An Improved Similarity Trajectory Method Based on Monitoring Data under Multiple Operating Conditions
Abstract
:1. Introduction
2. Background of MP-SAX
3. The Background and Proposed Method
3.1. The Description of Background
3.2. The Proposed Method
4. The Description of Dataset and Problem in Life Prediction under Multiple Operating Conditions
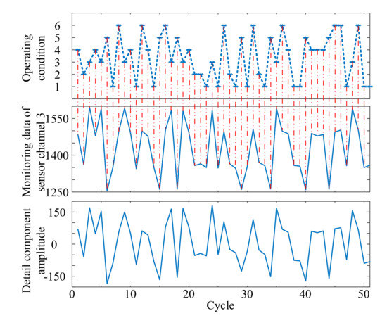
4.1. The Description and Analysis of the Dataset
4.2. Evaluation Indicators of Prediction Results
4.3. The Description of Problems in Life Prediction under Multiple Operating Conditions
5. Results and Discussions
6. Conclusions
Author Contributions
Funding
Institutional Review Board Statement
Informed Consent Statement
Data Availability Statement
Conflicts of Interest
Appendix A
| Acronyms | Meaning | Acronyms | Meaning |
|---|---|---|---|
| AI | Artificial intelligence | MP-SAX | Morphological pattern and symbolic aggregate approximation-based similarity measurement method |
| CBM | Condition based maintenance | MP-SAX-STM | Similarity trajectory method based on morphological pattern and symbolic aggregate approximation |
| CBR | Case-based reasoning | OP | Operating parameters |
| CMAPSS | Commercial modular aero-propulsion system simulation | RMSE | Root mean square error |
| DE | Detail component | RUL | Remaining useful life |
| EMD | Empirical mode decomposition | S | Sensor |
| IMF | Intrinsic mode function | SAX | Symbolic aggregate approximation |
| LCS | Longest common subsequence | SC | Symbolic aggregate approximation symbol sequences |
| MAE | Mean absolute error | SDE | Similarity of detail component |
| MAPE | Mean absolute percentage error | STM | Similarity trajectory method |
| MASE | Mean absolute scaled error | STR | Similarity of trend component |
| MC | Morphological pattern symbol sequences | TR | Trend component |
| MP | Morphological pattern | - | - |
References
- Lei, Y.; Li, N.; Guo, L.; Li, N.; Yan, T.; Lin, J. Machinery health prognostics: A systematic review from data acquisition to RUL prediction. Mech. Syst. Signal Process. 2018, 104, 799–834. [Google Scholar] [CrossRef]
- Jardine, A.K.; Lin, D.; Banjevic, D. A review on machinery diagnostics and prognostics implementing condition-based maintenance. Mech. Syst. Signal Process. 2006, 20, 1483–1510. [Google Scholar] [CrossRef]
- Rezamand, M.; Kordestani, M.; Carriveau, R.; Ting, D.S.-K.; Orchard, M.E.; Saif, M. Critical Wind Turbine Components Prognostics: A Comprehensive Review. IEEE Trans. Instrum. Meas. 2020, 69, 9306–9328. [Google Scholar] [CrossRef]
- Bhargava, C.; Sharma, P.K.; Senthilkumar, M.; Padmanaban, S.; Ramachandaramurthy, V.K.; Leonowicz, Z.; Blaabjerg, F.; Mitolo, M. Review of Health Prognostics and Condition Monitoring of Electronic Components. IEEE Access 2020, 8, 75163–75183. [Google Scholar] [CrossRef]
- Nath, A.G.; Udmale, S.S.; Singh, S.K. Role of artificial intelligence in rotor fault diagnosis: A comprehensive review. Artif. Intell. Rev. 2020, 54, 2609–2668. [Google Scholar] [CrossRef]
- Lin, S.-L. Intelligent Fault Diagnosis and Forecast of Time-Varying Bearing Based on Deep Learning VMD-DenseNet. Sensors 2021, 21, 7467. [Google Scholar] [CrossRef]
- Tsai, C.-M.; Wang, C.-S.; Chung, Y.-J.; Sun, Y.-D.; Perng, J.-W. Multi-Sensor Fault Diagnosis of Underwater Thruster Propeller Based on Deep Learning. Sensors 2021, 21, 7187. [Google Scholar] [CrossRef]
- Cui, L.; Tian, X.; Shi, X.; Wang, X.; Cui, Y. A Semi-Supervised Fault Diagnosis Method Based on Improved Bidirectional Generative Adversarial Network. Appl. Sci. 2021, 11, 9401. [Google Scholar] [CrossRef]
- She, D.; Jia, M. A BiGRU method for remaining useful life prediction of machinery. Measurement 2021, 167, 108277. [Google Scholar] [CrossRef]
- Wang, B.; Lei, Y.; Yan, T.; Li, N.; Guo, L. Recurrent convolutional neural network: A new framework for remaining useful life prediction of machinery. Neurocomputing 2020, 379, 117–129. [Google Scholar] [CrossRef]
