubMed]
  8. Fujiki, T.; Deguchi, T.; Nagasaki, T.; Tanimoto, K.; Yamashiro, T.; Takano-Yamamoto, T. Deglutitive tongue movement after correction of mandibular protrusion. Angle Orthod. 2013, 83, 591–596. [Google Scholar] [CrossRef] [PubMed] [Green Version]
  9. Foletti, J.-M.; Antonarakis, G.S.; Galant, C.; Courvoisier, D.S.; Scolozzi, P. Is Atypical Swallowing Associated With Relapse in Orthognathic Patients? A Retrospective Study of 256 Patients. J. Oral Maxillofac. Surg. 2018, 76, 1084–1090. [Google Scholar] [CrossRef]
  10. Lichnowska, A.; Kozakiewicz, M. The Effectiveness of Frenotomy on Speech in Adults. Appl. Sci. 2021, 11, 2727. [Google Scholar] [CrossRef]
  11. Lichnowska, A.; Kozakiewicz, M. The Logopedic Evaluation of Adult Patients after Orthognathic Surgery. Appl. Sci. 2021, 11, 5732. [Google Scholar] [CrossRef]
  12. Hassan, T.; Naini, F.B.; Gill, D.S. The Effects of Orthognathic Surgery on Speech: A Review. J. Oral Maxillofac. Surg. 2007, 65, 2536–2543. [Google Scholar] [CrossRef] [PubMed]
  13. Jeżewska-Krasnodębska, E. Przyczyny Zaburzen´ Artykulacji Zlokalizowane W Układzie Obwodowym; Impuls: Kraków, Poland, 2015. [Google Scholar]
  14. Michalak-Widera, I. Logopedyczny test dla dzieci i młodzieży; Unikat2: Katowice, Poland, 2009. [Google Scholar]
  15. Laine, T. Malocclusion traits and articulatory components of speech. Eur. J. Orthod. 1992, 14, 302–309. [Google Scholar] [CrossRef] [PubMed]
  16. Vallino, L.D.; Tompson, B. Perceptual characteristics of consonant errors associated with malocclusion. J. Oral Maxillofac. Surg. 1993, 51, 850–856. [Google Scholar] [CrossRef]
  17. Blyth, P. The relationship between speech, tongue behaviour and occlusal abnormalities. Dent. Practitioner 1959, 10, 11–19. [Google Scholar]
  18. Mumin, K.R. Anterior open bite anomaly and defective speech articulation. J. All-India Deny Assoc. 1966, 38, 185–191. [Google Scholar] [PubMed]
  19. Subtelny, J.D.; Mestre, J.C.; Subtelny, J.D. Comparative Study of Normal and Defective Articulation of /s/ as Related to Malocclusion and Deglutition. J. Speech Hear. Disord. 1964, 29, 269–285. [Google Scholar] [CrossRef] [PubMed]
  20. Ray, J.; Washington State University. Effects of orofacial myofunctional therapy on speech intelligibility in individuals with persistent articulatory impairments. Int. J. Orofac. Myol. Off. Publ. Int. Assoc. Orofac. Myol. 2003, 29, 5–14. [Google Scholar] [CrossRef]
  21. Kojima, S.; Kaku, M.; Yamamoto, I.; Yasuhara, Y.; Sumi, H.; Yashima, Y.; Izumino, J.; Nakajima, K.; Nagano, Y.; Kono, M.; et al. Tongue-palatal contact changes in patients with skeletal mandibular prognathism after sagittal split ramus osteotomy: An electropalatography study. J. Oral Rehabil. 2017, 44, 673–682. [Google Scholar] [CrossRef]
  22. Mozzanica, F.; Pizzorni, N.; Scarponi, L.; Crimi, G.; Schindler, A. Impact of Oral Myofunctional Therapy on Orofacial Myofunctional Status and Tongue Strength in Patients with Tongue Thrust. Folia Phoniatr. Logop. 2020, 73, 1–9. [Google Scholar] [CrossRef] [PubMed]
  23. Pereira, A.C.; Jorge, T.M.; Júnior, P.D.R.; Berretin-Felix, G. Características das funções orais de indivíduos com má oclusão classe III e diferentes faciais. Rev. Dental Press Ortodon. Ortopedi. Facial. 2005, 10, 111–119. [Google Scholar] [CrossRef]
  24. Prado, D.; Sovinski, S.; Nary-Filho, H. Oral motor control and orofacial functions in individuals with dentofacial deformity. Audiol. Commum. Res. 2015, 20, 78–83. [Google Scholar]
  25. Islam, R.; Kitahara, T.; Naher, L.; Hara, A.; Nakata, S. Lip Morphology Changes Following Orthognathic Surgery for Class III Malocclusion. Angle Orthod. 2010, 80, 344–353. [Google Scholar] [CrossRef] [PubMed]
