Next Article in Journal
A Comparison Study on the Improved Operation Strategy for a Parabolic trough Solar Power Plant in Spain
Previous Article in Journal
DEA-Based PROMETHEE II Distribution-Center Productivity Model: Evaluation and Location Strategies Formulation
 
 
Font Type:
Arial Georgia Verdana
Font Size:
Aa Aa Aa
Line Spacing:
Column Width:
Background:
Article

Minimizing Occupational Exposure to Pesticide and Increasing Control Efficacy of Pests by Unmanned Aerial Vehicle Application on Cowpea

Institute of Plant Protection, Chinese Academy of Agricultural Sciences, Beijing 100193, China
*
Author to whom correspondence should be addressed.
Appl. Sci. 2021, 11(20), 9579; https://doi.org/10.3390/app11209579
Submission received: 5 September 2021 / Revised: 10 October 2021 / Accepted: 12 October 2021 / Published: 14 October 2021

Abstract

Pesticide operators are often exposed to high levels of contaminants, leading to potential adverse health impacts on these agricultural workers. In tropical regions, pesticide applicators are more vulnerable to dermal exposure than their counterparts in temperate regions. Thus, it is highly desirable to develop new spraying methods to minimize the pesticide exposure level without sacrificing the pest control efficiency. Due to their flexibility, high efficiency, and lower labor intensity, unmanned aerial vehicles (UAVs) have attracted considerable attention in precision pest management. However, the pesticide operator exposure assessment during the spraying application with UAVs, especially the comparison with conventional ground sprayers, has not been well investigated. In this work, the control effect against thrips on cowpea and operator exposure determination by aerial and ground spraying in Hainan Province were carried out and compared. When biopesticide spinetoram with the same dosage was applied, the field control efficacy against cowpea thrips sprayed by UAVs was higher than that of knapsack electric sprayers. Moreover, UAV spraying could greatly reduce water consumption and working time. For UAV spraying, when the amounts of water applied per hectare were 22.5, 30, and 37.5 L, the control effects on thrips on the first day were about 69.79%, 80.15%, and 80.58%, respectively. When Allura Red as a pesticide surrogate was applied under similar spraying scenarios with the field control against thrips on cowpea, the average total unit exposure of the knapsack operator (1952.02 mg/kg) was greatly higher than that of the UAV operator (134.51 mg/kg). The present research indicates that plant protection UAV is the direction of development of modern intensive sustainable agriculture.

1. Introduction

Pesticides are an important material basis for ensuring food security as well as world peace and stability [1,2]. Estimated by FAO, the use of pesticides can restore the loss of 30–40% of the world’s total crop production. Humankind’s rigid demand for pesticides will exist for a long time. However, agricultural pesticide handlers are often exposed to high levels of pesticides due to missing or improper personal protective equipment (PPE), leading to potential adverse health impacts on these agricultural workers [3]. These exposures occur mainly through inhalation and dermal contact with pesticides when mixing, loading, cleaning equipment, applying the spray mixtures, or entering sprayed areas [4]. Generally, pesticide contamination during spraying makes the greatest contribution to occupational exposure, which is scenario dependent. Multiple factors affect the amount of exposure, such as the application equipment, type of pesticide formulations, crop height and canopy density, application rate and duration, climatic conditions, PPE, and the training and aptitude of the applicators [5]. In tropical regions or countries, pesticide applicators are more vulnerable to dermal exposure than their counterparts in temperate countries [6]. This is ascribed to the fact that operators there do not usually wear PPE during pesticide application activities, mainly due to the discomfort associated with the use of PPE under humid and sultry weather conditions [7].
Hainan Province is located in a tropical region and has a climate and ecological advantage of being one of the major winter melon and vegetable production bases in China. However, due to suitable environmental conditions, insect pests and plant diseases are prone to occur all year round, resulting in a tremendous amount of pesticide consumption [8]. As a result, frequent pesticide application and humid climatic conditions bring about great exposure risk to pesticide applicators. Cowpea, Vigna unguiculata L. Walp, is an important grain legume in the tropics and one of the major winter vegetables in Hainan Province [9]. Insect pests and diseases of cowpea have inflicted a severe impact on cowpea yield and quality [10]. In order to avoid great economic losses, farmers have resorted to indiscriminate use of pesticides to reduce the damage. The commonly used local spray equipment for cowpea pest control is stretcher-mounted power sprayers and knapsack electric sprayers. The local farmers always put themselves in a “spray cloud” when performing the spraying using this equipment (Video S1). Due to the higher cowpea height and density, the spraying of the pesticide solution with these sprayers will bring about great exposure risk to the applicators. Thus, it is highly desirable to develop new spraying equipment to minimize the pesticide exposure level without sacrificing the control efficiency of insect pests.
Due to their flexibility, high efficiency, and lower labor intensity, unmanned aerial vehicles (UAVs), also called drones or unmanned aerial systems (UASs), have attracted considerable attention in precision pest management [11]. Without the need for specific take-off and landing sites, rotary-wing UAVs can operate flexibly and efficiently in complex and uneven terrain, such as paddy fields, hills, and mountains, and they respond quickly to the outbreak of pests [12]. The recent fast development of real-time, high-precision kinematic positioning, flight control, obstacle avoidance, and terrain-following technologies boost the massive application of UAVs in the plant protection field [13]. In China, the academic research and practical applications of UAVs are developing rapidly [14]. According to the statistics data by the Chinese agricultural department, nearly 100,000 crop protection UAVs are used in China, and the spraying area reached about 66 million hectares in 2020.
The current research on the application of plant protection UAVs mainly focuses on the effect of various parameters of aerial spraying on the droplet deposition distribution and drift distance. These spraying parameters mainly include flight height and velocity [15,16,17,18,19,20,21], spray volume and nozzle size [21,22,23,24], meteorological conditions [17,24,25,26,27,28], plant shape [29,30], and spray system [31,32]. The comparison of control efficiency against different insects and plant diseases between UAVs and conventional sprayers was also investigated [33,34,35,36]. Furthermore, UAVs have been used to deliver biological control agents for pest control [37,38]. Considering the advantages mentioned above, plant protection UAVs are undoubtedly a suitable choice for cowpea pest control, while effectively maintaining the control effect and remarkedly decreasing the occupational exposure to pesticides. However, the pesticide exposure assessment of operators during the spraying application with UAVs, especially the comparison with conventional ground sprayers, has not been well investigated.
In the present study, the control against cowpea thrips Megalurothrips usitatus (Bagnall) in Hainan Province was chosen as the model scenario. Spinetoram suspension concentrate (SC) was used as the insecticide to control cowpea thrips. Due to its distinctive properties, such as solubility in spray mixtures, low toxicity, quick quantification, and a bright color differentiating it from naturally occurring substances, we have reported that water-soluble food dye of Allura Red could be used as a pesticide surrogate for the exposure assessment of operators and spray deposition on target crops [39,40]. In this work, Allura Red was applied for occupational exposure quantification to compare the exposure difference between UAVs and commonly used knapsack electric sprayers. Moreover, the control efficiency against cowpea thrips by aerial and ground spraying was also investigated and compared.

