Next Article in Journal
AI-Based Quality Control of Wood Surfaces with Autonomous Material Handling
Previous Article in Journal
Compact Single-Frequency MOPA Using a Silica Fiber Highly Doped with Yb3+
Previous Article in Special Issue
Comparison of Manipulative Indicators of Students and Therapists Using a Robotic Arm: A Feasibility Study
 
 
Font Type:
Arial Georgia Verdana
Font Size:
Aa Aa Aa
Line Spacing:
Column Width:
Background:
Article

Implementing a Circadian Adaptation Schedule after Eastward Flight in Young Male Athletes

1
The Appleton Institute for Behavioural Science, Central Queensland University, Adelaide, SA 5034, Australia
2
Human Exercise and Training Laboratory, School of Health, Medical and Applied Sciences Central Queensland University, Rockhampton, QLD 4700, Australia
*
Author to whom correspondence should be addressed.
Appl. Sci. 2021, 11(21), 9962; https://doi.org/10.3390/app11219962
Submission received: 24 August 2021 / Revised: 22 October 2021 / Accepted: 22 October 2021 / Published: 25 October 2021
(This article belongs to the Special Issue Advances in Sports Science, Medicine and Rehabilitation)

Abstract

:
This study examined the effectiveness of a circadian adaptation schedule in male cricketers after an 8.5 h eastward time zone change. Ten participants (aged 18.7 ± 0.9 y) were randomly assigned to a control group or an intervention group. Participants in the intervention group followed a light exposure schedule in which they were instructed to seek light in the three hours preceding, and avoid light in the three hours following their estimated core body temperature minimum. The rate of adaptation was assessed using the nightly excretion rate of urinary 6-sulphatoxymelatonin (aMT6s). General linear mixed models were conducted to assess the effect of condition (i.e., control and light intervention) on nocturnal secretion of aMT6s. Significant main effects of day (F(7, 35) = 10.4, p < 0.001) were reflected by an increase in nocturnal melatonin excretion (i.e., all participants gradually adapted to the destination time zone). Subjective jet lag decreased by day (F(7, 54) = 22.9, p < 0.001), bedtime was delayed by day (F(7, 54) = 3.1, p = 0.007) and get up time was earlier by day (F(7, 35) = 5.4, p < 0.001). On average, it took 7 days for all participants to return to baseline levels following transmeridian travel. Similarly, it took 7 days for subjective jet lag to alleviate. In the initial 4 days of the protocol, the intervention group registered higher levels of nocturnal urinary melatonin, however, there was no significant differences in the rate of adaptation between the groups. It is possible that participants did not adhere to the intervention or that they followed the intervention but it was ineffective.

1. Introduction

Jet lag is a by-product of transmeridian travel and is characterised by difficulty maintaining nighttime sleep and feelings of daytime sleepiness and fatigue [1]. The primary mechanism responsible for jet lag is the misalignment between the body’s endogenous circadian system and the local destination time. The effects of jet lag gradually subside as the circadian system aligns with environmental time cues (e.g., sunlight) [2].
Appropriately scheduled light exposure can be an effective strategy to enhance circadian adaptation (via phase delay or phase advance) to destination time zones following travel [3]. The human circadian rhythms of melatonin and core body temperature are strongly linked with the sleep/wake cycle [4,5]. Endogenous melatonin secretion typically begins 2 h prior to habitual bedtime [6], and the daily minimum of core body temperature (CBTmin) coincides with the low point of the circadian cycle [4]. The resetting of the endogenous circadian clock is most sensitive to retinal light exposure in the hours before and after CBTmin [7,8]. Light exposure before CBTmin results in a phase delay (i.e., shift later in time) and light exposure after CBTmin results in a phase advance (i.e., shift earlier in time) [8]. The implementations of light exposure protocols to prevent or reduce jet lag are well established under laboratory conditions [2,6,9], but the effectiveness of these protocols in the field—particularly in elite athletes—have not been thoroughly examined.
Athletes that compete and train internationally are required to cross multiple time zones, which makes them susceptible to stressors such as jet lag [1,10,11]. In addition, athletes may be required to compete and/or train very soon after arrival—potentially before they are fully adapted to the new time zone. In such situations, strategies that facilitate adaptation would be useful. Therefore, the aim of this study was to examine the effectiveness of an electronic reminder system to enforce a light exposure schedule to enhance adaptation to destination time zones in travelling athletes.