  26. Piancino, M.G.; Isola, G.; Merlo, A.; Dalessandri, D.; Debernardi, C.L.; Bracco, P. Chewing pattern and muscular activation in open bite patients. J. Electromyogr. Kinesiol. 2012, 22, 273–279. [Google Scholar] [CrossRef] [PubMed]
Figure 1. Relation of the severity of primary dysfunction with pronunciation of consonants (p < 0.05).
Figure 1. Relation of the severity of primary dysfunction with pronunciation of consonants (p < 0.05).
Applsci 11 12084 g001
Table 1. Inclusion and exclusion criteria.
Table 1. Inclusion and exclusion criteria.
Inclusion CriteriaExclusion Criteria
(1) skeletal class II or skeletal class III(1) cleft lip/palate
(2) age between 18 to 50 years old(2) alveolar process cleft
(3) misarticulation and primary function disorders(3) treatment protocol: surgical correction of dysgnathia (surgery first), then orthodontic treatment
(4) patient consent for treatment(4) lack of dysgnathia
(5) patient consent for full speech pathology examination(5) lack of any of patient’s consents, documents
(6) treatment protocol: orthodontic decompensation, then surgical correction of dysgnathia(6) age under 18 and above 50 years old
(7) speech diagnosis before and after the surgery(7) hearing, sight, fonation disorders (i.e., pace and fluency, stuttering)
Table 2. Diagnosis by speech therapy in childhood.
Table 2. Diagnosis by speech therapy in childhood.
NoYesRow Total
Laterogenia314
1.66%0.55%2.21%
Open bite10616
5.52%3.31%8.84%
Progenia7245117
39.78%24.86%64.64%
Retrogenia321244
17.68%6.63%24.31%
Column Total11764181
64.64%35.36%100.00%
Table 3. Investigated phonemes were combined into groups according to their place of articulation in Polish.
Table 3. Investigated phonemes were combined into groups according to their place of articulation in Polish.
Group of ConsonantsPhonemes Included
Bilabial (STC)/b/, /p/
Alveolar (SC)/t/, /d/, /n/
Labiodental (STC)/f/, /w/
Palatal (SC)/sz/, /ż/, /cz/, /dż/
Palatal_PL * (SC)/ś/, /ź/, /ć/, /dź/
Dental (SC)/s/, /z/, /c/, /dz/
* A group of specific Polish regional palatal consonants which are not represented by the International Phonetic Alphabet.
Table 4. Pronunciation of Polish consonants in dysgnathic patients.
Table 4. Pronunciation of Polish consonants in dysgnathic patients.
Skeletal DeformationConsonants
BilabialAlveolarLabiodentalPalatalPalatal_PLDentalSkeletalSoft Tissue
Laterogenia4.88 ± 0.254.20 ± 1.054.25 ± 0.505.00 ± 0.005.00 ± 0.003.50 ± 1.0012.42 ± 1.287.05 ± 0.31
Progenia4.58 ± 0.763.98 ± 0.93 R4.48 ± 0.974.32 ± 0.894.23 ± 1.033.29 ± 1.14 R11.18 ± 2.31 R6.91 ± 1.09
Retrogenia4.71 ± 0.854.44 ± 0.82 P,O4.74 ± 0.604.38 ± 0.864.56 ± 0.743.90 ± 1.16 P,O12.28 ± 2.26 P,O7.14 ± 0.87
Open Bite4.88 ± 0.503.80 ± 1.07 R4.41 ± 0.994.41 ± 0.804.14 ± 1.123.13 ± 1.36 R10.84 ± 2.78 R7.11 ± 0.94
Abbreviations: L—Statistically significant difference to laterogenia (p < 0.05); P—Statistically significant difference to progenia (p < 0.05); R—Statistically significant difference to retrogenia (p < 0.05); O—Statistically significant difference to open bite (p < 0.05).
Table 5. Articulation outcome of consonants in dysgnathic patients with correct versus incorrect primary function.
Table 5. Articulation outcome of consonants in dysgnathic patients with correct versus incorrect primary function.
Primary FunctionConsonants
BilabialAlveolarLabiodentalPalatalPalatal_PLDentalSkeletalSoft Tissue
BreathingCor4.59 ± 0.834.27 ± 0.864.68 ± 0.734.65 ± 0.604.61 ± 0.723.75 ± 1.0912.29 ± 1.927.06 ± 0.94
Inc4.68 ± 0.713.95 ± 0.96 *4.43 ± 0.974.15 ± 0.96 *4.12 ± 1.07 *3.21 ± 1.20 *10.87 ± 2.47 *6.94 ± 1.07
SwallowingCor4.51 ± 0.824.41 ± 0.854.61 ± 0.774.46 ± 0.824.60 ± 0.773.79 ± 1.2012.28 ± 2.076.92 ± 0.98