2. Materials and Methods

2.1. Reagents and Materials

Spinetoram SC with a concentration of 60 g/L was provided by Dow AgroSciences LLC. Allura Red with a purity of 85% was purchased from Zhejiang Jigaode Pigment Technology Co., Ltd. (Zhejiang, China). The production of custom-made cotton coveralls with a hood for whole-body exposure determination was consigned at a specialized company. Cotton gloves (200 g/m2) were obtained from Beijing Kuailu Knitting Co., Ltd. (Beijing, China). Deionized water was used for extraction. All other chemicals and reagents were commercially available and used as received.

2.2. Instruments

A knapsack electric sprayer (3WBD-18) with a single cone nozzle that operates at a typical pressure of 300 kPa was used for cowpea thrips control and handler exposure determination. The type of aviation platform used was the T16 UAV (SZ DJI Technology Co., Ltd., Shenzhen, China), which was equipped with Global Navigation Satellite System and Real-Time Kinematic (GNSS RTK) navigation technology. The flying height and velocity were both precisely controlled to be within the centimeter level. The UAV has eight hydraulic nozzles, which are symmetrically arranged on both sides of the fuselage. The flow rate of the spraying can be adjusted by a hand-held ground station. The microplate reader (FlexStation 3, Molecular Devices Shanghai Ltd., Shanghai, China) was used for Allura Red analysis.

2.3. Field Trials

The field experiment of cowpea thrips control was performed in the cliff state area, Sanya City, Hainan Province, China (109.17781″ E; 18.39691″ N), with the meteorological conditions of field temperature 30.2–32.8 °C, wind speed 0.8–1.6 m/s, and relative humidity 56–68%. The average plant height, line spacing, and row spacing of the test cowpea (Yousheng 706) were 2, 1.2, and 0.2 m, respectively. In order to compare the control effect against cowpea thrips and pesticide exposure amount of the operator, a knapsack electric sprayer was used as a control. The detailed working parameters of UAVs and knapsack sprayers for field control against cowpea thrips were set in Table 1. The control effect (%) was determined according to the method of Guidelines on efficacy evaluation of pesticides Part 6: Insecticides against thrips on vegetables (NY/T 1464.6-2007).

2.4. Exposure Determination of Operator to Pesticide

In this study, Allura Red was applied as a pesticide surrogate for exposure quantification to compare the exposure difference between UAVs and knapsack electric sprayers. The spraying scenarios were the same with the field control against thrips on cowpea. The wind speed was 0–0.5 m/s. For knapsack electric sprayers, two local farmers (operator A: female, 42 years old; operator B: male, 41 years old) with rich experience as volunteers performed the field experiment with a spraying technique similar to that used for field control against thrips on cowpea, as discussed above. With the lance in their right hand in front of them, the operators swung the lance from top to bottom, walking forward into the area being sprayed (Figure 1). Allura Red with concentrations of 0.5 and 10 g/L was sprayed for knapsack electric and UAV sprayers, respectively. For one treatment of the knapsack sprayer, 15 L of Allura Red aqueous solution was sprayed within 15 min, avoiding overexposure or runoff of the spray mixture from the garment. For one treatment of the UAV sprayer, 4 L of Allura Red aqueous solution was sprayed under the working parameters of flight speed of 1.8 m/s, flight height of 2 m above the cowpea canopy, and flow velocity of 1.28 L/min. The UAV pilot was in an upwind location 2 m away from the cowpea field and manipulated the spraying (Figure 1). Each operator conducted the same application in triplicate. For operators A and B, the average durations were 12.9 and 11.5 min, respectively, for one treatment. For UAV spraying, the average duration was 1.3 min for one treatment.
For potential dermal quantification, a whole-body dosimetry method was adopted according to our previously reported method [38]. Before the spraying application, the operators, including the UAV pilot, were dressed in a new custom-made cotton coverall with a hood, cotton gloves, and a disposable mask. The coveralls were worn over their daily clothing. Following the spraying, the coveralls, gloves, and masks were removed carefully with the help of an assistant who wore new disposable nitrile gloves to avoid cross-contamination. The coveralls were then sectioned into nine pieces corresponding to different body parts of the operator (Figure 2). The samples were individually sealed in new polythene bags, which were accurately labeled and stored in a freezer until water extraction and analysis.

