Compressive Behavior of Oil Shale with Calcareous Concretion: Parametric Study
Abstract
:1. Introduction
2. Laboratory Test
3. Numerical Simulation of Oil Shale with Concretions
3.1. Numerical Set-Up of Oil Shale with Concretions
3.2. Tested Specimens
3.3. Selection of Bond Model
3.4. Determination of Micromechanical Parameters
4. Results and Discussions
4.1. Effect of the Size of Concretion
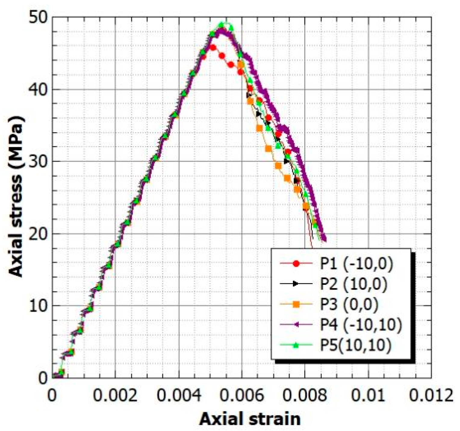
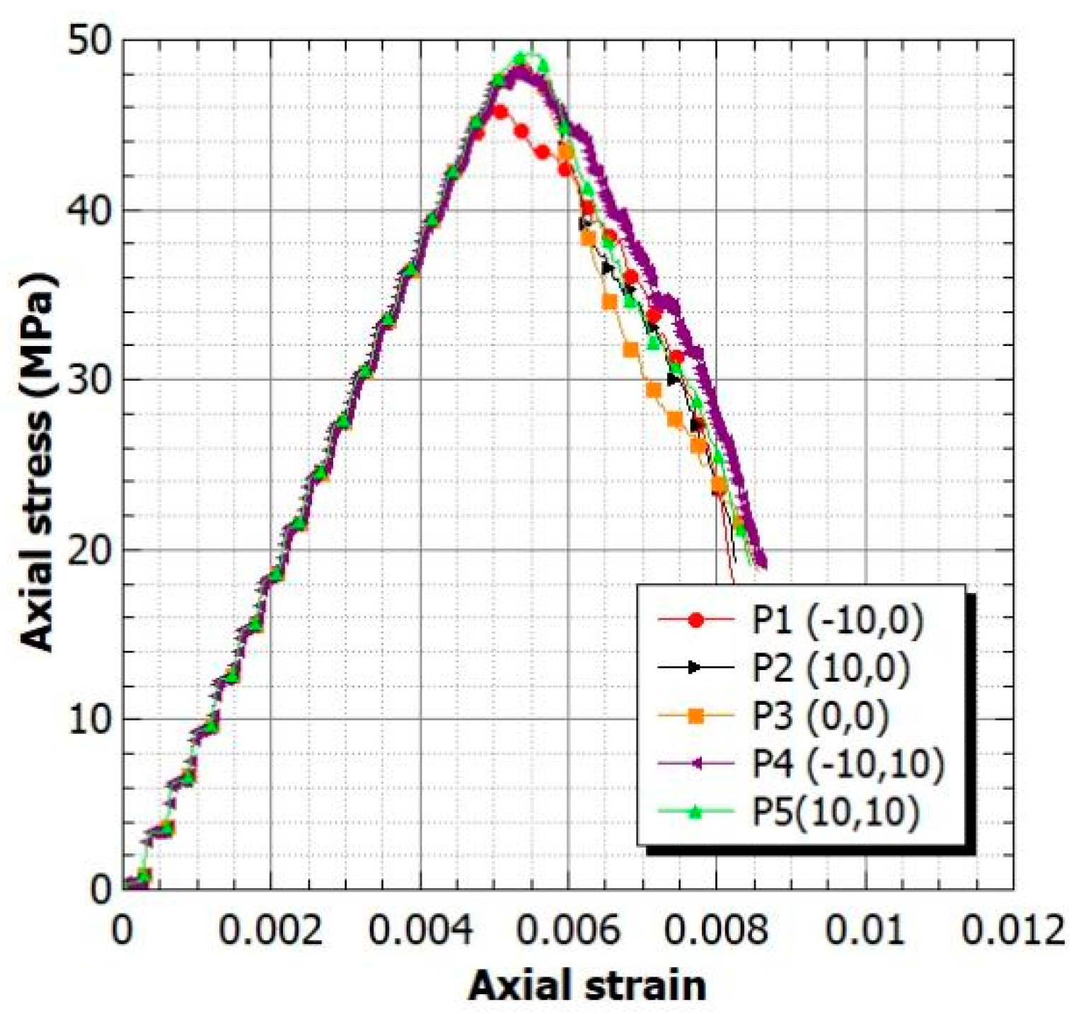
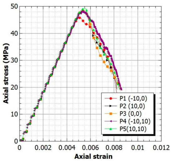
4.2. Effect of the Position of Concretion
4.3. Effect of the Concretion Strength
4.4. Effect of the Number of Concretions
5. Conclusions
- (1)
- For the specimens with a hard concretion, the typical failure mode is with the shear cracks, which were featured with the separation of the rock mass and concretion along the interface;
- (2)
- The failure mode and the compressive strength of these specimens with a hard concretion will not be significantly affected by the concretion size. However, the post peak behavior of specimens will be somewhat related to the concretion size;
- (3)
- The axial strain and axial stress curves of specimens are not sensitive to the distribution of the concretion, although the failure mode will be a little different;
- (4)
