Analytical Modeling of the Maximum Power Point with Series Resistance
Abstract
:1. Introduction
2. Background
3. The Maximum Power Point
3.1. Maximum Power Point Voltage
3.2. Maximum Power Point Current and Power
3.3. Practical Note
4. Analytical Expression for the Series Resistance
4.1. Validity of the Approximate Expression
4.2. Accuracy of the Approximation
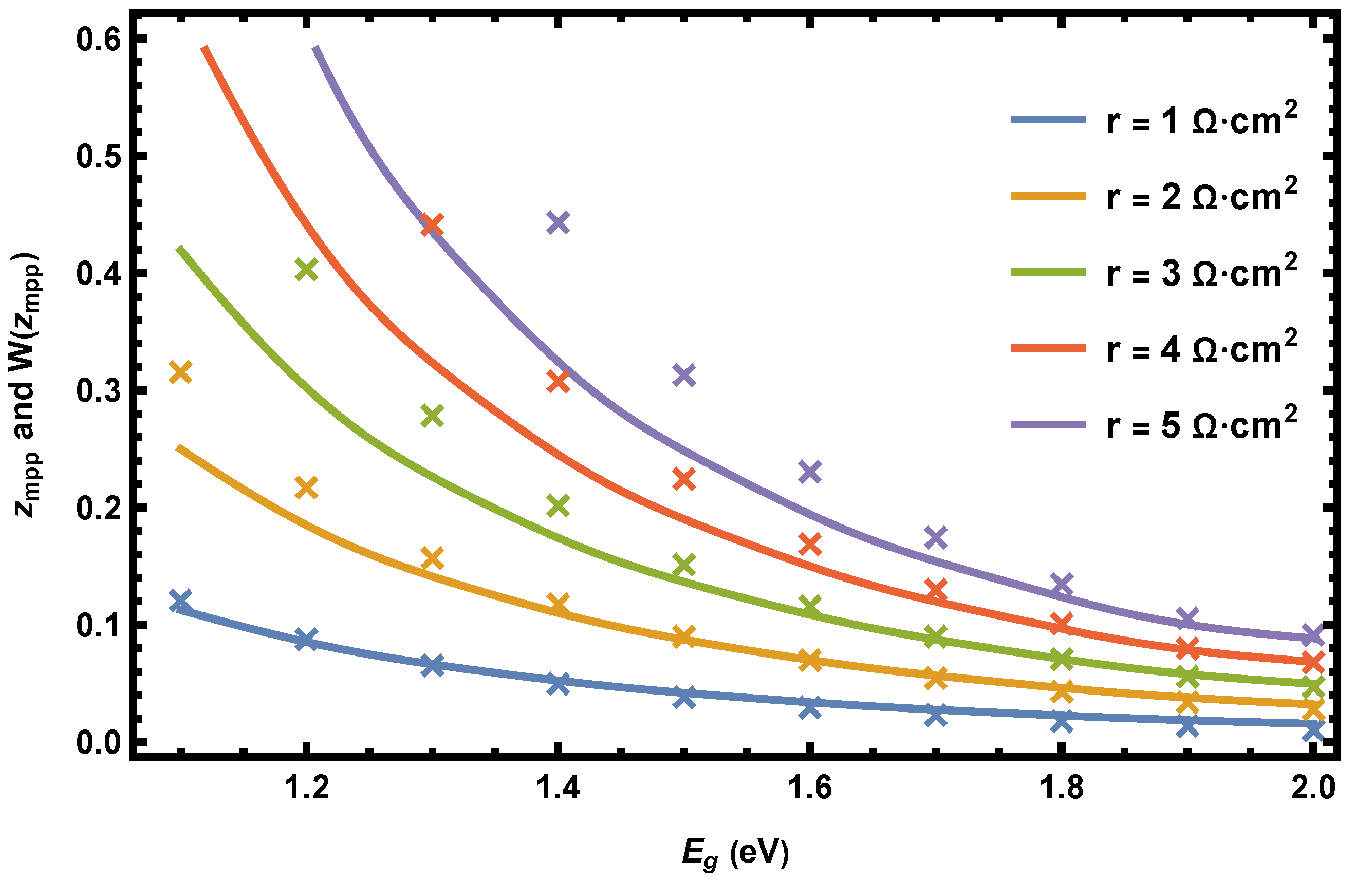
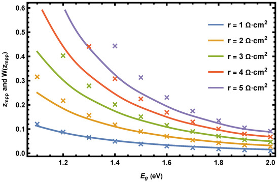
5. Numerical Results
6. Experimental Validation and Remarks
7. Conclusions
Author Contributions
Funding
Institutional Review Board Statement
Informed Consent Statement
Data Availability Statement
Conflicts of Interest
References
- Shockley, W.; Queisser, H.J. Detailed balance limit of efficiency of p-n junction solar cells. J. Appl. Phys. 1961, 32, 510–519. [Google Scholar] [CrossRef]
- Banwell, T.C.; Jayakumar, A. Exact analytical solution for current flow through diode with series resistance. Electron. Lett. 2000, 36, 291–292. [Google Scholar] [CrossRef]
- Jain, A.; Kapoor, A. Exact analytical solutions of the parameters of real solar cells using Lambert W-function. Sol. Energy Mater. Sol. Cells 2004, 81, 269–277. [Google Scholar] [CrossRef]
- Singal, C.M. Analytical expression for the series-resistance-dependent maximum power point and curve factor for solar cells. Sol. Cells 1981, 3, 163–177. [Google Scholar] [CrossRef]
- Green, M.A. Accurate expressions for solar cell fill factors including series and shunt resistances. Appl. Phys. Lett. 2016, 108, 081111. [Google Scholar] [CrossRef]
- Arjun, M.; Ramana, V.V.; Viswadev, R.; Venkatesaperumal, B. An iterative analytical solution for calculating maximum power point in photovoltaic systems under partial shading conditions. IEEE Trans. Circuits Syst. II Express Briefs 2018, 66, 973–977. [Google Scholar] [CrossRef]
- Laudani, A.; Lozito, G.M.; Lucaferri, V.; Radicioni, M.; Fulginei, F.R.; Salvini, A.; Coco, S. An analytical approach for maximum power point calculation for photovoltaic system. In Proceedings of the 2017 European Conference on Circuit Theory and Design (ECCTD), Catania, Italy, 4–6 September 2017; IEEE: New York, NY, USA, 2017; pp. 1–4. [Google Scholar]
