Experimental Study of Interference Effects of a High-Rise Building on the Snow Load on a Low-Rise Building with a Flat Roof
Abstract
:1. Introduction
2. Materials and Methods
2.1. Similarity Criteria
2.1.1. Modeling of the Wind Field
2.1.2. Modeling of the Ejection Process
2.1.3. Modeling of the Particle Trajectory
2.1.4. Similar Deposit Pattern
2.1.5. Time Similarity
2.2. Regime of the Wind Tunnel Test
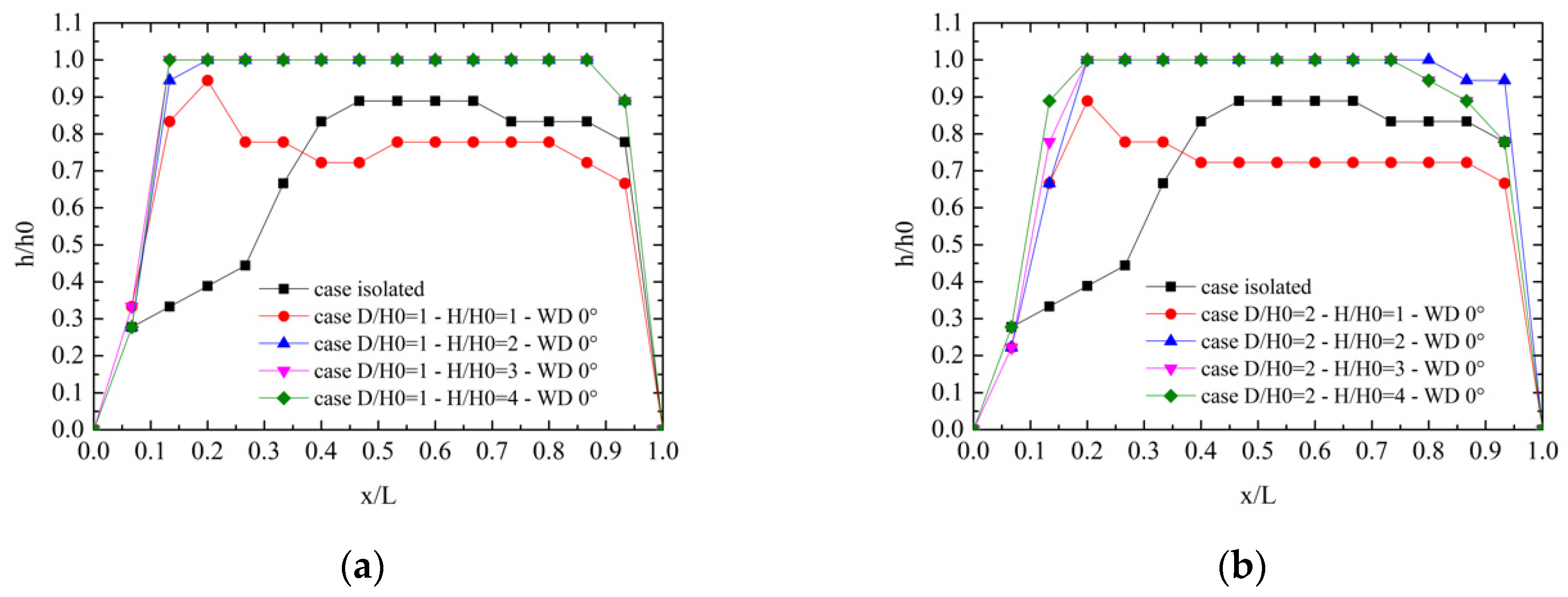
