A Cross-Correlation-Based Approach to Pattern Distortion and Mutual Coupling for Shared-Aperture Antennas
Abstract
:Featured Application
Abstract
1. Introduction
2. Proposed Pattern Distortion Coefficient
3. Demonstration of the Proposed Approach
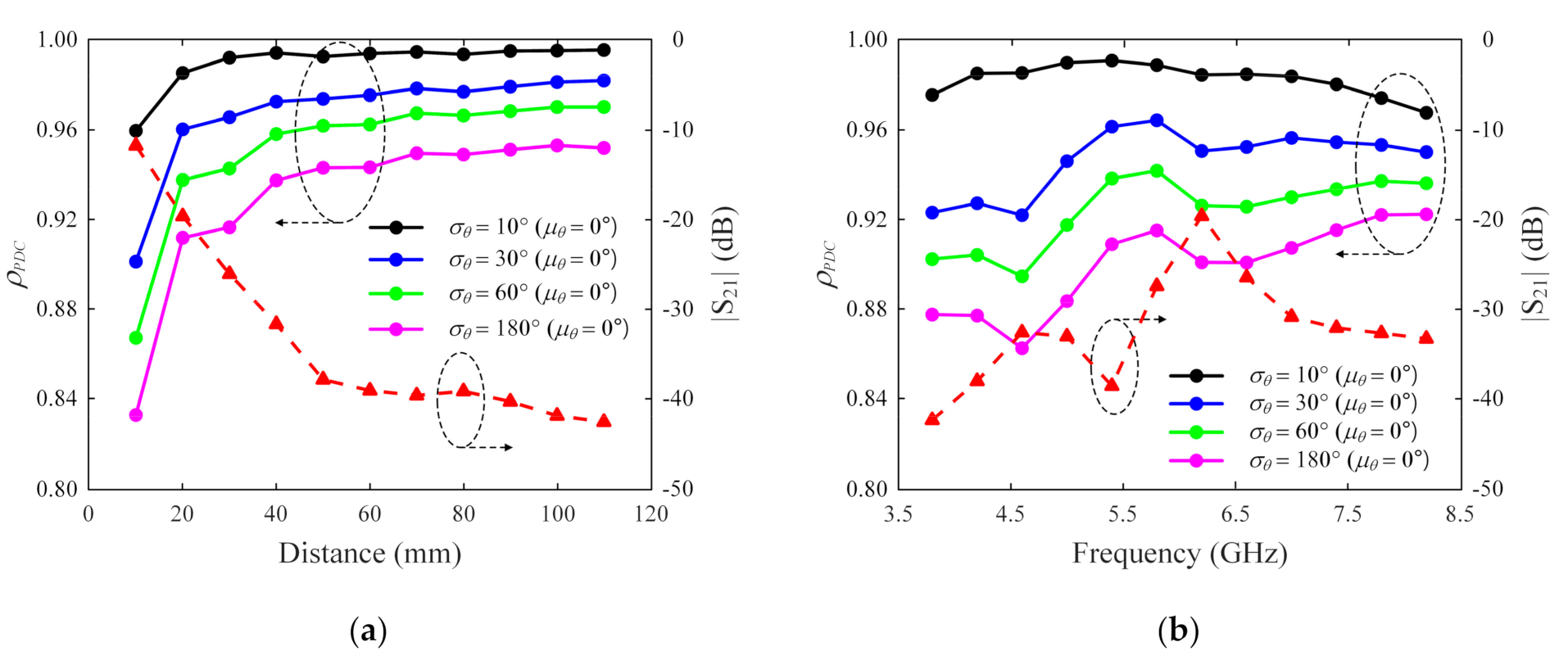
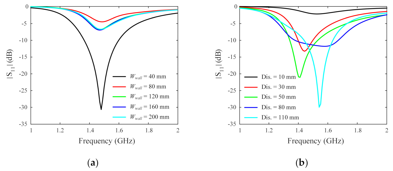
3.1. Parametric Studies
3.2. Fabrication and Measurement
4. Conclusions
Author Contributions
Funding
Acknowledgments
Conflicts of Interest
References
- Tavik, G.C.; Hilterbrick, C.L.; Evins, J.B.; Alter, J.J.; Crnkovich, J.G.; de Graaf, J.W.; Habicht, W.; Hrin, G.P.; Lessin, S.A.; Wu, D.C.; et al. The advanced multifunction RF concept. IEEE Trans. Microw. Theory Tech. 2005, 53, 1009–1020. [Google Scholar] [CrossRef]
- Kemkemian, S.; Nouvel-Fiani, M. Toward common radar & EW multifunction active arrays. In Proceedings of the 2010 IEEE International Symposium on Phased Array Systems and Technology, Waltham, MA, USA, 12–15 October 2010; pp. 777–784. [Google Scholar] [CrossRef]
- Dawber, W.N.; Pote, M.F.; Turner, S.D.; Graddon, J.M.; Barker, D.; Evans, G.; Wood, S.G. Integrated antenna architecture for high frequency multifunction naval systems. In Proceedings of the 2006 CIE International Conference on Radar, Shanghai, China, 16–19 October 2006; pp. 1–5. [Google Scholar] [CrossRef]
- Thummaluru, S.R.; Kumar, R.; Chaudhary, R.K. Isolation enhancement and radar cross section reduction of MIMO antenna with frequency selective surface. IEEE Trans. Antennas Propag. 2018, 66, 1595–1600. [Google Scholar] [CrossRef]
- Umair, H.; Latef, T.B.A.; Yamada, Y.; Hassan, T.; Mahadi, W.N.L.B.W.; Othman, M.; Kamardin, K.; Hussein, M.I. Quarter wavelength Fabry–Perot Cavity antenna with wideband low monostatic radar cross section and off-broadside peak radiation. Appl. Sci. 2021, 11, 1053. [Google Scholar] [CrossRef]
- Dikmen, C.M.; Cimen, S.; Cakir, G. Planar octagonal-shaped UWB antenna with reduced radar cross section. IEEE Trans. Antennas Propag. 2014, 62, 2946–2953. [Google Scholar] [CrossRef]
- Jiang, W.; Liu, Y.; Gong, S.; Hong, T. Application of bionics in antenna radar cross section reduction. IEEE Antennas Wirel. Propag. Lett. 2009, 8, 1275–1278. [Google Scholar] [CrossRef]