2. Materials and Methods

This study employed a randomised, between-groups design. All participants travelled from the United Kingdom to Australia (8.5 h eastward time zone change) and were randomly assigned to a control group or an intervention group. Participants were provided with a self-report diary to record sleep/wake behaviour (i.e., bedtime and get up time) and subjective ratings of sleepiness, sleep quality and jet lag. The production rate of melatonin was inferred from concentrations of the metabolite aMT6s for eight consecutive nights following arrival. Written informed consent was obtained from participants and ethical approval was obtained from the Central Queensland University Human Research Ethics Committee (HREC: H17/01-013).

2.1. Participants

Ten young semi-professional male cricket players (mean ± SD; age: 18.7 ± 0.9 y) participated in the study. Participants were provided with an information sheet detailing the benefits and risks of participation as well as their right to withdraw from the study at any stage. Written informed consent was obtained from participants and ethical approval was obtained from the Central Queensland University Human Research Ethics Committee.

2.2. Measures

Self-report diaries were used to collect the following variables:
  • Bedtime and get up time: the self-reported clock time a participant went to bed to attempt to sleep and the clock time at which a participant stopped attempting to sleep.
  • Subjective sleepiness: assessed using the Karolinska Sleepiness Scale [12].
  • Subjective sleep quality: assessed using a 5-point scale, where 1 = “very poor”, 2 = “poor”, 3 = “average”, 4 = “good” and 5 = “very good”.
  • Subjective jet lag: assessed using 7-point scale, where 0 = “none”, 1 = “extremely low”, 2 = “very low”, 3 = “low”, 4 = “moderate”, 5 = “high”, 6 = “very high” and 7 = “extremely high”.

2.3. Urinary aMT6s

Urinary concentrations of the melatonin metabolite aMT6s have been used as a biomarker of circadian phase [13]. Given that melatonin is excreted nocturnally, low levels of nocturnal urinary aMT6s are expected during circadian misalignment following transmeridian travel. As the circadian clock entrains to the new destination, gradual increases in nocturnal aMT6s secretion should occur. Therefore, urinary concentration of nocturnal aMT6s can be used as an objective measure indicating entrainment of the circadian body clock to a new time zone (i.e., jet lag). In this study, production of melatonin during all sleep periods was inferred from urine from aMT6s concentrations. Urine samples were frozen and subsequently assayed for the concentration of aMT6s (aMT6s human radioimmunoassay, Stockgrand, Guildford, UK). The concentration of aMT6s was divided by the volume of the overnight sample and multiplied by the length of the sleep period for the corresponding night to acquire an excretion rate (i.e., ng/hour). The baseline excretion rate for each participant was then subtracted from the excretion rate of each sample to acquire an excretion rate relative to baseline.