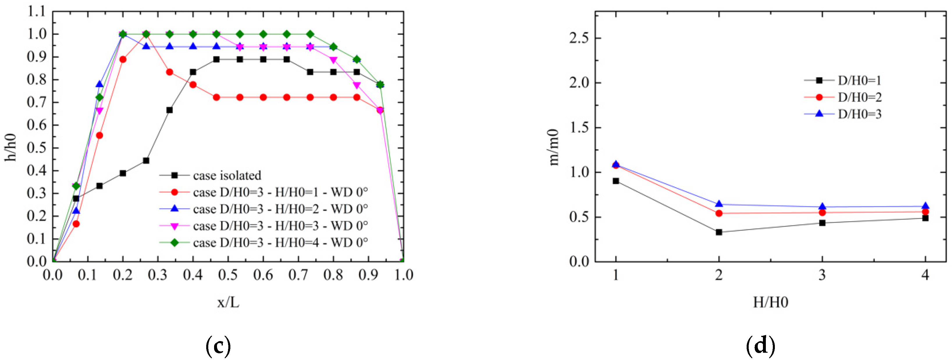
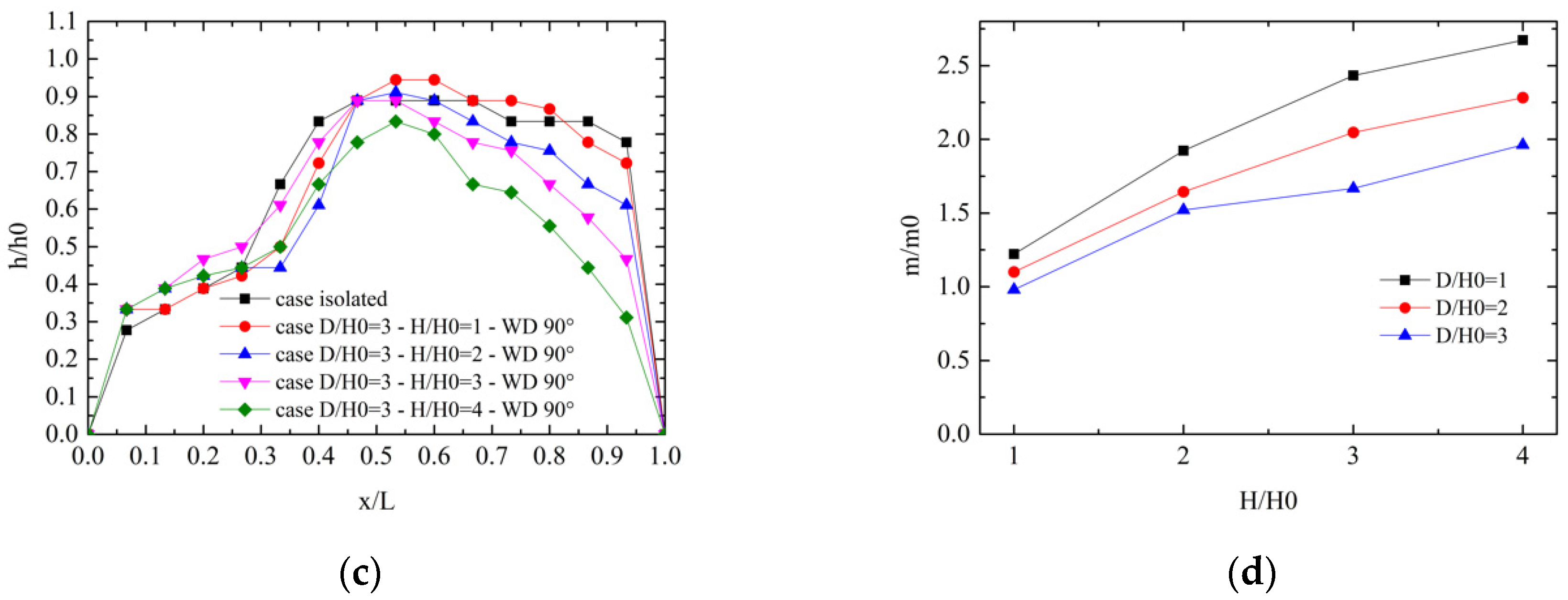
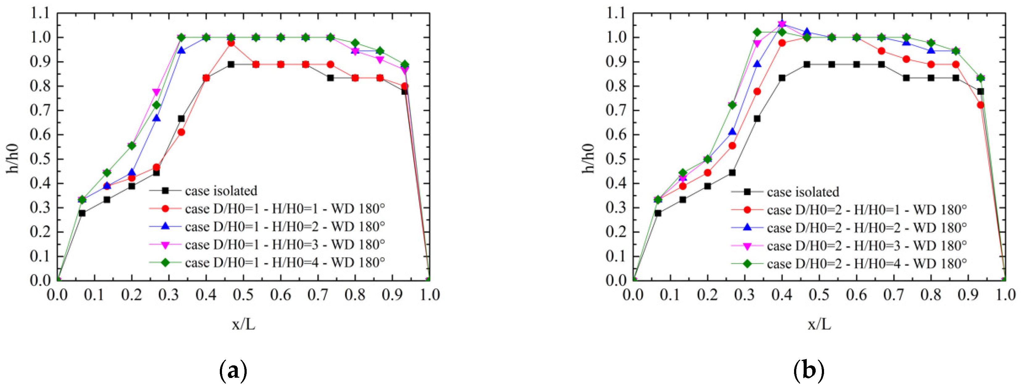
3. Results and Discussion
4. Conclusions
- When the wind direction is 0° and the interfering building is positioned upstream of the target building, due to the shelter effect of the interfering building, the wind velocity is much weakened compared with the isolated condition. As a result, the snow distribution tends to be more uniform.