- Xenophontos, A.; Bazzi, A.M. Model-based maximum power curves of solar photovoltaic panels under partial shading conditions. IEEE J. Photovoltaics 2017, 8, 233–238. [Google Scholar] [CrossRef]
- Ramadan, A.; Kamel, S.; Taha, I.; Tostado-Véliz, M. Parameter Estimation of Modified Double-Diode and Triple-Diode Photovoltaic Models Based on Wild Horse Optimizer. Electronics 2021, 10, 2308. [Google Scholar] [CrossRef]
- Garcia, A.S.; Kristensen, S.T.; Strandberg, R. Assessment of a New Analytical Expression for the Maximum-Power Point Voltage with Series Resistance. In Proceedings of the 2021 IEEE 48th Photovoltaic Specialists Conference (PVSC), Fort Lauderdale, FL, USA, 20–25 June 2021; IEEE: New York, NY, USA, 2021; pp. 0961–0965. [Google Scholar]
- Shockley, W. The Theory of p-n Junctions in Semiconductors and p-n Junction Transistors. Bell Syst. Tech. J. 1949, 28, 435–489. [Google Scholar] [CrossRef]
- Cuevas, A. The recombination parameter J0. Energy Procedia 2014, 55, 53–62. [Google Scholar] [CrossRef] [Green Version]
- Nelson, J. The Physics of Solar Cells; World Scientific Publishing Company: Singapore, 2003. [Google Scholar]
- Khanna, A.; Mueller, T.; Stangl, R.A.; Hoex, B.; Basu, P.K.; Aberle, A.G. A fill factor loss analysis method for silicon wafer solar cells. IEEE J. Photovoltaics 2013, 3, 1170–1177. [Google Scholar] [CrossRef]
- Sergeev, A.; Sablon, K. Exact solution, endoreversible thermodynamics, and kinetics of the generalized Shockley-Queisser model. Phys. Rev. Appl. 2018, 10, 064001. [Google Scholar] [CrossRef] [Green Version]
- Corless, R.M.; Gonnet, G.H.; Hare, D.E.G.; Jeffrey, D.J.; Knuth, D.E. On the Lambert W function. Adv. Comput. Math. 1996, 5, 329–359. [Google Scholar] [CrossRef]
- Green, M.A. Radiative efficiency of state-of-the-art photovoltaic cells. Prog. Photovoltaics Res. Appl. 2012, 20, 472–476. [Google Scholar] [CrossRef]
- Honsberg, C.B.; Bowden, S.G. Series Resistance. 2019. Available online: https://www.pveducation.org/pvcdrom/solar-cell-operation/series-resistance (accessed on 19 March 2021).