2.4. Procedures

Upon arrival to Australia, participants were randomly assigned to a control group or an intervention group. A researcher met with each participant and provided them with study materials (i.e., urine collection container and self-report diaries). Immediately prior to each main sleep period, participants voided their urine (i.e., pre-sleep void) and provided ratings of subjective jet lag and sleepiness. Participants then collected all subsequent urine passed during the sleep period in a 2 L collection container, including a final void upon waking (i.e., post-sleep void). Participants recorded the clock times for the pre- and post-sleep void using labels on the urine container. Each morning, participants recorded their bedtime, get up time, and rated their subjective sleep quality. A researcher collected the urine containers from participants each morning and transferred a 1 mL aliquot of urine into a 1.5 mL tube (prepared with 10 mg of boric acid as a preservative; concentration = 250 g of boric acid per litre of water).
Participants in the intervention group were given a paper schedule of when to seek or avoid light during the eight days following arrival. After an 8.5 h eastward time zone change, the human circadian system can adapt via phase advance or phase delay [3]. A phase delay schedule was chosen as it was more conducive to the timing of daylight hours for the destination time zone. The estimation of CBTmin was formulated under the assumption that participants’ nocturnal sleep periods were typically from 23:00 h to 07:00 h and therefore, CBTmin will occur at approximately 04:00 h [3]. The light exposure schedule advised participants to seek light in the three hours preceding their estimated CBTmin (arrival CBTmin = 04:00 h GMT; 14:30 h ACST) and to avoid light in the three hours following their estimated CBTmin. Light blocking sunglasses were provided for periods allocated to avoiding light. The estimated CBTmin for each participant was adjusted 1.5 h later each experimental day to accommodate for a phase delay (i.e., day 1 CBTmin = 14:30 h ACST; day 2 CBTmin = 16:00 h ACST; day 3 CBTmin = 18:30 h, etc., Figure 1). At 12:00 h on each day, electronic reminders (via SMS) of when to seek/avoid light were sent to participants in the intervention group. Baseline measures of overnight urine, bedtime, get up time and subjective ratings could not be collected prior to travel. Instead, baseline measures were collected approximately 30 days after arrival over a 3-day period.

2.5. Data Analysis

Data were analysed using a General Linear Mixed Model with the R package lme4 [13,14]. A Shapiro–Wilks test was used to confirm normal distribution of data. Separate models were then tested for each dependent variable (i.e., aMT6s relative to baseline, subjective jet lag, subjective sleepiness, bedtime and get up time). A random intercept for participants was included to account for intraindividual dependencies and interindividual heterogeneity.

3. Results

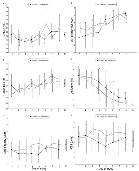
To ensure that all urine was collected during main sleep periods, samples were weighed and compared to average urine production in healthy subjects [15]. Samples were excluded from the analysis if they were considered insufficient or if an error was reported by a participant (i.e., accidental void of urine). Out of 80 samples, 21 were excluded from analyses (control = 11, intervention = 10). Thus, 59 samples were included in analyses. There was a main effect of day on aMT6s (increased by day; F(7, 35) = 10.4, p < 0.001) subjective jet lag (decreased by day; F(7, 54) = 22.9, p < 0.001), bedtime (later by day; F(7, 54) = 3.1, p = 0.007) and get up time (earlier by day; F(7, 35) = 5.4, p < 0.001). There was no main effect of condition or an interaction between condition and day for any variable (Figure 2).

