Past, Present and Future Monitoring at the Vallcebre Landslide (Eastern Pyrenees, Spain)
Abstract
Featured Application
Abstract
1. Introduction and Site Description
2. Monitoring Methods Used in Vallcebre and Sample Results
2.1. Terrestrial Photogrammetry
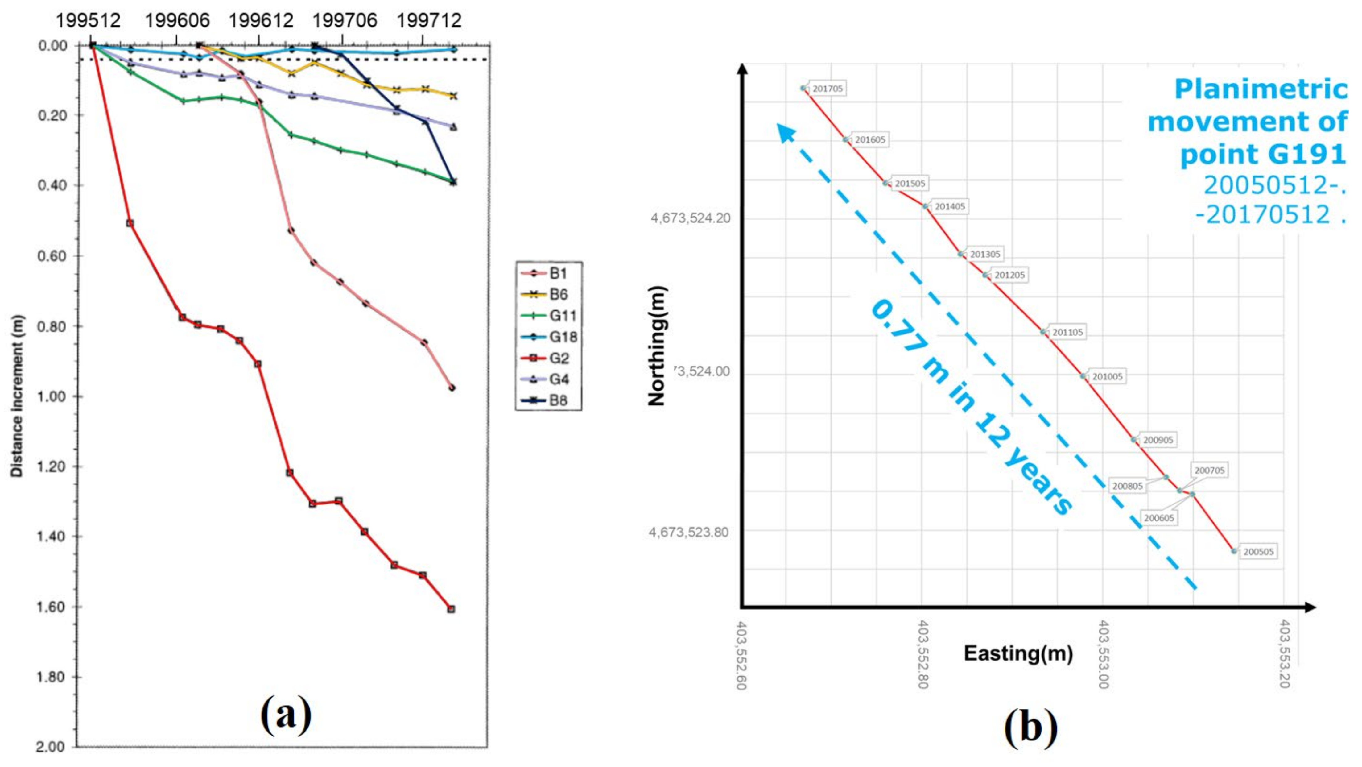
2.2. Triangulation and Electronic Distance Measurement
2.3. The GPS-GNSS Surveys
2.4. In-Hole (or Geotechnical) Instrumentation
2.5. DInSAR Monitoring Using Corner Reflectors
2.6. Noninterferometric GBSAR Monitoring
3. Discussion
4. Summary and Conclusions
Author Contributions
Funding
Institutional Review Board Statement
Informed Consent Statement
Data Availability Statement
Acknowledgments
Conflicts of Interest
References
- Corominas, J.; Moya, J.; Ledesma, A.; Lloret, A.; Gili, J.A. Prediction of ground displacements and velocities from groundwater level changes at the Vallcebre landslide (Eastern Pyrenees, Spain). Landslides 2005, 2, 83–96. [Google Scholar] [CrossRef]
- Moya, J.; Corominas, J.; Gili, J.A.; Ledesma, A.; Lloret, A. Twenty years of continuous monitoring of the Vallcebre landslide (Eastern Pyrenees): Lessons learned. In Proceedings of the JTC1 Workshop on Advances in Landslide Understanding, Barcelona, Spain, 24–26 May 2017; Alonso, E., Pinyol, N., Eds.; CIMNE, Pub.: Barcelona, Spain, 2017; pp. 101–104, ISBN 978-84-946909-1-4. [Google Scholar]
- Gili, J.A.; Moya, J.; Corominas, J.; Crosetto, M.; Monserrat, O.; Luzi, G. Twenty-five years of Vallcebre landslide monitoring: From theodolite to Radar. In Proceedings of the 1st IMEKO TC-4 International Workshop on Metrology for Geotechnics, Benevento, Italy, 17–18 March 2016; Daponte, P., Simonelli, A., Eds.; Athena Srl, Pub.: Benevento, Italy, 2016; pp. 261–268, ISBN 978-92-990075-0-1. [Google Scholar]
- Corominas, J.; Moya, J.; Lloret, A.; Gili, J.A.; Angeli, M.G.; Pasuto, A.; Silvano, S. Measurement of landslide displacements using a wire extensometer. Eng. Geol. 2000, 55, 149–166. [Google Scholar] [CrossRef]
- Gili, J.A.; Corominas, J.; Rius, J. Using global positioning system techniques in landslide monitoring. Eng. Geol. 2000, 55, 167–192. [Google Scholar] [CrossRef]