2.5. Chemical Analysis

The coverall sections and gloves were extracted in closed 2 L plastic bottles using 1000 mL of water for pieces 1–3 and 6–9, 1500 mL for 4 and 5, and 200 mL for each glove and mask. The concentration of Allura Red in each extract was determined using a microplate reader. The linear regression equation of the calibration curve was y = 0.0258x + 0.0421 (R2 = 0.9995). The amounts deposited on each coverall part and glove were calculated by multiplying the concentration of Allura Red in each extract and the extraction volume. Exposure levels are expressed as the unit exposure (UE) according to USEPA, which is defined as the mass of active ingredient (ai) exposure per unit mass of active ingredient handled (mg/kg of ai).

2.6. Statistical Analysis

Statistical analysis was performed using the Origin software (OriginLab 2018, Northampton, MA, USA). The statistical significance of the results between different groups was analyzed by Duncan’s multiple range test. p < 0.05 was accepted as significant.

3. Results and Discussion

3.1. Control Effect against Thrips on Cowpea

Cowpea is one of the main economic crops in Hainan Province. Thrips are one of the main pests that endanger the yield and quality of cowpea. The unique climatic environment has created favorable conditions for the reproduction of thrips and caused huge losses to farmers’ income. Pesticide application has become the most commonly used method to control cowpea thrips. With the increasing awareness of food safety, pesticides with high efficiency and low risk have received more and more attention. Biopesticides have become a hot spot in current research and development and application. Spinetoram, a new spinosyn insecticide that is more effective than the related pesticide of spinosad but maintains spinosad’s low toxicity to mammals and other non-target species, is currently widely used to control lepidopteran larvae, thrips, leaf miners, etc. [41]. In the present study, spinetoram was selected to perform the field control against thrips on cowpea.
The pesticide application equipment greatly affects the pest control effect and labor cost. For local farmers in Hainan Province, the commonly used spray equipment for cowpea pest control is knapsack electric and stretcher-mounted power sprayers. With the increase in land intensification and the shortage of rural labor, plant protection UAVs with multiple advantages and suitability for a variety of terrains are moving towards the center of the stage. Nevertheless, people are always considering whether plant protection UAVs can achieve the same or better control effect as ground-based, high-efficiency pesticide application equipment. In this work, the comparison of field control effect against cowpea thrips between UAVs and knapsack electric sprayers was conducted.
In order to clearly demonstrate the difference of control efficiency, all the treatments applied the same dosage of active ingredient per hectare (300 mL of 60 g/L spinetoram SC/ha). Following the treatments, the control effect was observed and calculated on the first, third, and fifth day. The field control effects (%) against cowpea thrips sprayed by UAVs and knapsack electric sprayers are presented in Table 2 and Figure 3. When using a knapsack electric sprayer to control cowpea thrips, the control effects on thrips on the first, third, and fifth day were 68.55%, 67.98%, and 65.23%, respectively. All of these values were lower than those treated by UAV sprayers on the same day, indicating the enhanced field control effect by UAV application.
For UAV spraying, when the amounts of water applied per hectare were 22.5, 30, and 37.5 L, the control effects on thrips on the first day were about 69.79%, 80.15%, and 80.58%, respectively. On the fifth day, those values were found to be 69.73%, 75.61%, and 73.68%, respectively. The results demonstrated that the control effect could be enhanced by increasing the amount of water from 22.5 to 37.5 L per hectare, which could most likely be attributed to the improved spraying coverage and droplet density on the target cowpea. However, when the volume of water increased from 30 to 37.5 L per hectare, there was little difference in the control effect on thrips at the same time. Considering the operating efficiency and cost of the UAV, the best liquid consumption to control cowpea thrips was 30 L per hectare under the experimental conditions. Compared to the huge water consumption of 600 L per hectare for knapsack electric sprayer, UAV treatment can not only improve the effectiveness of prevention but also greatly reduce water consumption and working time, which is the direction for the development of green and high-quality agriculture.