- When the number of the concretion increases from one to two, both the failure mode and compressive behavior of the specimens were significantly affected.
Author Contributions
Funding
Institutional Review Board Statement
Informed Consent Statement
Data Availability Statement
Acknowledgments
Conflicts of Interest
References
- Soone, J.; Doilov, S. Sustainable utilization of oil shale resources and comparison of contemporary technologies used for oil shale processing. Oil Shale 2003, 20, 311–323. [Google Scholar]
- Dyni, J.R. Geology and Resources of Some World Oil-Shale Deposits, Scientific Investigations Report 2005–5294; U.S. Geological Survey: Reston, VA, USA, 2006; p. 42.
- Torres, M.; Portugau, P.; Castiglioni, J.; Cuña, A.; Yermán, L. Co-combustion behaviours of a low calorific Uruguayan Oil Shale with biomass wastes. Fuel 2020, 266, 117118. [Google Scholar] [CrossRef]
- Jia, B.; Chen, Z.; Xian, C. Investigations of CO2 storage capacity and flow behavior in shale formation. J. Pet. Sci. Eng. 2021, 208, 109659. [Google Scholar] [CrossRef]
- Allix, P.; Burnham, A.; Fowler, T.; Herron, M.; Kleinberg, R.; Symington, B. Coaxing oil from shale. Oilfield Rev. 2010, 22, 4–15. [Google Scholar]
- Thorne, H.M.; Stanfield, K.E.; Dinneen, G.; Murphy, W. Oil-Shale Technology: A Review; US Department of the Interior, Bureau of Mines: Washington, WA, USA, 1964.