- Crosetto, M.; Gili, J.A.; Monserrat, O.; Cuevas-González, M.; Corominas, J.; Serral, D. Interferometric SAR monitoring of the Vallcebre landslide (Spain) using corner reflectors. Nat. Hazards Earth Syst. Sci. 2013, 13, 923–933. [Google Scholar] [CrossRef]
- Monserrat, O.; Moya, J.; Luzi, G.; Crosetto, M.; Gili, J.A.; Corominas, J. Non-interferometric GB-SAR measurement: Application to the Vallcebre landslide (eastern Pyrenees, Spain). Nat. Hazards Earth Syst. Sci. 2013, 13, 1873–1877. [Google Scholar] [CrossRef]
- Ferrari, A.; Ledesma, A.; González, D.A.; Corominas, J. Effects of the foot evolution on the behaviour of slow-moving landslides. Eng. Geol. 2011, 117, 217–228. [Google Scholar] [CrossRef]
- Mikkelsen, P.E. Field instrumentation. In Landslides Investigation and Mitigation; Chapter 11; Turner, A.K., Schuster, R.L., Eds.; T.R.B. Special Report 247; National Academy Press: Washington, DC, USA, 1996. [Google Scholar]
- Dunnicliff, J. Geotechnical Instrumentation for Monitoring Field Performance; John Wiley & Sons: Hoboken, NJ, USA, 1993; p. 608. [Google Scholar]
- Westoby, M.J.; Brasington, J.; Glasser, N.F.; Hambrey, M.J.; Reynolds, J.M. ‘Structure-from-Motion’ photogrammetry: A low-cost, effective tool for geoscience applications. Geomorphology 2012, 179, 300–314. [Google Scholar] [CrossRef]
- Bemis, S.P.; Micklethwaite, S.; Turner, D.; James, M.R.; Akciz, S.; Thiele, S.T.; Bangash, H.A. Ground-based and UAV-based photogrammetry: A multi-scale, highresolution mapping tool for structural geology and paleoseismology. J. Struct. Geol. 2014, 69, 163–178. [Google Scholar] [CrossRef]
- Abellán, A.; Jaboyedoff, M. Advances in rock slope characterization and monitoring using 3D/4D datasets (LiDAR, drones, Structure-from-Motion photogrammetry). In Proceedings of the ROCEXS 2017, 6th Interdisciplinary Workshop on Rockfall Protection, Barcelona, Spain, 22–24 May 2017; pp. 10–13. Available online: http://congress.cimne.com/rocexs2017/frontal/Doc/Ebook.pdf (accessed on 20 January 2020).