3.2. Potential Dermal Exposure of Operators to Allura Red

In recent years, as society continues to pay more attention to issues such as the quality and safety of agricultural products and environmental pollution, attention to pesticide risk assessment has also risen sharply. Pesticide operator exposure measurement is an important part of pesticide risk assessment. Due to the influence of planting scales and modes, many areas in China still use the backpack-type, large-volume spray method to apply pesticides. In addition, pesticide application personnel lack the necessary safety protection. Thus, operator exposure risk to pesticide is worthy of attention.
It is well accepted that pesticide operator exposure is dependent on scenarios. Influential factors such as crop type [42,43], application experience [44], climatic condition [6], and spraying equipment [45,46] can affect the exposure level. It is obvious that the pesticide exposure of the knapsack spray operator is greater than that of the UAV pilot. Despite this, the pesticide exposure assessment of the operator during the spraying application with the UAV, especially the comparison with the conventional ground sprayer of the knapsack electric sprayer, has not been well investigated. In the present study, this comparison was performed. Due to the unique performance mentioned above, Allura Red was used as a pesticide surrogate for exposure assessment of operators. The potential dermal exposure of operators to Allure Red sprayed by knapsack electric and UAV sprayers is summarized in Table 3. For each treatment, the operator conducted similar spraying in triplicate. To eliminate the influence of the differences in spraying time, exposure levels are presented as the unit exposure (UE), namely the mass of active ingredient (ai) exposure per unit mass of active ingredient applied (mg/kg of ai).
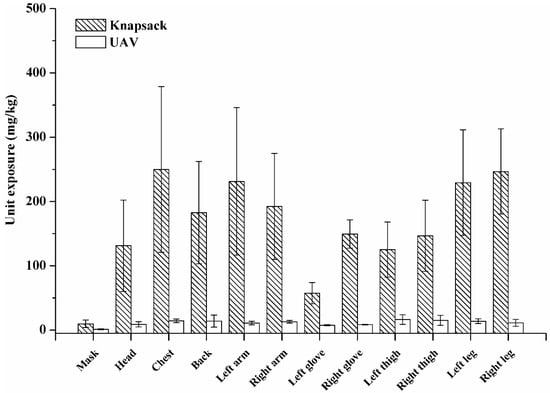
As shown in Table 3, the total UE to Allure Red of operators A and B were 2516.17 and 1387.86 mg/kg, respectively, which was greatly higher than that of the UAV operator (134.51 mg/kg), indicating the lower exposure risk for the operator manipulating the UAV. Due to individual spraying experiences and habits, operator A (female) and B (male) had obvious different exposure levels. The height of the cowpea is taller than the operators spraying with a knapsack electric sprayer. Thus, the operators would swing the lance from top to bottom, walking forward into the area being sprayed. As a consequence, both the upper part of the body (head, chest, back, and arms) and the lower part (thigh and leg) were inevitably exposed. Interestingly, the exposures of right hands (158.65 and 140.01 mg/kg) were greater than those of left hands (64.78 and 50.02 mg/kg). The lateralization of hand exposure resulted from the operators holding the spray lance with the right hand such that any leaks from the hose, lance, or trigger handle could contaminate the right hand.
When considering the operators A and B together as a whole, the average total exposure for knapsack spraying was 1952.02 mg/kg, and the potential dermal exposure over different parts of the body to Allure Red sprayed by knapsack electric and UAV sprayers is shown in Figure 4. It is clearly seen that the exposure distribution pattern over the pilot was different from the knapsack operators, which was possibly attributed to the fact that the exposure over the pilot came from the drift of spray droplets. The remarkably lower exposure level over different parts of the operator’s body further demonstrated the intriguing features of high efficiency and low exposure risk endowed by UAV spraying. In Hainan Province, another type of commonly used local spray equipment for cowpea pest control is a stretcher-mounted power sprayer with a wide swath and long range. As seen from the usual spraying scenario shown in Video S1 (in Supplementary Materials), the exposure situation is worse than that of knapsack spraying. In this scenario, the advantages of plant protection UAV in reducing the risk of operator exposure will be more obvious. The operator exposure assessment using a stretcher-mounted power sprayer will be performed in future research.

4. Conclusions

In the present study, the control efficiency against cowpea thrips and operator exposure determination by aerial and ground spraying were investigated and compared. When spinetoram with the same dosage of active ingredient per hectare was applied, the field control efficacy against cowpea thrips sprayed by UAV was higher than that of the knapsack electric sprayer. Moreover, UAV spraying could greatly reduce water consumption and working time. When Allura Red as a pesticide surrogate was applied under similar spraying scenarios with the field control against thrips on cowpea, the potential dermal exposure of the operator to Allure Red sprayed by knapsack electric and UAV sprayers was carried out. The average total exposure of the knapsack operator was greatly higher than that of the UAV operator. The present research indicates that plant protection UAV spraying can minimize the pesticide exposure level without sacrificing the control efficiency of pests, which is the direction of development of modern intensive sustainable agriculture.

Supplementary Materials

The following are available online at https://www.mdpi.com/article/10.3390/app11209579/s1, Video S1: The local usual spraying scenario for cowpea pest control with stretcher-mounted power sprayer.

Author Contributions

Conceptualization, X.Y. and H.Y.; methodology, X.Y. and Y.Z.; software, D.Y.; validation, Y.Z. and X.L.; formal analysis, X.Y.; investigation, X.Y. and Y.Z.; resources, X.L.; data curation, D.Y.; writing—original draft preparation, X.Y.; writing—review and editing, D.Y. and H.Y.; visualization, X.Y.; supervision, H.Y.; project administration, X.Y.; funding acquisition, X.Y. and H.Y. All authors have read and agreed to the published version of the manuscript.