- Han, X.; Kulaots, I.; Jiang, X.; Suuberg, E.M. Review of oil shale semicoke and its combustion utilization. Fuel 2014, 126, 143–161. [Google Scholar] [CrossRef]
- Qian, J.; Wang, J.; Li, S. Oil shale development in China. Oil Shale 2003, 20, 356–359. [Google Scholar]
- Cao, Y.; Shen, W.; Burlion, N.; Shao, J.-F. Effects of inclusions and pores on plastic and visco plastic deformation of rock-like materials. Int. J. Plast. 2018, 108, 107–124. [Google Scholar] [CrossRef]
- Zhao, H.-C.; Zhang, X.-L.; Han, G.; Chen, H. Experimental investigation on the physical and mechanical properties deterioration of oil shale subjected to freeze-thaw cycles. Arab. J. Geosci. 2019, 12, 531. [Google Scholar] [CrossRef]
- Oh, S.; Lu, N. Slope stability analysis under unsaturated conditions: Case studies of rainfall-induced failure of cut slopes. Eng. Geol. 2015, 184, 96–103. [Google Scholar] [CrossRef]
- Wang, X.; Zhang, P.; Li, J.; Wang, N. Study on steep slope stability of coal mine under open-pit and underground mining. In Proceedings of the 2011 International Conference on Materials for Renewable Energy & Environment, Shanghai, China, 20–22 May 2011. [Google Scholar]
- Cho, Y.-C.; Song, Y.-S. Deformation measurements and a stability analysis of the slope at a coal mine waste dump. Ecol. Eng. 2014, 68, 189–199. [Google Scholar] [CrossRef]
- Vinoth, S.; Kumar, L.A. Applying real time seismic monitoring technology for slope stability assessment—An Indian opencast coal mine perspective. Int. J. Min. Sci. Technol. 2014, 24, 75–80. [Google Scholar] [CrossRef]
- Valgma, I.; Reinsalu, E.; Sabanov, S.; Karu, V. Quality control of oil shale production in Estonian mines. Oil Shale 2010, 27, 239. [Google Scholar] [CrossRef] [Green Version]
- Wolela, A. Sedimentation, organic maturity, and petroleum potential of the Oligocene–Miocene oil shale deposits, Yayu Basin, southwestern Ethiopia. AAPG Bull. 2010, 94, 643–663. [Google Scholar] [CrossRef]
- Lash, G.G.; Blood, D.R. The Upper Devonian Rhinestreet Black Shale of Western New York State—Evolution of a Hydrocarbon System. In New York State Geological Association, 78th Annual Meeting Guidebook; University at Buffalo: Buffalo, NY, USA, 2006. [Google Scholar]
- Wu, Z.; Wong, L.N.Y. Modeling cracking behavior of rock mass containing inclusions using the enriched numerical manifold method. Eng. Geol. 2013, 162, 1–13. [Google Scholar] [CrossRef] [Green Version]
- Li, M.; Liang, L.; Fan, Y. Characteristics of Hydraulic Fracture in Heterogeneous Rock with Distributed Hard Inclusions. In Proceedings of GeoShanghai 2018 International Conference; Springer: Singapore, 2018. [Google Scholar]
- Zhu, Q.; Li, D.; Han, Z.; Li, X.; Zhou, Z. Mechanical properties and fracture evolution of sandstone specimens containing different inclusions under uniaxial compression. Int. J. Rock Mech. Min. Sci. 2019, 115, 33–47. [Google Scholar] [CrossRef]
- Li, M.; Guo, P.; Stolle, D.; Liang, L. Modeling method for a rock matrix with inclusions distributed and hydraulic fracturing characteristics. J. Pet. Sci. Eng. 2017, 157, 409–421. [Google Scholar] [CrossRef]
- Tan, L.; Ren, T.; Dou, L.; Yang, X.; Qiao, M.; Peng, H. Analytical stress solution and mechanical properties for rock mass containing a hole with complex shape. Theor. Appl. Fract. Mech. 2021, 114, 103002. [Google Scholar] [CrossRef]
- Zhang, L.; Ren, T.; Li, X.; Tan, L. Acoustic emission, damage and cracking evolution of intact coal under compressive loads: Experimental and discrete element modelling. Eng. Fract. Mech. 2021, 252, 107690. [Google Scholar] [CrossRef]
- Shan, P.; Lai, X. Mesoscopic structure PFC∼ 2D model of soil rock mixture based on digital image. J. Vis. Commun. Image Represent. 2019, 58, 407–415. [Google Scholar] [CrossRef]