- Buill, F.; Núñez-Andrés, M.A.; Lantada, N.; Prades, A. Comparison of photogrammetric techniques for rockfalls monitoring. In Proceedings of the World Multidisciplinary Earth Sciences Symposium (WMESS 2016), Prague, Czech Republic, 5–9 September 2016; Institute of Physics (IOP Publishing): Prague, Czech Republic, 2016; Volume 44, pp. 1–7. [Google Scholar] [CrossRef]
- Fernández, T.; Pérez, J.L.; Cardenal, J.; Gómez, J.M.; Colomo, C.; Delgado, J. Analysis of landslide evolution affecting olive groves using UAV and photogrammetric techniques. Remote Sens. 2016, 8, 837. [Google Scholar] [CrossRef]
- Rossi, G.; Tanteri, L.; Tofani, V.; Vannocci, P.; Moretti, S.; Casagli, N. Multitemporal UAV surveys for landslide mapping and characterization. Landslides 2018, 15, 1045–1052. [Google Scholar] [CrossRef]
- Giordan, D.; Hayakawa, Y.; Nex, F.; Remondino, F.; Tarolli, P. The use of remotely piloted aircraft systems (RPASs) for natural hazards monitoring and management. Nat. Hazards Earth Syst. Sci. 2018, 18, 1079–1096. [Google Scholar] [CrossRef]
- Malet, J.P.; Maquaire, O.; Calais, E. The use of Global Positioning System techniques for the continuous monitoring of landslides: Application to the Super-Sauze earthflow (Alpes-de-Haute-Provence, France). Geomorphology 2002, 43, 33–54. [Google Scholar] [CrossRef]
- Coe, J.A.; Ellis, W.L.; Godt, J.W.; Savage, W.Z.; Savage, J.E.; Michael, J.A.; Kibler, J.D.; Powers, P.S.; Lidke, D.J.; Debray, S. Seasonal movement of the Slumgullion landslide determined from Global Positioning System surveys and field instrumentation, July 1998–March 2002. Eng. Geol. 2003, 68, 67–101. [Google Scholar] [CrossRef]
- Angeli, M.G.; Gasparetto, P.; Silvano, S.; Tonetti, G. An automatic recording system to detect the critical stability of slopes. In Proceedings of the 5th International Symposium on Landslides (ISL1988), Lausanne, Switzerland, 10–15 July 1988; A.A. Balkema, Pub.: Rotterdam, The Netherlands, 1988; Volume 1, pp. 375–378. [Google Scholar]
- Berardino, P.; Costantini, M.; Franceschetti, G.; Iodice, A.; Pietranera, L.; Rizzo, V. Use of differential SAR interferometry in monitoring and modelling large slope instability at Maratea (Basilicata, Italy). Eng. Geol. 2003, 68, 31–51. [Google Scholar] [CrossRef]
- Colesanti, C.; Ferretti, A.; Prati, C.; Rocca, F. Monitoring landslides and tectonic motions with the permanent scatterers technique. Eng. Geol. 2003, 68, 3–14. [Google Scholar] [CrossRef]
- Squarzoni, C.; Delacourt, C.; Allemand, P. Nine years of spatial and temporal evolution of the La Valette landslide observed by SAR interferometry. Eng. Geol. 2003, 68, 53–66. [Google Scholar] [CrossRef]
- Tarchi, D.; Casagli, N.; Fanti, R.; Leva, D.D.; Luzi, G.; Pasuto, A. Landslide monitoring by using ground-based SAR interferometry: An example of application to the Tessina landslide in Italy. Eng. Geol. 2003, 68, 15–30. [Google Scholar] [CrossRef]
- Atzeni, C.; Canuti, P.; Casagli, N.; Leva, D.; Luzi, G.; Moretti, S.; Pieraccini, M.; Sieber, A.; Tarchi, D. A portable device for landslide monitoring using Radar interferometry. Landslide News 2003, 14/15, 19–22. [Google Scholar]
- Janeras, M.; Jara, J.; Royan, M.; Vilaplana, J.M.; Aguasca, A.; Fabregas, F.; Gili, J.; Buxó, P. Multi-technique approach to rockfall monitoring in the Montserrat massif (Catalonia, NE Spain). Eng. Geol. 2017, 219, 4–20. [Google Scholar] [CrossRef]