Funding

This research was funded by the National Natural Science Foundation of China (NSFC) (No. 32072468) and National Key Research and Development Plan of China (2016YFD0200703).

Institutional Review Board Statement

Not applicable.

Informed Consent Statement

Not applicable.

Data Availability Statement

The data presented in this study are available in this article.

Conflicts of Interest

The authors declare no conflict of interest.

References

  1. Carvalho, F.P. Pesticides, environment, and food safety. Food Energy Secur. 2017, 6, 48–60. [Google Scholar] [CrossRef]
  2. Verger, P.J.P.; Boobis, A.R. Reevaluate pesticides for food security and safety. Science 2013, 341, 717–718. [Google Scholar] [CrossRef] [PubMed]
  3. Palis, F.G.; Flor, R.J.; Warburton, H.; Hossain, M. Our farmers at risk: Behaviour and belief system in pesticide safety. J. Public Health 2006, 28, 43–48. [Google Scholar] [CrossRef]
  4. Pinto, B.G.S.; Soares, T.K.M.; Linhares, M.A.; Ghisi, N.C. Occupational exposure to pesticides: Genetic danger to farmworkers and manufacturing workers–A meta-analytical review. Sci. Total Environ. 2020, 748, 141382. [Google Scholar] [CrossRef] [PubMed]
  5. Cao, L.; Chen, B.; Zheng, L.; Wang, D.; Liu, F.; Huang, Q. Assessment of potential dermal and inhalation exposure of workers to the insecticide imidacloprid using whole-body dosimetry in China. J. Environ. Sci. 2015, 27, 139–146. [Google Scholar] [CrossRef] [PubMed]
  6. Atabila, A.; Phung, D.T.; Hogarh, J.N.; Sadler, R.; Connell, D.; Chu, C. Dermal exposure of applicators to chlorpyrifos on rice farms in Ghana. Chemosphere 2017, 178, 350–358. [Google Scholar] [CrossRef] [PubMed]
  7. Adjrah, Y.; Dovlo, A.; Karou, S.D.; Eklu-Gadegbeku, K.; Agbonon, A.; De Souza, C.; Gbeassor, M. Survey of pesticide application on vegetables in the Littoral area of Togo. Ann. Agric. Environ. Med. 2013, 20, 715–720. [Google Scholar] [PubMed]
  8. Lin, Z.; Ji, X.; Pan, F.; Liang, Y.; Xiao, T.; Xie, S. Investigation and analysis of the current status of pesticide application in winter melon and vegetable pest control in Hainan Province, southern China. Acta Entom. Sin. 2016, 59, 1282–1290. [Google Scholar]
  9. Duan, Y.; Guan, N.; Li, P.; Li, J.; Luo, J. Monitoring and dietary exposure assessment of pesticide residues in cowpea (Vigna unguiculata L. Walp) in Hainan, China. Food Control 2016, 59, 250–255. [Google Scholar] [CrossRef]
  10. Boukar, O.; Belko, N.; Chamarthi, S.; Togola, A.; Batieno, J.; Owusu, E.; Haruna, M.; Diallo, S.; Umar, M.L.; Olufajo, O.; et al. Cowpea (Vigna unguiculata): Genetics, genomics and breeding. Plant Breed. 2019, 138, 415–424. [Google Scholar] [CrossRef]
  11. Iost Filho, F.H.; Heldens, W.B.; Kong, Z.; de Lange, E.S. Drones: Innovative technology for use in precision pest management. J. Econo. Entomol. 2020, 113, 1–25. [Google Scholar] [CrossRef] [PubMed]
  12. Qin, W.C.; Qiu, B.J.; Xue, X.Y.; Chen, C.; Xu, Z.F.; Zhou, Q.Q. Droplet deposition and control effect of insecticides sprayed with an unmanne.d aerial vehicle against plant hoppers. Crop Prot. 2016, 85, 79–88. [Google Scholar] [CrossRef]
  13. Lan, Y.; Chen, S. Current status and trends of plant protection UAV and its spraying technology in China. Int. J. Precis. Agric. Aviat. 2018, 1, 1–9. [Google Scholar] [CrossRef]
  14. Lan, Y.; Wang, G. Development situation and prospects of China’s crop protection UAV industry. Agric. Eng. Technol. 2018, 38, 17–27. (In Chinese) [Google Scholar]
  15. Zhang, S.; Qiu, B.; Xue, X.; Sun, T.; Gu, W.; Zhou, F.; Sun, X. Effects of crop protection unmanned aerial system flight speed, height on effective spraying width, droplet deposition and penetration rate, and control effect analysis on wheat aphids, powdery mildew, and head blight. Appl. Sci. 2021, 11, 712. [Google Scholar] [CrossRef]
  16. Ahmada, F.; Qiu, B.; Dong, X.; Ma, J.; Huang, X.; Ahmed, S.; Chandio, F.A. Effect of operational parameters of UAV sprayer on spray deposition pattern in target and off-target zones during outer field weed control application. Comput. Electron. Agr. 2020, 172, 105350. [Google Scholar] [CrossRef]
  17. Xue, X.; Tu, K.; Qin, W.; Lan, Y.; Zhang, H. Drift and deposition of ultra-low altitude and low volume application in paddy field. Int. J. Agric. Biol. Eng. 2013, 7, 23–28. [Google Scholar]
  18. Lou, Z.; Xin, F.; Han, X.; Lan, Y.; Duan, T.; Fu, W. Effect of unmanned aerial vehicle flight height on droplet distribution, drift and control of cotton aphids and spider mites. Agronomy 2018, 8, 187. [Google Scholar] [CrossRef]
  19. Qin, W.; Xue, X.; Zhang, S.; Gu, W.; Wang, B. Droplet deposition and efficiency of fungicides sprayed with small UAV against wheat powdery mildew. Int. J. Agric. Biol. Eng. 2018, 11, 27–32. [Google Scholar] [CrossRef]
  20. Chen, S.; Lan, Y.; Li, J.; Zhou, Z.; Jin, J.; Liu, A. Effect of spray parameters of small unmanned helicopter on distribution regularity of droplet deposition in hybrid rice canopy. Trans. Chin. Soc. Agric. Eng. 2016, 32, 40–46. [Google Scholar]
  21. Chen, P.; Ouyang, F.; Wang, G.; Qi, H.; Xu, W.; Yang, W.; Zhang, Y.; Lan, Y. Droplet distributions in cotton harvest aid applications vary with the interactions among the unmanned aerial vehicle spraying parameters. Ind. Crop Prod. 2021, 163, 113324. [Google Scholar] [CrossRef]