- Mei, P.; Zhang, S.; Pedersen, G.F. A dual-polarized and high-gain X-/Ka-band shared-aperture antenna with high aperture reuse efficiency. IEEE Trans. Antennas Propag. 2021, 69, 1334–1344. [Google Scholar] [CrossRef]
- Li, T.; Chen, Z.N. Metasurface-Based Shared-Aperture 5G S-K-Band Antenna Using Characteristic Mode Analysis. IEEE Trans. Antennas Propag. 2018, 66, 6742–6750. [Google Scholar] [CrossRef]
- Chen, Y.; Vaughan, R.G. Dual-Polarized L-Band and Single-Polarized X-Band Shared-Aperture SAR Array. IEEE Trans. Antennas Propag. 2018, 66, 3391–3400. [Google Scholar] [CrossRef]
- Rao, P.H.; Sujitha, S.; Selvan, K.T. A Multiband, Mutipolarization Shared-Aperture Antenna: Design and evaluation. IEEE Antennas Propag. Mag. 2017, 59, 26–37. [Google Scholar] [CrossRef]
- Zhang, J.F.; Cheng, Y.J.; Liu, S.H. A large frequency ratio shared-aperture antenna based on structure reuse. In Proceedings of the 2018 International Symposium on Antennas and Propagation (ISAP), Busan, South Korea, 23–26 October 2018; pp. 1–2. [Google Scholar]
- Zhang, J.F.; Cheng, Y.J.; Ding, Y.R.; Bai, C.X. A dual-band shared-aperture antenna with large frequency ratio, high aperture reuse efficiency and high channel isolation. IEEE Trans. Antennas Propag. 2018, 67, 853–860. [Google Scholar] [CrossRef]
- Wang, C.; Chen, Y.; Liu, G.; Yang, S. Aircraft-integrated VHF band antenna array designs using characteristic modes. IEEE Trans. Antennas Propag. 2020, 68, 7358–7369. [Google Scholar] [CrossRef]
- Chou, H.-T.; Lu, K.-Y.; Chen, Y.-C.; Hsu, H.-T.; Huang, N.-T. Analysis and synthesis of phased array antennas in the presence of electrically large and complex platforms via a hybrid numerical code. In Proceedings of the 2010 International Conference on Electromagnetics in Advanced Applications, Sydney, NSW, Australia, 20–24 September 2010; pp. 458–461. [Google Scholar] [CrossRef]
- Yang, S.J.; Yanga, Y.; Zhang, X.Y. Low scattering element based aperture-shared array for multi-band base stations. IEEE Trans. Antennas Propag. 2021, 1. [Google Scholar] [CrossRef]
- Manga, A.A.; Gillard, R.; Loison, R.; Roy-Naneix, I.L.; Renard, C. Experimental validation of a correcting coupling mechanism to extend the scanning range of narrowband phased array antennas. IEEE Trans. Antennas Propag. 2020, 68, 2078–2086. [Google Scholar] [CrossRef] [Green Version]