- Lienhart, W. Case studies of high-sensitivity monitoring of natural and engineered slopes. J. Rock Mech. Geotech. Eng. 2015, 7, 379–384. [Google Scholar] [CrossRef]
- Dunnicliff, J.; Burland, J.; Chapman, T.; Skinner, H.; Brown, M. Types of geotechnical instrumentation and their usage. Chapter 95. In ICE Manual of Geotechnical Engineering: Volume II; ICE Virtual Library: London, UK, 2012; pp. 1379–1403. [Google Scholar]
- Mazzanti, P. Introduction. In Proceedings of the 6th International Course on Geotechnical and Structural Monitoring (6thICGSM), Rome, Italy, 27–31 May 2019; pp. 1–10. [Google Scholar]




























| Method | Results | Typical Range in Vallcebre | Typical Precision in Vallcebre | Complexity | Cost | Comments | |
|---|---|---|---|---|---|---|---|
| Surface | Terrestrial Photogrammetry | Maps (points with ΔX,ΔY,ΔZ, contour lines) | 30 to 45 m | 10 mm for well- defined points | Medium | High | High precision equipment and skill is needed b |
| EDM& Theodolite | Δdist. or ΔX,ΔY,ΔZ | 15 to 1500 m | 7 mm for Δdist, >25 mm for the rest | Medium | Low | Practical experience in surveying is needed c | |
| GPS d | ΔX,ΔY,ΔZ | 800 to 2300 m | 12–16 mm (horiz.) 18–24 mm (elev.) | Low | Low | Discontinuous over time c | |
| CR based DInSAR | Displacement L.O.S. | Non applicable | a few mm | High | High | Each 35 days with Envisat | |
| Noninterferometric GBSAR | Displacement L.O.S. | 500–800 m | below 1 cm | High | High | Continuous. CRs must be installed each campaign | |
| Distributed Fiber Optics (in trench) e | Zones with strain changes | Non available | Non available | High | High | Not installed yet | |
| In-hole | Inclinometer | ΔX,ΔY | 15 to 45 m depth | 1 to 2 mm | Low | Medium | Discontinuous over time c |
| Wire extensometer d | ΔDwire→ΔDhoriz, ΔDvert | 15 to 45 m depth | 0.5 mm in the wire length a | Low | Medium | Continuous log, discontinuous/continuous download | |
| Piezometer d | ΔPw ~ ΔHw | 15 to 45 m depth | 30 mm water head | Low | Low-Medium | Continuous log, discontinuous/continuous download |
Publisher’s Note: MDPI stays neutral with regard to jurisdictional claims in published maps and institutional affiliations. |
© 2021 by the authors. Licensee MDPI, Basel, Switzerland. This article is an open access article distributed under the terms and conditions of the Creative Commons Attribution (CC BY) license (http://creativecommons.org/licenses/by/4.0/).
Share and Cite
Gili, J.A.; Moya, J.; Corominas, J.; Crosetto, M.; Monserrat, O. Past, Present and Future Monitoring at the Vallcebre Landslide (Eastern Pyrenees, Spain). Appl. Sci. 2021, 11, 571. https://doi.org/10.3390/app11020571
Gili JA, Moya J, Corominas J, Crosetto M, Monserrat O. Past, Present and Future Monitoring at the Vallcebre Landslide (Eastern Pyrenees, Spain). Applied Sciences. 2021; 11(2):571. https://doi.org/10.3390/app11020571
Chicago/Turabian StyleGili, Josep A., Jose Moya, Jordi Corominas, Michele Crosetto, and Oriol Monserrat. 2021. "Past, Present and Future Monitoring at the Vallcebre Landslide (Eastern Pyrenees, Spain)" Applied Sciences 11, no. 2: 571. https://doi.org/10.3390/app11020571
APA StyleGili, J. A., Moya, J., Corominas, J., Crosetto, M., & Monserrat, O. (2021). Past, Present and Future Monitoring at the Vallcebre Landslide (Eastern Pyrenees, Spain). Applied Sciences, 11(2), 571. https://doi.org/10.3390/app11020571