- Chen, Y.; Li, F.; Wang, J.; Tang, B.; Zhou, X. Quantum recurrent encoder–decoder neural network for performance trend prediction of rotating machinery. Knowl. Based Syst. 2020, 197, 105863. [Google Scholar] [CrossRef]
- Barraza, J.F.; Droguett, E.L.; Martins, M.R. Towards Interpretable Deep Learning: A Feature Selection Framework for Prognostics and Health Management Using Deep Neural Networks. Sensors 2021, 21, 5888. [Google Scholar] [CrossRef] [PubMed]
- Muneer, A.; Taib, S.M.; Naseer, S.; Ali, R.F.; Aziz, I.A. Data-Driven Deep Learning-Based Attention Mechanism for Remaining Useful Life Prediction: Case Study Application to Turbofan Engine Analysis. Electronics 2021, 10, 2453. [Google Scholar] [CrossRef]
- Muneer, A.; Taib, S.M.; Fati, S.M.; Alhussian, H. Deep-Learning Based Prognosis Approach for Remaining Useful Life Prediction of Turbofan Engine. Symmetry 2021, 13, 1861. [Google Scholar] [CrossRef]
- Aamodt, A.; Plaza, E. Case-Based Reasoning: Foundational Issues, Methodological Variations, and System Approaches. AI Commun. 1994, 7, 39–59. [Google Scholar] [CrossRef]
- Wang, T.; Yu, J.; Siegel, D.; Lee, J. A similarity-based prognostics approach for Remaining Useful Life estimation of engineered systems. Proceedings of 2008 International Conference on Prognostics and Health Management, Denver, CO, USA, 6–9 October 2008; pp. 1–6. [Google Scholar] [CrossRef]
- You, M.-Y.; Meng, G. A generalized similarity measure for similarity-based residual life prediction. J. Process. Mech. Eng. 2011, 225, 151–160. [Google Scholar] [CrossRef]
- Zeming, L.; Jianmin, G.; Hongquan, J.; Xu, G.; Zhiyong, G.; Rongxi, W. A similarity-based method for remaining useful life prediction based on operational reliability. Appl. Intell. 2018, 48, 2983–2995. [Google Scholar] [CrossRef]
- Liang, Z.; Gao, J.; Jiang, H.; Gao, X.; Gao, Z.; Wang, R. A Degradation Degree Considered Method for Remaining Useful Life Prediction Based on Similarity. Comput. Sci. Eng. 2018, 21, 50–64. [Google Scholar] [CrossRef]
- Cannarile, F.; Baraldi, P.; Zio, E. An evidential similarity-based regression method for the prediction of equipment remaining useful life in presence of incomplete degradation trajectories. Fuzzy Sets Syst. 2019, 367, 36–50. [Google Scholar] [CrossRef] [Green Version]
- Yang, Y.; Guo, Y.; Huang, Z.; Chen, N.; Li, L.; Jiang, Y.; He, N. Research on the milling tool wear and life prediction by establishing an integrated predictive model. Measurement 2019, 145, 178–189. [Google Scholar] [CrossRef]
- Li, L.L.; Ma, D.J.; Li, Z.G. Residual Useful Life Estimation by a Data-Driven Similarity-Based Approach. Qual. Reliab. Eng. Int. 2017, 33, 231–239. [Google Scholar] [CrossRef]
- Lin, Y.; Yang, B.; Zhang, J.; Liu, H. Approach for 4-D Trajectory Management Based on HMM and Trajectory Similarity. J. Mar. Sci. Technol. 2019, 27, 246–256. [Google Scholar] [CrossRef]
- Comeau, D.; Giannakis, D.; Zhao, Z.; Majda, A.J. Predicting regional and pan-Arctic sea ice anomalies with kernel analog forecasting. Clim. Dyn. 2019, 52, 5507–5525. [Google Scholar] [CrossRef] [Green Version]
- Wang, T. Trajectory Similarity Based Prediction for Remaining Useful Life Estimation; ProQuest Dissertations Publishing: Cincinnati, OH, USA, 2010; pp. 41–70. [Google Scholar]
- Yin, J.; Wang, R.; Zheng, H.; Yang, Y.; Li, Y.; Xu, M. A New Time Series Similarity Measurement Method Based on the Morphological Pattern and Symbolic Aggregate Approximation. IEEE Access 2019, 7, 109751–109762. [Google Scholar] [CrossRef]
- Yu, D.; Cheng, J.; Yang, Y. Application of EMD method and Hilbert spectrum to the fault diagnosis of roller bearings. Mech. Syst. Signal Process. 2005, 19, 259–270. [Google Scholar] [CrossRef]
- Li, Y.; Xu, M.; Wei, Y.; Huang, W. An improvement EMD method based on the optimized rational Hermite interpolation approach and its application to gear fault diagnosis. Measurement 2015, 63, 330–345. [Google Scholar] [CrossRef]