Inc4.75 ± 0.69 #3.81 ± 0.91 *4.46 ± 0.984.27 ± 0.894.08 ± 1.06 *3.13 ± 1.08 *10.75 ± 2.38 *7.05 ± 1.05
ChewingCor4.84 ± 0.544.20 ± 0.884.72 ± 0.714.52 ± 0.734.55 ± 0.743.62 ± 1.1211.96 ± 2.027.29 ± 0.71
Inc4.50 ± 0.86 *4.00 ± 0.974.39 ± 0.984.23 ± 0.934.14 ± 1.09 *3.28 ± 1.21 *11.06 ± 2.54 *6.76 ± 1.15 *
BitingCor4.85 ± 0.364.31 ± 0.884.74 ± 0.694.56 ± 0.744.65 ± 0.623.73 ± 1.2012.21 ± 1.987.30 ± 0.68
Inc4.56 ± 0.863.98 ± 0.954.44 ± 0.95 *4.27 ± 0.904.18 ± 1.06 *3.30 ± 1.16 *11.11 ± 2.45 *6.85 ± 1.11
Abbreviations: Cor—Correct; Inc—Incorrect; * statistically significant worsening of speech in the group with incorrect primary function versus correct group (p < 0.05); # inverse significant difference (p < 0.05).
Table 6. Relation of the severity of primary dysfunction to clinical features of patients.
Table 6. Relation of the severity of primary dysfunction to clinical features of patients.
Clinical FeatureSeverity of Primary DysfunctionSignificant Relation
GenderFemale: 2.36 ± 1.07; Male: 2.50 ± 1.35n.s.
DiagnosisL:2.75 ± 0.96;
P:2.52 ± 1.16;
R:2.00 ± 1.14;
O:2.63 ± 1.20
R < P; p < 0.05
Additional Occlusal DataCross bite2.50 ± 1.00n.s.
Cross bite + Crowding1.00 ± 0.00
Cross bite + Retrusion + Crowding1.50 ± 0.71
Crowding2.16 ± 1.38
Diastema0.83 ± 1.17
Open bite3.15 ± 0.90
Open bite + Cross bite3.00 ± 0.00
Open bite + Cross bite + Protrusion + Crowding3.00 ± 0.00
Open bite + Crowding2.43 ± 1.40
Open bite + Diastema3.00 ± 0.00
Open bite + Protrusion2.50 ± 0.84
Open bite + Protrusion + Crowding3.20 ± 0.45
Open bite + Protrusion + Diastema4.00 ± 0.00
Open bite + Retrusion3.00 ± 1.73
Open bite + Retrusion + Crowding2.67 ± 1.53
Protrusion3.00 ± 0.85
Protrusion + Crowding1.80 ± 0.84
Protrusion + Diastema + Crowding1.50 ± 0.71
Retrusion2.40 ± 0.91
Retrusion + Crowding2.00 ± 1.34
Retrusion + Diastema3.00 ± 0.00
Tongue VolumeNormoglossia:2.41 ± 1.15;
Macroglossia:2.38 ± 160
n.s.
Tongue ScarsNo scars: 2.38 ± 1.18;
Scars: 2.89 ± 0.78
n.s.
PalateNormal: 2.14 ± 1.20;
Narrow: 2.64 ± 1.21;
High and Narrow: 2.37 ± 1.19;
High: 2.61 ± 1.08;
Short: 4.00 ± 0.00
n.s.
Palate ScarsNo scars: 2.40 ± 1.15;
Scars: 2.67 ± 2.31
n.s.
Palatal TonsilsNormal: 2.38 ± 1.16;
Enlarged: 2.47 ± 1.20
n.s.
LipsNormal: 2.35 ± 1.23;
Asymmetrical: 2.39 ± 1.17;
Asymmetrical and Narrow: 2.25 ± 0.96; Asymmetrical and Overgrown: 4.00 ± 0.00;
Narrow: 2.55 ± 1.04; Overgrown: 4.00 ± 0.00d
n.s.
Abbreviation: n.s.- no significant difference; L-Laterogenia; P-Progenia; R-Retrogenia; O-Open bite.
Publisher’s Note: MDPI stays neutral with regard to jurisdictional claims in published maps and institutional affiliations.

Share and Cite

MDPI and ACS Style

Lichnowska, A.; Kozakiewicz, M. Speech Disorders in Dysgnathic Adult Patients in the Field of Severity of Primary Dysfunction. Appl. Sci. 2021, 11, 12084. https://doi.org/10.3390/app112412084

AMA Style

Lichnowska A, Kozakiewicz M. Speech Disorders in Dysgnathic Adult Patients in the Field of Severity of Primary Dysfunction. Applied Sciences. 2021; 11(24):12084. https://doi.org/10.3390/app112412084

Chicago/Turabian Style

Lichnowska, Anna, and Marcin Kozakiewicz. 2021. "Speech Disorders in Dysgnathic Adult Patients in the Field of Severity of Primary Dysfunction" Applied Sciences 11, no. 24: 12084. https://doi.org/10.3390/app112412084

APA Style

Lichnowska, A., & Kozakiewicz, M. (2021). Speech Disorders in Dysgnathic Adult Patients in the Field of Severity of Primary Dysfunction. Applied Sciences, 11(24), 12084. https://doi.org/10.3390/app112412084

Note that from the first issue of 2016, this journal uses article numbers instead of page numbers. See further details here.

Article Metrics

Back to TopTop