- When the wind direction is 90° and the interfering building is on the side of the target building, a more eroded area appears on the target building roof due to the increasing friction velocity on the target building, and the snow distribution on the target building tends to be more uneven.
- When the wind direction is 180° and the interfering building is positioned downstream of the target building, the target building is located at the back flow area caused by the interfering building, and there are amplification effects of snow accumulation on the target building. The forms of the snow distribution on the target building are nearly the same as that of the isolated condition.
- Under each wind direction, the interference effect of the snow load increases with the increase of the building height and the decrease of the building spacing.
Author Contributions
Funding
Acknowledgments
Conflicts of Interest
References
- Iversen, J.D. Comparison of wind-tunnel model and full-scale snow fence drifts. J. Wind Eng. Ind. Aerodyn. 1981, 8, 231–249. [Google Scholar] [CrossRef]
- Anno, Y. Requirements for modeling of a snowdrift. Cold Reg. Sci. Technol. 1984, 8, 241–252. [Google Scholar] [CrossRef]
- Delpech, P.; Palier, P.; Gandemer, J. Snowdrifting Simulation around Antarctic Buildings. J. Wind Eng. Ind. Aerodyn. 1998, 74–76, 567–576. [Google Scholar] [CrossRef]
- Beyers, J.H.M.; Harms, T.M. Outdoors modelling of snowdrift at SANAE IV Research Station, Antarctica. J. Wind Eng. Ind. Aerodyn. 2003, 91, 551–569. [Google Scholar] [CrossRef]
- Okaze, T.; Mochida, A.; Tominaga, Y. Wind tunnel investigation of drifting snow development in a boundary layer. J. Wind Eng. Ind. Aerodyn. 2012, 104–106, 532–539. [Google Scholar] [CrossRef]
- Tominaga, Y.; Okaze, T.; Mochida, A. PIV measurements of saltating snow particle velocity in a boundary layer developed in a wind tunnel. J. Vis. 2013, 16, 95–98. [Google Scholar] [CrossRef]
- Isyumov, N.; Mikitiuk, M. Wind tunnel model tests of snow drifting on a two-level flat roof. J. Wind Eng. Ind. Aerodyn. 1990, 36, 893–904. [Google Scholar] [CrossRef]
- Tsuchiya, M.; Tomabechi, T.; Hongo, T. Wind effects on snowdrift on stepped flat roofs. J. Wind Eng. Ind. Aerodyn. 2002, 90, 1881–1892. [Google Scholar] [CrossRef]
- Scott, L.; Gamble, S.; Will, W. Finite Area Element Snow Loading Prediction—Applications and Advancements. J. Wind Eng. Ind. Aerodyn. 1996, 42, 1537–1548. [Google Scholar]
- O’Rourke, M.; DeGaetanob, A.; Tokarczyk, J.D. Snow drifting transport rates from water flume simulation. J. Wind Eng. Ind. Aerodyn. 2004, 92, 1245–1264. [Google Scholar] [CrossRef]
- Zhou, X.; Hu, J.; Gu, M. Wind tunnel test of snow loads on a stepped flat roof using different granular material. Nat. Hazards 2014, 74, 1629–1648. [Google Scholar] [CrossRef]
- Zhou, X.; Kang, L.; Gu, M. Numerical simulation and wind tunnel test for redistribution of snow on a flat roof. J. Wind Eng. Ind. Aerodyn. 2016, 153, 92–105. [Google Scholar] [CrossRef]
- Flaga, A.; Flaga, Ł. Wind tunnel tests and analysis of snow load distribution on three different large size stadium roofs. Cold Reg. Sci. Technol. 2019, 160, 163–175. [Google Scholar] [CrossRef]
- Beyers, M.; Waechter, B. Modeling transient snowdrift development around complex three-dimensional structures. J. Wind Eng. Ind. Aerodyn. 2008, 96, 1603–1615. [Google Scholar] [CrossRef]
- Thiis, T.; Ferreira, A.D. Sheltering effect and snow deposition in arrays of vertical pillars. Environ. Fluid Mech. 2015, 15, 27–39. [Google Scholar] [CrossRef]
- Okaze, T.; Kato, S.; Tominaga, Y. CFD prediction of snowdrift in a building array. In Proceedings of the 8th International Conference on Snow Engineering, Nantes, France, 14–17 June 2016; pp. 26–29. [Google Scholar]