  22. Wang, G.B.; Lan, Y.B.; Qi, H.X.; Chen, P.C.; Hewitt, A.; Han, Y.X. Field evaluation of an unmanned aerial vehicle (UAV) sprayer: Effect of spray volume on deposition and the control of pests and disease in wheat. Pest Manag. Sci. 2019, 75, 1546–1555. [Google Scholar] [CrossRef] [PubMed]
  23. Chen, S.D.; Lan, Y.B.; Zhou, Z.Y.; Ouyang, F.; Wang, G.B.; Huang, X.Y.; Deng, X.L.; Cheng, S.N. Effect of droplet size parameters on droplet deposition and drift of aerial spraying by using plant protection UAV. Agronomy 2020, 10, 195. [Google Scholar] [CrossRef]
  24. Wang, G.; Han, Y.; Li, X.; Andaloro, J.; Chen, P.; Hoffmann, W.C.; Han, X.; Chen, S.; Lan, Y. Field evaluation of spray drift and environmental impact using an agricultural unmanned aerial vehicle (UAV) sprayer. Sci. Total Environ. 2020, 737, 139793. [Google Scholar] [CrossRef] [PubMed]
  25. Chen, S.; Lan, Y.; Li, J.; Zhou, Z.; Liu, A.; Mao, Y. Effect of wind field below unmanned helicopter on droplet deposition distribution of aerial spraying. Int. J. Agric. Biol. Eng. 2017, 10, 67–77. [Google Scholar]
  26. Hunter, J.E.; Gannon, T.W.; Rochardson, R.J.; Yelverton, F.H.; Leon, R.G. Coverage and drift potential associated with nozzle and speed selection for herbicide applications using an unmanned aerial sprayer. Weed Technol. 2020, 34, 235–240. [Google Scholar] [CrossRef]
  27. Chen, Y.; Hou, C.; Tang, Y.; Zhuang, J.; Lin, J.; Luo, S. An effective spray drift-reducing method for a plant-protection unmanned aerial vehicle. Int. J. Agric. Biol. Eng. 2019, 12, 14–20. [Google Scholar] [CrossRef]
  28. Richardson, B.; Rolando, C.A.; Kimberley, M.O.; Strand, T.M. Spray application efficiency from a multi-rotor unmanned aerial vehicle configured for aerial pesticide application. Trans. ASABE 2019, 62, 1447–1453. [Google Scholar] [CrossRef]
  29. Tang, Y.; Hou, C.; Luo, S.; Lin, J.; Yang, Z.; Huang, W. Effects of operation height and tree shape on droplet deposition in citrus trees using an unmanned aerial vehicle. Comput. Electron. Agric. 2018, 148, 1–7. [Google Scholar] [CrossRef]
  30. Meng, Y.; Su, J.; Song, J.; Chen, W.-H.; Lan, Y. Experimental evaluation of UAV spraying for peach trees of different shapes: Effects of operational parameters on droplet distribution. Comput. Electron. Agric. 2020, 170, 105282. [Google Scholar] [CrossRef]
  31. Xue, X.Y.; Lan, Y.B.; Sun, Z.; Chang, C.; Hoffmann, W.C. Develop an unmanned aerial vehicle based automatic aerial spraying system. Comput. Electron. Agric. 2016, 128, 58–66. [Google Scholar] [CrossRef]
  32. Koo, Y.M.; Bae, Y.H.; Seok, T.S.; Shin, S.K.; Park, H.J. Tail rotor design and thrust test for a roll-balanced agricultural unmanned helicopter. J. Biosy. Eng. 2010, 35, 302–309. [Google Scholar] [CrossRef][Green Version]
  33. Wang, G.; Lan, Y.; Yuan, H.; Qi, H.; Chen, P.; Ouyang, F.; Han, Y. Comparison of spray deposition, control efficacy on wheat aphids and working efficiency in the wheat field of the unmanned aerial vehicle with boom sprayer and two conventional knapsack sprayers. Appl. Sci. 2019, 9, 218. [Google Scholar] [CrossRef]
  34. Li, X.; Giles, D.K.; Niederholzer, F.J.; Andaloro, J.T.; Lang, E.B.; Watson, L.J. Evaluation of an unmanned aerial vehicle as a new method of pesticide application for almond crop protection. Pest Manag. Sci. 2021, 77, 527–537. [Google Scholar] [CrossRef] [PubMed]
  35. Xiao, Q.; Du, R.; Yang, L.; Han, X.; Zhao, S.; Zhang, G.; Fu, W.; Wang, G.; Lan, Y. Comparison of droplet deposition control efficacy on Phytophthora capsica and aphids in the processing pepper field of the unmanned aerial vehicle and knapsack sprayer. Agronomy 2020, 10, 215. [Google Scholar] [CrossRef]
  36. Xiao, J.; Chen, L.; Pan, F.; Deng, Y.; Ding, C.; Liao, M.; Su, X.; Cao, H. Application method affects pesticide efficiency and effectiveness in wheat fields. Pest Manag. Sci. 2020, 76, 1256–1264. [Google Scholar] [CrossRef]
  37. Zhan, Y.; Chen, S.; Wang, G.; Fu, J.; Lan, Y. Biological control technology and application based on agricultural unmanned aerial vehicle (UAV) intelligent delivery of insect natural enemies (Trichogramma) carrier. Pest Manag. Sci. 2021, 77, 3259–3272. [Google Scholar] [CrossRef]
  38. Lake, E.C.; David, A.S.; Spencer, T.M.; Wilhelm, V.L., Jr.; Barnett, T.W.; Abdel-Kader, A.A.; Cortes, A.C.; Acuna, A.; Mattison, E.D.; Minteer, C.R. First drone releases of the biological control agent Neomusotima conspurcatalis on Old World climbing fern. Biocontrol Sci. Technol. 2021, 31, 97–106. [Google Scholar] [CrossRef]
  39. Cao, L.; Cao, C.; Wang, Y.; Li, X.; Zhou, Z.; Li, F.; Yan, X.; Huang, Q. Visual Determination of potential dermal and inhalation exposure using Allura Red as an environmentally friendly pesticide surrogate. ACS Sustain. Chem. Eng. 2017, 5, 3882–3889. [Google Scholar] [CrossRef]
  40. Gao, S.; Wang, G.; Zhou, Y.; Wang, M.; Yang, D.; Yuan, H.; Yan, X. Water-soluble food dye of Allura Red as a tracer to determine the spray deposition of pesticide on target crops. Pest Manag. Sci. 2019, 75, 2592–2597. [Google Scholar] [CrossRef] [PubMed]
