Experimental Comparison of Direct and Active Throttle Control of a 7 kW Turboelectric Power System for Unmanned Aircraft
Abstract
:1. Introduction
1.1. Purpose
1.2. Background
1.3. DTC and ATC
2. Materials and Methods
3. Results
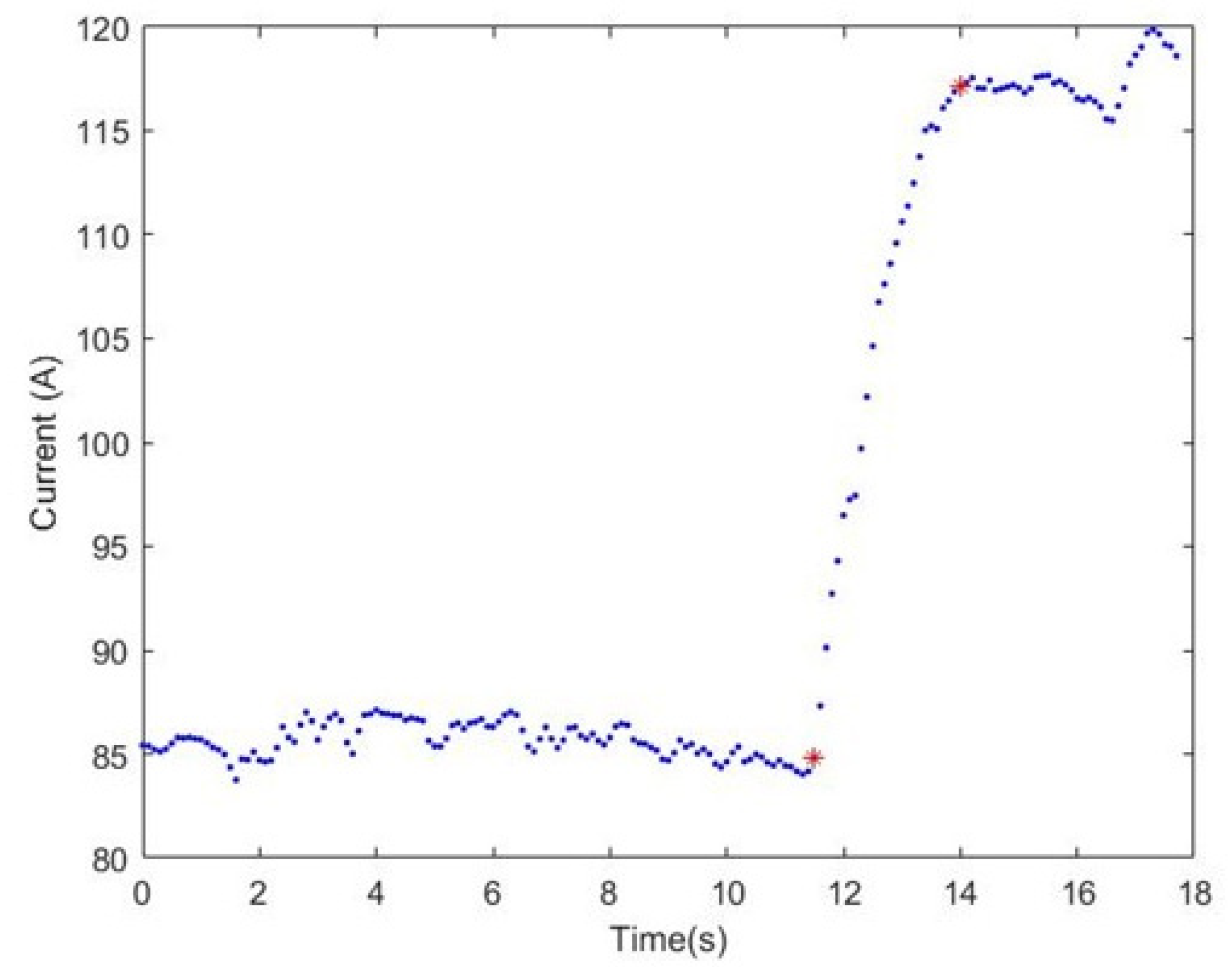
3.1. Identification of Transient Endpoints
3.2. Direct Turbine Control Data
3.3. Active Turbine Control Data
3.4. Comparing Active and Direct Turbine Control Data
4. Discussion
4.1. Interpretation of Results
4.2. Future Work
5. Conclusions
Author Contributions
Funding
Data Availability Statement
Acknowledgments
Conflicts of Interest
References
- Felder, J.; Kim, H.; Brown, G. Turboelectric Distributed Propulsion Engine Cycle Analysis for Hybrid-Wing-Body Aircraft. In Proceedings of the 47th AIAA Aerospace Sciences Meeting including the New Horizons Forum and Aerospace Exposition, Orlando, FL, USA, 5–8 January 2009; American Institute of Aeronautics and Astronautics: Reston, VA, USA, 2009. [Google Scholar]
- Armstrong, M.J.; Ross, C.A.H.; Blackwelder, M.J.; Rajashekara, K. Propulsion System Component Considerations for NASA N3-X Turboelectric Distributed Propulsion System. SAE Int. J. Aerosp. 2012, 5, 344–353. [Google Scholar] [CrossRef]
- Gesell, H.; Wolters, F.; Plohr, M. System Analysis of Turbo-Electric and Hybrid-Electric Propulsion Systems on a Regional Aircraft. Aeronaut. J. 2019, 123, 1602–1617. [Google Scholar] [CrossRef]
- Masson, P.J.; Ratelle, K.; Delobel, P.; Lipardi, A.; Lorin, C. Development of a 3D Sizing Model for All-Superconducting Machines for Turbo-Electric Aircraft Propulsion. IEEE Trans. Appl. Supercond. 2013, 23, 3600805. [Google Scholar] [CrossRef]
- Kim, J.; Kwon, K.; Roy, S.; Garcia, E.; Mavris, D.N. Megawatt-Class Turboelectric Distributed Propulsion, Power, and Thermal Systems for Aircraft. In Proceedings of the 2018 AIAA Aerospace Sciences Meeting, Kissimmee, FL, USA, 8–12 January 2018; American Institute of Aeronautics and Astronautics: Reston, VA, USA, 2018. [Google Scholar]
- Hendricks, E.S.; Falck, R.D.; Gray, J.S.; Aretskin-Hariton, E.D.; Ingraham, D.J.; Chapman, J.W.; Schnulo, S.L.; Chin, J.C.; Jasa, J.P.; Bergeson, J.D.; et al. Multidisciplinary Optimization of a Turboelectric Tiltwing Urban Air Mobility Aircraft. In Proceedings of the AIAA Aviation 2019 Forum, Dallas, TX, USA, 17–21 June 2019; pp. 1–20. [Google Scholar] [CrossRef] [Green Version]
- Hendricks, E.; Aretskin-Hariton, E.; Chapman, J.; Gray, J.; Falck, R. Propulsion System Optimization for a Turboelectric Tiltwing Urban Air Mobility Aircraft. In Proceedings of the International Society for Air Breathing Engines (ISABE) Conference, Canberra, ACT, Australia, 22–27 September 2019; Available online: https://ntrs.nasa.gov/citations/20190032149 (accessed on 3 November 2021).
- Donateo, T.; Cucciniello, L.; Strafella, L.; Ficarella, A. Control Oriented Modelling of a Turboshaft Engine for Hybrid Electric Urban Air-Mobility. In E3S Web of Conferences; EDP Sciences: Les Ulis, France, 2020; Volume 197, p. 05003. [Google Scholar] [CrossRef]