4. Discussion

The aim of this study was to examine the effectiveness of a light exposure/avoidance schedule to facilitate circadian adaptation following eastward travel. A randomised, between groups design was utilised to examine the difference between two conditions (control, light exposure). The main finding was that there was no difference in urinary melatonin excretion between conditions. It took participants 7 days to adapt to the 8.5 h eastward time zone change, as demonstrated by the gradual reduction of subjective jet lag and the gradual increase in the excretion rate of aMT6s. However, the light exposure schedule did not facilitate faster adaptation in the intervention group.
Several review articles have provided detailed guidelines regarding strategies to reduce or potentially eliminate jet lag using light or other phase shifting interventions (i.e., exogenous melatonin) when travelling [3,16]. Indeed, experimental studies have attempted to implement bright light interventions in the field but have relied on subjective responses or have used salivary dim light melatonin onset (DLMO) as a measure of jet lag [17]. DLMO can provide an accurate biomarker for circadian phase, however, implementation of the protocol can be time-consuming and may be impractical for field studies [2]. While the circadian principles of bright light interventions are well understood, the practicality of implementing them successfully, and acquiring an objective measure of circadian phase in field settings is not. In isolation of the experimental protocol, this is the first study to utilise urinary melatonin as a daily bio marker of the circadian phase of athletes in a field setting. Demonstrated by the return to baseline of nighttime melatonin in both conditions, the measures utilised in this study can be used as a valid circadian biomarker for future field studies involving athletes.
For many sports teams or athletes, it is impractical to travel with a staff member solely responsible for formulating and enforcing light exposure schedules to facilitate circadian adaptation. A potential solution is to formulate a pre-planned schedule around training and other activities that will optimise adaptation to the destination time zone. This study indicates that providing a hard copy adaptation schedule and daily electronic reminders may not enhance adaptation to an 8.5 h eastward time zone change in young cricket players.
There are several potential explanations for why the light exposure schedule did not enhance circadian adaptation. It is possible that participants in the intervention group did not comply with the instructions and reminders to seek/avoid light. Assuming that the instructions and reminders elicited the recommended behaviour in the intervention group, it is also possible that incidental light exposure resulted in a similar rate of adaptation in the control group. The intervention group was consistently closer to baseline measures of aMT6s compared to the control group between days 1–4 of the protocol (Figure 2). However, from days 5–8, the control group was consistently closer to baseline measures of aMT6s compared to the intervention group. It is plausible that the slightly slower rate of adaptation in the control group between days 1–4 resulted in a CBTmin that coincided with incidental sunlight exposure, thus increasing the rate of adaptation between days 5–8 (Figure 2).
The findings of this study should be interpreted under the boundary conditions of the experimental design. These boundaries include the degree of time zone change (i.e., 8.5 h eastward), the direction of adaptation (i.e., phase delay), sample size and characteristics of the participants (i.e., group of 10 young male cricket players), and the method of implementing the adaptation schedule (i.e., generalised hard copy schedule and electronic reminders). Additionally, it is possible that the sample in this study may be underpowered. The present study did not acquire a measure of compliance for the light exposure schedule and did not acquire objective measures of sleep, light exposure or athlete performance outcomes. The athletes in this study were not given information regarding the expected symptoms of jet lag or the principles underlying circadian misalignment to reduce the likelihood of the intervention group influencing the behaviour of the control group, given their proximity during the data collection period. Therefore, it is unclear whether the intervention may be more, or less effective among athletes that receive jet lag education. It is reasonable to suggest that if the intervention group was aware of the chronobiological principle used to allocate times for light exposure, that they may have been more likely to comply. Future research should address these factors and examine alternative strategies for implementing light exposure/avoidance schedules with consideration to the direction of travel and degree of time zone change and athlete chronotype.

Author Contributions

Conceptualization, D.J.M., G.D.R. and C.S.; methodology, D.J.M., G.D.R. and C.S.; formal analysis, D.J.M.; resources, D.J.M., G.D.R. and C.S.; data curation, D.J.M.; writing—original draft preparation, D.J.M.; writing—review and editing, D.J.M., G.D.R., M.L., A.T.S. and C.S.; visualization, D.J.M., G.D.R., M.L., A.T.S. and C.S.; project administration, D.J.M.; funding acquisition, D.J.M., G.D.R. and C.S. All authors have read and agreed to the published version of the manuscript.

Funding

This research received no external funding.

Institutional Review Board Statement

The study was conducted according to the guidelines of the Declaration of Helsinki, and approved by the Institutional Ethics Committee of Central Queensland University (HREC: H17/01-013).

Informed Consent Statement

Informed consent was obtained from all subjects involved in the study.

Data Availability Statement

Data available on request.

Acknowledgments

The authors would like to thank the athletes and coaching staff for their contributions. An additional thanks goes to Brooke and Chase Miller, who assisted with protocol logistics.

Conflicts of Interest

The authors declare no conflict of interest.