  41. Zhang, Y.; Guo, W.; Chen, H.; Gao, J.; Xu, Z.; Tao, L.; Li, Z.; Xu, W. Spinetoram confers its cytotoxic effects by inducing AMPK/mTOR-mediated autophagy and oxidative DNA damage. Ecotoxicol. Environ. Saf. 2019, 183, 109480. [Google Scholar] [CrossRef]
  42. Choi, H.; Moon, J.K.; Kim, J.H. Assessment of the exposure of workers to the insecticide imidacloprid during application on various field crops by a hand-held power sprayer. J. Agric. Food Chem. 2013, 61, 10642–10648. [Google Scholar] [CrossRef]
  43. Hughes, E.A.; Flores, A.P.; Ramos, L.M.; Zalts, A.; Glass, C.R.; Montserrat, J.M. Potential dermal exposure to deltamethrin and risk assessment for manual sprayers: Influence of crop type. Sci. Total Environ. 2008, 391, 34–40. [Google Scholar] [CrossRef] [PubMed]
  44. Hughes, E.A.; Zalts, A.; Ojeda, J.J.; Flores, A.P.; Glass, R.C.; Montserrat, J.M.; Montserrat, J.M. Analytical method for assessing potential dermal exposure to captan, using whole body dosimetry, in small vegetable production units in Argentina. Pest Manag. Sci. 2006, 62, 811–818. [Google Scholar] [CrossRef] [PubMed]
  45. Nuyttens, D.; Braekman, P.; Windey, S.; Sonck, B. Potential dermal pesticide exposure affected by greenhouse spray application technique. Pest Manag. Sci. 2009, 65, 781–790. [Google Scholar] [CrossRef]
  46. An, X.; Liu, X.; Jiang, J.; Lv, L.; Wang, F.; Wu, S.; Zhao, X. Exposure risks to pesticide applicators posed by the use of electric backpack sprayers and stretcher-mounted sprayers in orchards. Hum. Ecol. Risk Assess. 2020, 26, 2288–2301. [Google Scholar] [CrossRef]
Figure 1. The typical scenarios of exposure determination of operator to Allure Red sprayed by knapsack electric and unmanned aerial vehicle (UAV) sprayers.
Figure 1. The typical scenarios of exposure determination of operator to Allure Red sprayed by knapsack electric and unmanned aerial vehicle (UAV) sprayers.
Applsci 11 09579 g001
Figure 2. Coverall sectioning for whole-body dosimetry analysis. 1: head, 2: left arm, 3: right arm, 4: chest, 5: back, 6: right thigh, 7: left thigh, 8: left leg, 9: right leg.
Figure 2. Coverall sectioning for whole-body dosimetry analysis. 1: head, 2: left arm, 3: right arm, 4: chest, 5: back, 6: right thigh, 7: left thigh, 8: left leg, 9: right leg.
Applsci 11 09579 g002
Figure 3. The field control effect (%) against cowpea thrips sprayed by UAV and knapsack electric sprayers. Different letters above the columns are significantly different at p < 0.05.
Figure 3. The field control effect (%) against cowpea thrips sprayed by UAV and knapsack electric sprayers. Different letters above the columns are significantly different at p < 0.05.
Applsci 11 09579 g003
Figure 4. Potential dermal exposure of operators to Allure Red sprayed by knapsack electric and UAV sprayers (n = 6 for knapsack spraying including two operators and n = 3 for UVA spraying).
Figure 4. Potential dermal exposure of operators to Allure Red sprayed by knapsack electric and UAV sprayers (n = 6 for knapsack spraying including two operators and n = 3 for UVA spraying).
Applsci 11 09579 g004
Table 1. The detailed working parameters of unmanned aerial vehicles (UAVs) and knapsack electric sprayers for field control against cowpea thrips.
Table 1. The detailed working parameters of unmanned aerial vehicles (UAVs) and knapsack electric sprayers for field control against cowpea thrips.
TreatmentSpraying
Equipment
Pesticide Dosage
(mL/ha) a
Water
Used
(L/ha)
Flight Height
(m)
Flight Speed
(m/s)
Flow Velocity
(L/min)
T1UAV30022.522.41.28
T2UAV3003021.81.28
T3UAV30037.521.51.35
T4knapsack300600
a 60 g/L of spinetoram SC was used.
Table 2. The field control effect (%) against cowpea thrips sprayed by UAV and knapsack electric sprayers.
Table 2. The field control effect (%) against cowpea thrips sprayed by UAV and knapsack electric sprayers.
TreatmentSpraying
Equipment
Control Effect (%) *
1st Day3rd Day5th Day
T1UAV69.79 ab75.92a69.73 bc
T2UAV80.15 a78.86 a75.61 a
T3UAV80.58 a75.35 a73.68 ab
T4knapsack68.55 b67.98 a65.23 c
* Different letters in the same column are significantly different at p < 0.05.
Table 3. Potential dermal exposure of operators (n = 3) to Allure Red sprayed by knapsack electric and UAV sprayers.
Table 3. Potential dermal exposure of operators (n = 3) to Allure Red sprayed by knapsack electric and UAV sprayers.
Body RegionOperator Exposure (mg/kg)
Op. A a
Mean
Op. A
SD
Op. B a
Mean
OP. B
SD
Op. C a
Mean
Op. C
SD
Mask13.684.665.753.911.080.78
Head192.4216.6170.1133.628.953.92
Chest358.4047.37141.3462.6614.392.91
Back239.5362.02125.8447.3713.919.34
Left arm326.7948.85135.5755.2610.892.80
Right arm259.6043.95125.2438.7912.822.02
Left glove64.7817.7950.0213.787.490.88
Right glove158.6525.55140.0116.948.520.28
Left thigh161.4123.3089.0610.7616.387.32
Right thigh190.7023.68102.8435.8015.087.83
Left leg292.3367.25166.5823.3013.793.67
Right leg257.8855.90235.4986.8411.215.51
Total exposure2516.1728.181387.86238.46134.5138.99
a Op. A: operator A (female), Op. B: operator B (male), Op. C: operator C. Operators A and B performed the spraying with knapsack electric sprayers, and operator C is a UAV pilot.
Publisher’s Note: MDPI stays neutral with regard to jurisdictional claims in published maps and institutional affiliations.