- Misra, A. Energy Storage for Electrified Aircraft: The Need for Better Batteries, Fuel Cells, and Supercapacitors. IEEE Electrif. Mag. 2018, 6, 54–61. [Google Scholar] [CrossRef]
- Badum, L.; Leizeronok, B.; Cukurel, B. New Insights From Conceptual Design of an Additive Manufactured 300 W Micro Gas Turbine Towards UAV Applications. In Industrial and Cogeneration; Manufacturing Materials and, Metallurgy; Marine; Microturbines, Turbochargers, and Small Turbomachines; American Society of Mechanical Engineers: New York, NY, USA, 2020; Volume 8. [Google Scholar]
- Seo, J.; Lim, H.-S.; Park, J.; Park, M.R.; Choi, B.S. Development and Experimental Investigation of a 500-W Class Ultra-Micro Gas Turbine Power Generator. Energy 2017, 124, 9–18. [Google Scholar] [CrossRef]
- Grannan, N.D.; Moosmann, K.; Hoke, J.; McClearn, M.J.; Schauer, F. Small Turbojet Altitude Test Facility with Two-Stage Turbocharger Inlet Air Cooling. In Proceedings of the AIAA Aerospace Sciences Meeting, Kissimmee, FL, USA, 8–12 January 2018. [Google Scholar] [CrossRef]
- Kang, Y.S.; Lim, B.J.; Cha, B.J. Multi-Stage Turbocharger System Analysis Method for High Altitude UAV Engine. J. Mech. Sci. Technol. 2017, 31, 2803–2811. [Google Scholar] [CrossRef]
- Rodgers, C. Turbocharging a High Altitude UAV C.I. Engine. In Proceedings of the 37th Joint Propulsion Conference and Exhibit, Salt Lake City, UT, USA, 8–11 July 2001; American Institute of Aeronautics and Astronautics: Reston, VA, USA, 2001. [Google Scholar]
- Jansen, R.; Bowman, C.; Jankovsky, A.; Dyson, R.; Felder, J. Overview of NASA Electrified Aircraft Propulsion (EAP) Research for Large Subsonic Transports. In Proceedings of the 53rd AIAA/SAE/ASEE Joint Propulsion Conference, Atlanta, GA, USA, 10–12 July 2017; American Institute of Aeronautics and Astronautics: Reston, VA, USA, 2017. [Google Scholar]
- Papathakis, K.; Kloesel, K.; Lin, Y.; Clarke, S.; Ediger, J.; Ginn, S. NASA Turbo-electric Distributed Propulsion Bench. In Proceedings of the 52nd AIAA/SAE/ASEE Joint Propulsion Conference, Salt Lake City, UT, USA, 25–27 July 2016. [Google Scholar] [CrossRef]
- Saeed, A.S.; Younes, A.B.; Cai, C.; Cai, G. A Survey of Hybrid Unmanned Aerial Vehicles. Prog. Aerosp. Sci. 2018, 98, 91–105. [Google Scholar] [CrossRef]
- Moody, K.J.; Replogle, C.J.; Rouser, K.P. Validation of Analytical Model for Turboelectric Power System for Preliminary Design Purposes. J. Eng. Gas Turbines Power 2020, 142, 081011. [Google Scholar] [CrossRef]
- Moody, K.J. Design, Analysis, and Integration of a Turboelectric Propulsion and Power System for Unmanned Aircraft. Master’s Thesis, Oklahoma State University, Stillwater, OK, USA, 2020. [Google Scholar]
- Gundlach, J. Designing Unmanned Aircraft Systems: A Comprehensive Approach, 2nd ed.; American Institute of Aeronautics and Astronautics, Inc.: Reston, VA, USA, 2014. [Google Scholar]