References

  1. Waterhouse, J.; Edwards, B.; Nevill, A.; Carvalho, S.; Atkinson, G.; Buckley, P.; Reilly, T.; Godfrey, R.; Ramsay, R. Identifying some determinants of “jet lag” and its symptoms: A study of athletes and other travellers. Br. J. Sports Med. 2002, 36, 54–60. [Google Scholar] [CrossRef] [PubMed] [Green Version]
  2. Eastman, C.I.; Gazda, C.J.; Burgess, H.J.; Crowley, S.J.; Fogg, L.F. Advancing circadian rhythms before east-ward flight: A strategy to prevent or reduce jet lag. Sleep 2005, 28, 33. [Google Scholar] [CrossRef] [PubMed]
  3. Roach, G.D.; Sargent, C. Interventions to Minimize Jet Lag after Westward and Eastward Flight. Front. Physiol. 2019, 10, 927. [Google Scholar] [CrossRef] [PubMed] [Green Version]
  4. Cagnacci, A.; Soldani, R.; Laughlin, G.A.; Yen, S.S. Modification of circadian body temperature rhythm during the luteal menstrual phase: Role of melatonin. J. Appl. Physiol. 1996, 80, 25–29. [Google Scholar] [CrossRef] [PubMed]
  5. Lewy, A.J.; Cutler, N.L.; Sack, R.L. The Endogenous Melatonin Profile as a Marker for Circadian Phase Position. J. Biol. Rhythm. 1999, 14, 227–236. [Google Scholar] [CrossRef] [PubMed]
  6. Burgess, H.J.; Crowley, S.; Gazda, C.J.; Fogg, L.F.; Eastman, C. Preflight Adjustment to Eastward Travel: 3 Days of Advancing Sleep with and without Morning Bright Light. J. Biol. Rhythm. 2003, 18, 318–328. [Google Scholar] [CrossRef] [PubMed] [Green Version]
  7. Wever, R.A.; Polášek, J.; Wildgruber, C.M. Bright light affects human circadian rhythms. Pflügers Arch. Eur. J. Physiol. 1983, 396, 85–87. [Google Scholar] [CrossRef] [PubMed]
  8. Khalsa, S.B.; Jewett, M.E.; Cajochen, C.; Czeisler, C.A. A Phase Response Curve to Single Bright Light Pulses in Human Subjects. J. Physiol. 2003, 549, 945–952. [Google Scholar] [CrossRef] [PubMed]
  9. Czeisler, C.A.; Kronauer, R.E.; Allan, J.S.; Duffy, J.F.; Jewett, M.E.; Brown, E.N.; Ronda, J.M. Bright light induction of strong (type 0) resetting of the human circadian pacemaker. Science 1989, 244, 1328–1333. [Google Scholar] [CrossRef] [PubMed]
  10. Fowler, P.; Duffield, R.; Howle, K.; Waterson, A.; Vaile, J. Effects of northbound long-haul international air travel on sleep quantity and subjective jet lag and wellness in professional Australian soccer players. Int. J. Sports Physiol. 2015, 10, 648–654. [Google Scholar] [CrossRef] [PubMed]
  11. Leatherwood, W.E.; Dragoo, J.L. Effect of airline travel on performance: A review of the literature. Br. J. Sports Med. 2012, 47, 561–567. [Google Scholar] [CrossRef] [PubMed]
  12. Åkerstedt, T.; Gillberg, M. Subjective and Objective Sleepiness in the Active Individual. Int. J. Neurosci. 1990, 52, 29–37. [Google Scholar] [CrossRef] [PubMed]
  13. Cardinali, D.P.; Bortman, G.P.; Liotta, G.; Lloret, S.P.; Albornoz, L.E.; Cutrera, R.A.; Batista, J.; Gallo, P.O. A multifactorial approach employing melatonin to accelerate resynchronization of sleep-wake cycle after a 12 time-zone westerly transmeridian flight in elite soccer athletes. J. Pineal Res. 2002, 32, 41–46. [Google Scholar] [CrossRef] [PubMed]
  14. R Core Team. R: A Language and Environment for Statistical Computing; R Foundation for Statistical Computing: Vienna, Austria, 2019; Available online: https://scholar.google.com/scholar?cluster=1296227680028213525&hl=en&oi=scholarr (accessed on 12 October 2021).
  15. Rosenberg, J.; Fiserova-Bergerova, V.; Lowry, L.K. Horizons: Biological Monitoring IV: Measurements in Urine. Appl. Ind. Hyg. 1989, 4, F-16–F-21. [Google Scholar] [CrossRef]
  16. Boulos, Z.; Campbell, S.S.; Lewy, A.J.; Terman, M.; Dijk, D.J.; Eastman, C.I. Light treatment for sleep disorders: Consensus report VII. Jet lag. J. Biol. Rhythm. 1995, 10, 167–176. [Google Scholar] [CrossRef] [PubMed]
  17. Thompson, A.; Batterham, A.M.; Jones, H.; Gregson, W.; Scott, D.; Atkinson, G. The practicality and effectiveness of supplementary bright light for reducing jet-lag in elite female athletes. Int. J. Sports Med. 2013, 34, 582–589. [Google Scholar] [CrossRef] [PubMed]
Figure 1. Light exposure protocol. White bars = period to seek bright light; black bars = period to avoid light.
Figure 1. Light exposure protocol. White bars = period to seek bright light; black bars = period to avoid light.
Applsci 11 09962 g001
Figure 2. Subjective and objective variables as a function of day: self-reported bedtime (A); self-reported get up time (B); subjective sleep quality (C); urinary aMT6s relative to baseline (D); subjective jet lag (E); subjective sleepiness (F). Data are mean ± SD and have been offset to aid interpretation. Filled circles represent the control condition. Open circles represent the intervention condition. Asterisks indicate significant differences to baseline across both conditions. Dotted line in figure D represents baseline aMT6s. KSS = Karolinska Sleepiness Scale; BL = baseline.
Figure 2. Subjective and objective variables as a function of day: self-reported bedtime (A); self-reported get up time (B); subjective sleep quality (C); urinary aMT6s relative to baseline (D); subjective jet lag (E); subjective sleepiness (F). Data are mean ± SD and have been offset to aid interpretation. Filled circles represent the control condition. Open circles represent the intervention condition. Asterisks indicate significant differences to baseline across both conditions. Dotted line in figure D represents baseline aMT6s. KSS = Karolinska Sleepiness Scale; BL = baseline.
Applsci 11 09962 g002
Publisher’s Note: MDPI stays neutral with regard to jurisdictional claims in published maps and institutional affiliations.