- Li, Y.; Xu, M.; Wei, Y.; Huang, W. A new rolling bearing fault diagnosis method based on multiscale permutation entropy and improved support vector machine based binary tree. Measurement 2016, 77, 80–94. [Google Scholar] [CrossRef]
- He, X.; Shao, C.; Xiong, Y. A non-parametric symbolic approximate representation for long time series. Pattern Anal. Appl. 2016, 19, 111–127. [Google Scholar] [CrossRef]
- Sun, Y.; Li, J.; Liu, J.; Sun, B.; Chow, C. An improvement of symbolic aggregate approximation distance measure for time series. Neurocomputing 2014, 138, 189–198. [Google Scholar] [CrossRef]
- Hsu, W.J.; Du, M.W. Computing a longest common subsequence for a set of strings. BIT Numer. Math. 1984, 24, 45–59. [Google Scholar] [CrossRef]
- Batista, G.E.; Keogh, E.J.; Tataw, O.M.; De Souza, V.M. CID: An efficient complexity-invariant distance for time series. Data Min. Knowl. Discov. 2014, 28, 634–669. [Google Scholar] [CrossRef]
- Saxena, A.; Kai, G.; Simon, D.; Eklund, N. Damage propagation modeling for aircraft engine run-to-failure simulation. In Proceedings of the International Conference on Prognostics and Health Management, Denver, CO, USA, 6–9 October 2008; pp. 1–9. [Google Scholar] [CrossRef]
- Hyndman, R.; Koehler, A.B. Another look at measures of forecast accuracy. Int. J. Forecast. 2006, 22, 679–688. [Google Scholar] [CrossRef] [Green Version]











| Set | Operating Condition | Failure Mode |
|---|---|---|
| #1 | 1 | 1 |
| #2 | 6 | 1 |
| #3 | 1 | 2 |
| #4 | 6 | 2 |
| Cycle | OP 1 | OP 2 | OP 3 | S 1 | S 2 | … | S 21 |
|---|---|---|---|---|---|---|---|
| 1 | 42.0049 | 0.8400 | 100 | 445.00 | 549.68 | … | 6.3670 |
| 2 | 20.0020 | 0.7002 | 100 | 491.19 | 606.07 | … | 14.6550 |
| ⁝ | ⁝ | ⁝ | ⁝ | ⁝ | ⁝ | ⁝ | |
| 5 | 25.0063 | 0.6207 | 60 | 462.54 | 536.10 | … | 8.6754 |
| 6 | 34.9996 | 0.8400 | 100 | 449.44 | 554.77 | … | 8.9057 |
| 7 | 0.0019 | 10−4 | 100 | 518.67 | 641.83 | … | 23.4578 |
| ⁝ | ⁝ | ⁝ | ⁝ | ⁝ | ⁝ | ⁝ | |
| 17 | 9.9989 | 0.2506 | 100 | 489.05 | 603.80 | … | 17.1975 |
| ⁝ | ⁝ | ⁝ | ⁝ | ⁝ | ⁝ | ⁝ | |
| 321 | 42.0058 | 0.8400 | 100 | 445.00 | 549.71 | … | 6.4590 |
| Indicators | 1/2 | 2/3 | 3/4 | 4/5 |
|---|---|---|---|---|
| MAE | 23.71% | 24.48% | 22.28% | 21.74% |
| RMSE | 22.35% | 22.32% | 23.20% | 21.78% |
| MAPE | 25.21% | 25.13% | 22.50% | 22.63% |
| MASE | 23.71% | 24.48% | 22.28% | 21.74% |
| Indicators | 1/2 | 2/3 | 3/4 | 4/5 |
|---|---|---|---|---|
| MAE | 9.30% | 13.69% | 13.51% | 16.70% |
| RMSE | 8.65% | 11.38% | 11.49% | 12.36% |
| MAPE | 8.67% | 13.45% | 12.82% | 13.30% |
| MASE | 9.30% | 13.69% | 13.51% | 16.70% |
Publisher’s Note: MDPI stays neutral with regard to jurisdictional claims in published maps and institutional affiliations. |
© 2021 by the authors. Licensee MDPI, Basel, Switzerland. This article is an open access article distributed under the terms and conditions of the Creative Commons Attribution (CC BY) license (https://creativecommons.org/licenses/by/4.0/).
Share and Cite
Yin, J.; Li, Y.; Wang, R.; Xu, M. An Improved Similarity Trajectory Method Based on Monitoring Data under Multiple Operating Conditions. Appl. Sci. 2021, 11, 10968. https://doi.org/10.3390/app112210968
Yin J, Li Y, Wang R, Xu M. An Improved Similarity Trajectory Method Based on Monitoring Data under Multiple Operating Conditions. Applied Sciences. 2021; 11(22):10968. https://doi.org/10.3390/app112210968
Chicago/Turabian StyleYin, Jiancheng, Yuqing Li, Rixin Wang, and Minqiang Xu. 2021. "An Improved Similarity Trajectory Method Based on Monitoring Data under Multiple Operating Conditions" Applied Sciences 11, no. 22: 10968. https://doi.org/10.3390/app112210968
APA StyleYin, J., Li, Y., Wang, R., & Xu, M. (2021). An Improved Similarity Trajectory Method Based on Monitoring Data under Multiple Operating Conditions. Applied Sciences, 11(22), 10968. https://doi.org/10.3390/app112210968