Share and Cite

MDPI and ACS Style

Yan, X.; Zhou, Y.; Liu, X.; Yang, D.; Yuan, H. Minimizing Occupational Exposure to Pesticide and Increasing Control Efficacy of Pests by Unmanned Aerial Vehicle Application on Cowpea. Appl. Sci. 2021, 11, 9579. https://doi.org/10.3390/app11209579

AMA Style

Yan X, Zhou Y, Liu X, Yang D, Yuan H. Minimizing Occupational Exposure to Pesticide and Increasing Control Efficacy of Pests by Unmanned Aerial Vehicle Application on Cowpea. Applied Sciences. 2021; 11(20):9579. https://doi.org/10.3390/app11209579

Chicago/Turabian Style

Yan, Xiaojing, Yangyang Zhou, Xiaohui Liu, Daibin Yang, and Huizhu Yuan. 2021. "Minimizing Occupational Exposure to Pesticide and Increasing Control Efficacy of Pests by Unmanned Aerial Vehicle Application on Cowpea" Applied Sciences 11, no. 20: 9579. https://doi.org/10.3390/app11209579

APA Style

Yan, X., Zhou, Y., Liu, X., Yang, D., & Yuan, H. (2021). Minimizing Occupational Exposure to Pesticide and Increasing Control Efficacy of Pests by Unmanned Aerial Vehicle Application on Cowpea. Applied Sciences, 11(20), 9579. https://doi.org/10.3390/app11209579

Note that from the first issue of 2016, this journal uses article numbers instead of page numbers. See further details here.

Article Metrics

Back to TopTop