- Pozar, D.; Schaubert, D. Scan blindness in infinite phased arrays of printed dipoles. IRE Trans. Antennas Propag. 1984, 32, 602–610. [Google Scholar] [CrossRef]
- Zhang, C.; Lai, Q.; Gao, C. Measurement of active S-parameters on array antenna using directional couplers. In Proceedings of the 2017 IEEE Asia Pacific Microwave Conference (APMC), Kuala Lumpur, Malaysia, 13–16 November 2017; pp. 1167–1170. [Google Scholar] [CrossRef]
- Nikulina, Y.S.; Stenanov, M.A. The criteria of antenna pattern distortion estimation. In Proceedings of the 2018 XIV International Scientific-Technical Conference on Actual Problems of Electronics Instrument Engineering (APEIE), Novosibirsk, Russia, 2–6 October 2018; pp. 426–428. [Google Scholar] [CrossRef]













| Parameter | Wg | Lg | LIFA | HIFA | GIFA | Wp | Lp |
|---|---|---|---|---|---|---|---|
| Value (mm) | 200 | 200 | 51.4 | 25.7 | 25.7 | 11.2 | 11.2 |
Publisher’s Note: MDPI stays neutral with regard to jurisdictional claims in published maps and institutional affiliations. |
© 2021 by the authors. Licensee MDPI, Basel, Switzerland. This article is an open access article distributed under the terms and conditions of the Creative Commons Attribution (CC BY) license (https://creativecommons.org/licenses/by/4.0/).
Share and Cite
Heo, J.M.; Yoon, J.; Kim, H.; Kim, Y.; Byun, G. A Cross-Correlation-Based Approach to Pattern Distortion and Mutual Coupling for Shared-Aperture Antennas. Appl. Sci. 2021, 11, 9652. https://doi.org/10.3390/app11209652
Heo JM, Yoon J, Kim H, Kim Y, Byun G. A Cross-Correlation-Based Approach to Pattern Distortion and Mutual Coupling for Shared-Aperture Antennas. Applied Sciences. 2021; 11(20):9652. https://doi.org/10.3390/app11209652
Chicago/Turabian StyleHeo, Jin Myeong, Jongwon Yoon, Hyun Kim, Youngwan Kim, and Gangil Byun. 2021. "A Cross-Correlation-Based Approach to Pattern Distortion and Mutual Coupling for Shared-Aperture Antennas" Applied Sciences 11, no. 20: 9652. https://doi.org/10.3390/app11209652
APA StyleHeo, J. M., Yoon, J., Kim, H., Kim, Y., & Byun, G. (2021). A Cross-Correlation-Based Approach to Pattern Distortion and Mutual Coupling for Shared-Aperture Antennas. Applied Sciences, 11(20), 9652. https://doi.org/10.3390/app11209652