- Johnsen, J.P.; Runnels, T.; Burgess, J.M.; Rouser, K.P. Integration of a 7-KW Turboelectric Power System in a Vertical Take-Off and Landing Unmanned Aircraft. In Proceedings of the AIAA Propulsion and Energy 2021 Forum, Virtual Event, 9–11 August 2021. [Google Scholar] [CrossRef]

















| Test Equipment | Manufacturer and Model |
|---|---|
| Turbine Engine | Kingtech K-60TP |
| Generator | Turnigy Rotomax 100-cc, 167-, 50-V |
| Rectifier | 200-A, 3-Phase, Full-Wave Bridge Rectifier |
| Power Module | Mauch 200-A Power Module |
| Data Recorder | Pixhawk 2 Flight Controller, 400-Hz Sampling Rate |
| Electronic Speed Controller | Trampa Boards 75-V, 300-A Vedder ESC |
| Electric Load Motor | Off-the-Grid 20-kW, 100-, 70-V |
| Battery Management System | Energus Tiny BMS s516—150-A/750-A |
| Battery Type | Theoretical Specific Energy [W-hr/kg] | Practical Specific Energy [W-hr/kg] | Specific Power [W/kg] | Cell Voltage [V] |
|---|---|---|---|---|
| Lead-acid (Pb/) | 170 | 30–50 | 180 | 1.2 |
| Nickel cadmium (NiCd) | 240 | 60 | 150 | 1.2 |
| Nickel metal hydride (NiMH) | 470 | 23–85 | 200–400 | 0.94–1.2 |
| Lithium-ion (Li-Ion) | 700 | 100–135 | 250–340 | 3.6 |
| Lithium polymer (Li-Po) | 735 | 50.7–220 | 200–1900 | 3.7 |
| Lithium sulfur (LiS) | 2550 | 350 | 600–700 | 2.5 |
| Initial and Final Throttle Position (%) | ATC Response Time (s) | DTC Response Time (s) |
|---|---|---|
| 50–75% | 2.80 | 2.5 |
| 75–100% | 0.20 | 1.1 |
| 50–100% | 0.40 | 2.2 |
| 100–50% | 1.70 | 2.2 |
| 100–75% | 0.30 | 1.30 |
Publisher’s Note: MDPI stays neutral with regard to jurisdictional claims in published maps and institutional affiliations. |
© 2021 by the authors. Licensee MDPI, Basel, Switzerland. This article is an open access article distributed under the terms and conditions of the Creative Commons Attribution (CC BY) license (https://creativecommons.org/licenses/by/4.0/).
Share and Cite
Burgess, J.; Runnels, T.; Johnsen, J.; Drake, J.; Rouser, K. Experimental Comparison of Direct and Active Throttle Control of a 7 kW Turboelectric Power System for Unmanned Aircraft. Appl. Sci. 2021, 11, 10608. https://doi.org/10.3390/app112210608
Burgess J, Runnels T, Johnsen J, Drake J, Rouser K. Experimental Comparison of Direct and Active Throttle Control of a 7 kW Turboelectric Power System for Unmanned Aircraft. Applied Sciences. 2021; 11(22):10608. https://doi.org/10.3390/app112210608
Chicago/Turabian StyleBurgess, Johnathan, Timothy Runnels, Joshua Johnsen, Joshua Drake, and Kurt Rouser. 2021. "Experimental Comparison of Direct and Active Throttle Control of a 7 kW Turboelectric Power System for Unmanned Aircraft" Applied Sciences 11, no. 22: 10608. https://doi.org/10.3390/app112210608
APA StyleBurgess, J., Runnels, T., Johnsen, J., Drake, J., & Rouser, K. (2021). Experimental Comparison of Direct and Active Throttle Control of a 7 kW Turboelectric Power System for Unmanned Aircraft. Applied Sciences, 11(22), 10608. https://doi.org/10.3390/app112210608