- Huang, D.; Cen, D.F.; Huang, R.Q. Influence of medium strain rate on sandstone with a single pre-crack under uniaxial compression using PFC simulation. Rock Soil Mech. 2013, 34, 535–545. [Google Scholar]
- ISRM. Suggested Methods for Determining Uniaxial Compressive Strength and Deformability of Rock Materials, ISRM Committee on Standardization of Laboratory Tests. Int. J. Rock Mech. Min. Sci. 1979, 16, 137–140. [Google Scholar] [CrossRef]
- Itasca, C. PFC–Particle Flow Code, Ver. 5.0; Itasca Consulting Group Minneapolis: Minneapolis, MN, USA, 2017. [Google Scholar]
- Zhou, Z.; Tan, L.; Cai, X. Water Infusion on the Stability of Coal Specimen under Different Static Stress Conditions. Appl. Sci. 2020, 10, 2043. [Google Scholar] [CrossRef] [Green Version]
- Tan, L.; Ren, T.; Dou, L.; Yang, X.; Cai, X.; Qiao, M. Analytical stress solution for rock mass containing two holes based on an improved Schwarz alternating method. Theor. Appl. Fract. Mech. 2021, 116, 103092. [Google Scholar] [CrossRef]
- Haeri, H.; Sarfarazi, V. Numerical simulation of tensile failure of concrete using particle flow code (PFC). Comput. Concr. 2016, 18, 53–68. [Google Scholar] [CrossRef]
- Wang, P.; Yang, T.; Yu, Q.; Liu, H.; Zhang, P. Characterization on jointed rock masses based on PFC2D. Front. Struct. Civ. Eng. 2013, 7, 32–38. [Google Scholar] [CrossRef]
- Tan, L.; Ren, T.; Dou, L.; Cai, X.; Yang, X.; Zhou, Q. Dynamic response and fracture evolution of marble specimens containing rectangular cavities subjected to dynamic loading. Bull. Eng. Geol. Environ. 2021, 80, 7701–7716. [Google Scholar] [CrossRef]
- Hadjigeorgiou, J.; Esmaieli, K.; Grenon, M. Stability analysis of vertical excavations in hard rock by integrating a fracture system into a PFC model. Tunn. Undergr. Space Technol. 2009, 24, 296–308. [Google Scholar] [CrossRef]
- Potyondy, D.O. Parallel-bond refinements to match macroproperties of hard rock. Contin. Distinct Elem. Numer. Modeling Geomech. 2011. [Google Scholar]














| Properties | Rock Mass | Concretion | Concretion * |
|---|---|---|---|
| Effective modulus, emod (GPa) | 3.8 | 3.8 | 3.8 × γ |
| Bond effective modulus, pb_emod (GPa) | 3.8 | 3.8 | 3.8 × γ |
| Tensile strength, pb_ten (MPa) | 1.0 | 5.0 | 1.0 × γ |
| Cohesion strength, pb_coh (MPa) | 1.5 | 7.5 | 1.5 × γ |
| Reference gap | 0.75e−4 | 0.75e−4 | 0.75e−4 |
| Friction angle (°) | 35 | 35 | 35 |
| Friction coefficient | 0.577 | 0.577 | 0.577 |
Publisher’s Note: MDPI stays neutral with regard to jurisdictional claims in published maps and institutional affiliations. |
© 2021 by the authors. Licensee MDPI, Basel, Switzerland. This article is an open access article distributed under the terms and conditions of the Creative Commons Attribution (CC BY) license (https://creativecommons.org/licenses/by/4.0/).
Share and Cite
Lyu, J.; Shu, J.; Han, L.; Tovele, G.S.V.; Chen, T. Compressive Behavior of Oil Shale with Calcareous Concretion: Parametric Study. Appl. Sci. 2021, 11, 11244. https://doi.org/10.3390/app112311244
Lyu J, Shu J, Han L, Tovele GSV, Chen T. Compressive Behavior of Oil Shale with Calcareous Concretion: Parametric Study. Applied Sciences. 2021; 11(23):11244. https://doi.org/10.3390/app112311244
Chicago/Turabian StyleLyu, Jinxing, Jisen Shu, Liu Han, Gerson S. V. Tovele, and Tao Chen. 2021. "Compressive Behavior of Oil Shale with Calcareous Concretion: Parametric Study" Applied Sciences 11, no. 23: 11244. https://doi.org/10.3390/app112311244
APA StyleLyu, J., Shu, J., Han, L., Tovele, G. S. V., & Chen, T. (2021). Compressive Behavior of Oil Shale with Calcareous Concretion: Parametric Study. Applied Sciences, 11(23), 11244. https://doi.org/10.3390/app112311244