- Tsutsumi, T.; Chiba, T.; Tomabechi, T. Snowdrifts on and around buildings based on field measurement. In Proceedings of the 7th International Conference on Snow Engineering, Fukui, Japan, 6–8 June 2012; pp. 9–17. [Google Scholar]
- ISO 4355. Bases for Design of Structures Determination of Snow Loads on Roofs, 3rd ed.; ISO: Geneva, Switzerland, 2013; pp. 4–5. [Google Scholar]
- Case, P.C.; Isyumov, N. Wind loads on low buildings with 4:12 gable roofs in open country and suburban exposures. J. Wind Eng. Ind. Aerodyn. 1998, 77–78, 107–118. [Google Scholar] [CrossRef]
- Chang, C.H.; Meroney, R.N. The effect of surroundings with different separation distances on surface pressures on low-rise buildings. J. Wind Eng. Ind. Aerodyn. 2003, 91, 1039–1050. [Google Scholar] [CrossRef] [Green Version]
- Kim, Y.C.; Yoshida, A.; Tamura, Y. Characteristics of surface wind pressures on low-rise building located among large group of surrounding buildings. Eng. Struct. 2012, 35, 18–28. [Google Scholar] [CrossRef]
- Pindado, S.; Meseguer, J.; Franchini, S. Influence of an upstream building on the wind-induced mean suction on the flat roof of a low-rise building. J. Wind Eng. Ind. Aerodyn. 2011, 99, 889–893. [Google Scholar] [CrossRef] [Green Version]
- Chen, B.; Shang, L.; Qin, M. Wind interference effects of high-rise building on low-rise building with flat roof. J. Wind Eng. Ind. Aerodyn. 2018, 183, 88–113. [Google Scholar] [CrossRef]
- Kind, R.J. A critical examination of the requirements for model simulation of wind-induced erosion/deposition phenomena such as snow drifting. Atmos. Environ. 1976, 10, 219–227. [Google Scholar] [CrossRef]
- Kind, R.J. Snowdrifting: A review of modeling methods. Cold Reg. Sci. Technol. 1986, 12, 217–228. [Google Scholar] [CrossRef]










| Parameters | Snow Particles | Fine Silica |
|---|---|---|
| Density ρs (kg/m3) | 250 | 2650 |
| Diameter ds (mm) | 0.15 | 0.2 |
| Settling velocity Wf (m/s) | 0.2~1.0 m/s | 0.6 |
| Threshold friction velocity u*t (m/s) | 0.2 | 0.26 |
| Angle of repose θ (°) | 50° | 34° |
| Description | Prototype | Wind Tunnel Test |
|---|---|---|
| Eave height of the target building (m) | 4 | 0.08 |
| Wind velocity at eave height (m/s) | 5.4 | 7 |
| Initial snow depth (cm) | 45 | 0.9 |
| Time duration (min) | 29.1 | 5 |
| Similarity Parameters | Prototype | Wind Tunnel Test |
|---|---|---|
| 61.8 | ||
| 0.134 | 0.015 | |
| 27 | 27 | |
| 2272.7 | ||
| 0.8 | 62.5 | |
| 0.037~0.185 | 0.086 | |
| 2.3 | 2.3 |
Publisher’s Note: MDPI stays neutral with regard to jurisdictional claims in published maps and institutional affiliations. |
© 2021 by the authors. Licensee MDPI, Basel, Switzerland. This article is an open access article distributed under the terms and conditions of the Creative Commons Attribution (CC BY) license (https://creativecommons.org/licenses/by/4.0/).
Share and Cite
Zhang, Q.; Zhang, Y.; Yin, Z.; Zhang, G.; Mo, H.; Fan, F. Experimental Study of Interference Effects of a High-Rise Building on the Snow Load on a Low-Rise Building with a Flat Roof. Appl. Sci. 2021, 11, 11163. https://doi.org/10.3390/app112311163
Zhang Q, Zhang Y, Yin Z, Zhang G, Mo H, Fan F. Experimental Study of Interference Effects of a High-Rise Building on the Snow Load on a Low-Rise Building with a Flat Roof. Applied Sciences. 2021; 11(23):11163. https://doi.org/10.3390/app112311163
Chicago/Turabian StyleZhang, Qingwen, Yu Zhang, Ziang Yin, Guolong Zhang, Huamei Mo, and Feng Fan. 2021. "Experimental Study of Interference Effects of a High-Rise Building on the Snow Load on a Low-Rise Building with a Flat Roof" Applied Sciences 11, no. 23: 11163. https://doi.org/10.3390/app112311163
APA StyleZhang, Q., Zhang, Y., Yin, Z., Zhang, G., Mo, H., & Fan, F. (2021). Experimental Study of Interference Effects of a High-Rise Building on the Snow Load on a Low-Rise Building with a Flat Roof. Applied Sciences, 11(23), 11163. https://doi.org/10.3390/app112311163