Share and Cite

MDPI and ACS Style

Miller, D.J.; Roach, G.D.; Lastella, M.; Scanlan, A.T.; Sargent, C. Implementing a Circadian Adaptation Schedule after Eastward Flight in Young Male Athletes. Appl. Sci. 2021, 11, 9962. https://doi.org/10.3390/app11219962

AMA Style

Miller DJ, Roach GD, Lastella M, Scanlan AT, Sargent C. Implementing a Circadian Adaptation Schedule after Eastward Flight in Young Male Athletes. Applied Sciences. 2021; 11(21):9962. https://doi.org/10.3390/app11219962

Chicago/Turabian Style

Miller, Dean J., Gregory D. Roach, Michele Lastella, Aaron T. Scanlan, and Charli Sargent. 2021. "Implementing a Circadian Adaptation Schedule after Eastward Flight in Young Male Athletes" Applied Sciences 11, no. 21: 9962. https://doi.org/10.3390/app11219962

APA Style

Miller, D. J., Roach, G. D., Lastella, M., Scanlan, A. T., & Sargent, C. (2021). Implementing a Circadian Adaptation Schedule after Eastward Flight in Young Male Athletes. Applied Sciences, 11(21), 9962. https://doi.org/10.3390/app11219962

Note that from the first issue of 2016, this journal uses article numbers instead of page numbers. See further details here.

Article Metrics

Back to TopTop