- Green, M.A.; Emery, K.; Hishikawa, Y.; Warta, W.; Dunlop, E.D.; Levi, D.H.; Ho-Baillie, A.W.Y. Solar cell efficiency tables (version 57). Prog. Photovoltaics Res. Appl. 2017, 25, 3–13. [Google Scholar] [CrossRef]





| Device | (V) 1 | 1 | ERE | |
|---|---|---|---|---|
| InP | 1.34 | 0.939 | 31.15 | 0.365 | 
| GaAs | 1.42 | 1.107 | 29.60 | 14.510 | 
| CdTe | 1.51 | 0.876 | 30.25 | |
| CIGS | 1.08 | 0.734 | 39.58 | 1.750 | 
| a-Si | 1.69 | 0.896 | 16.36 | 1.96 | 
| PSC 2 | 1.60 | 1.042 | 20.40 | 0.002 | 
| r | (V) | Error | (W) | Error | ||
|---|---|---|---|---|---|---|
| 0 | 0.559 | 0.559 | 5.414 | 5.414 | ||
| 0.5 | 0.539 | 0.540 | 0.153 | 5.213 | 5.213 | 0.003 | 
| 1.5 | 0.500 | 0.503 | 0.629 | 4.813 | 4.815 | 0.034 | 
| 2.0 | 0.480 | 0.485 | 1.032 | 4.615 | 4.618 | 0.066 | 
| 5.0 | 0.371 | 0.390 | 4.906 | 3.477 | 3.502 | 0.728 | 
| Publisher’s Note: MDPI stays neutral with regard to jurisdictional claims in published maps and institutional affiliations. | 
© 2021 by the authors. Licensee MDPI, Basel, Switzerland. This article is an open access article distributed under the terms and conditions of the Creative Commons Attribution (CC BY) license (https://creativecommons.org/licenses/by/4.0/).
Share and Cite
Garcia, A.S.; Strandberg, R. Analytical Modeling of the Maximum Power Point with Series Resistance. Appl. Sci. 2021, 11, 10952. https://doi.org/10.3390/app112210952
Garcia AS, Strandberg R. Analytical Modeling of the Maximum Power Point with Series Resistance. Applied Sciences. 2021; 11(22):10952. https://doi.org/10.3390/app112210952
Chicago/Turabian StyleGarcia, Alfredo Sanchez, and Rune Strandberg. 2021. "Analytical Modeling of the Maximum Power Point with Series Resistance" Applied Sciences 11, no. 22: 10952. https://doi.org/10.3390/app112210952
APA StyleGarcia, A. S., & Strandberg, R. (2021). Analytical Modeling of the Maximum Power Point with Series Resistance. Applied Sciences, 11(22), 10952. https://doi.org/10.3390/app112210952
 
         
                                                

 
       